Скачать Единая методика прогнозирования температурных условий в угольных шахтахДата актуализации: 01.01.2021 |
| Статус: | справочные материалы, мп, тпр |
| Название рус.: | Единая методика прогнозирования температурных условий в угольных шахтах |
| Дата добавления в базу: | 01.01.2018 |
| Дата актуализации: | 01.01.2021 |
| Область применения: | Методика является руководящим материалом для проектных организаций, занимающихся разработкой проектов новых и реконструируемых шахт, подготовки новых горизонтов и участков действующих шахт, а также для специалистов угольных предприятий и научно-исследовательских институтов, занимающихся вопросами прогноза и регулирования теплового режима шахт. |
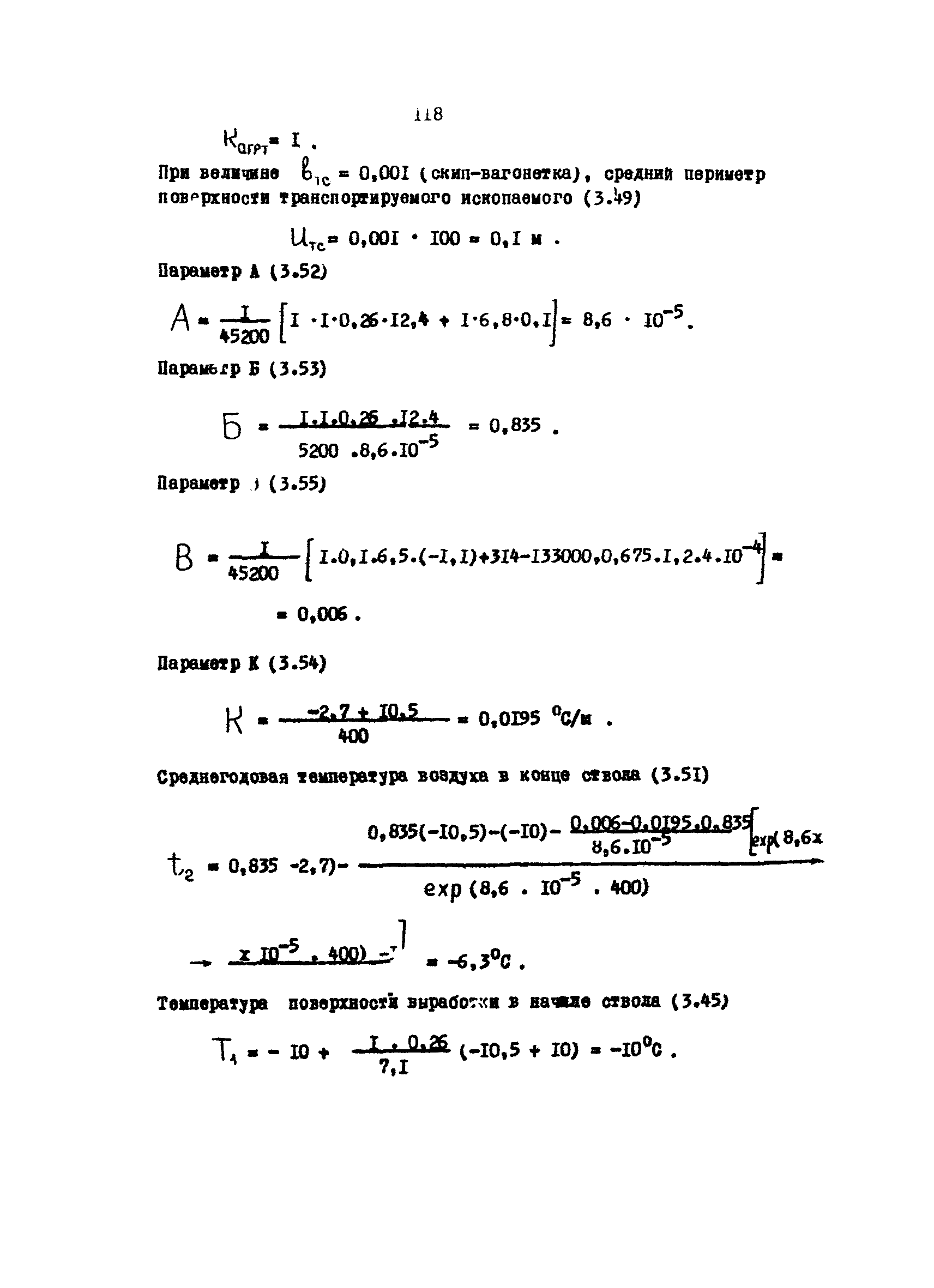
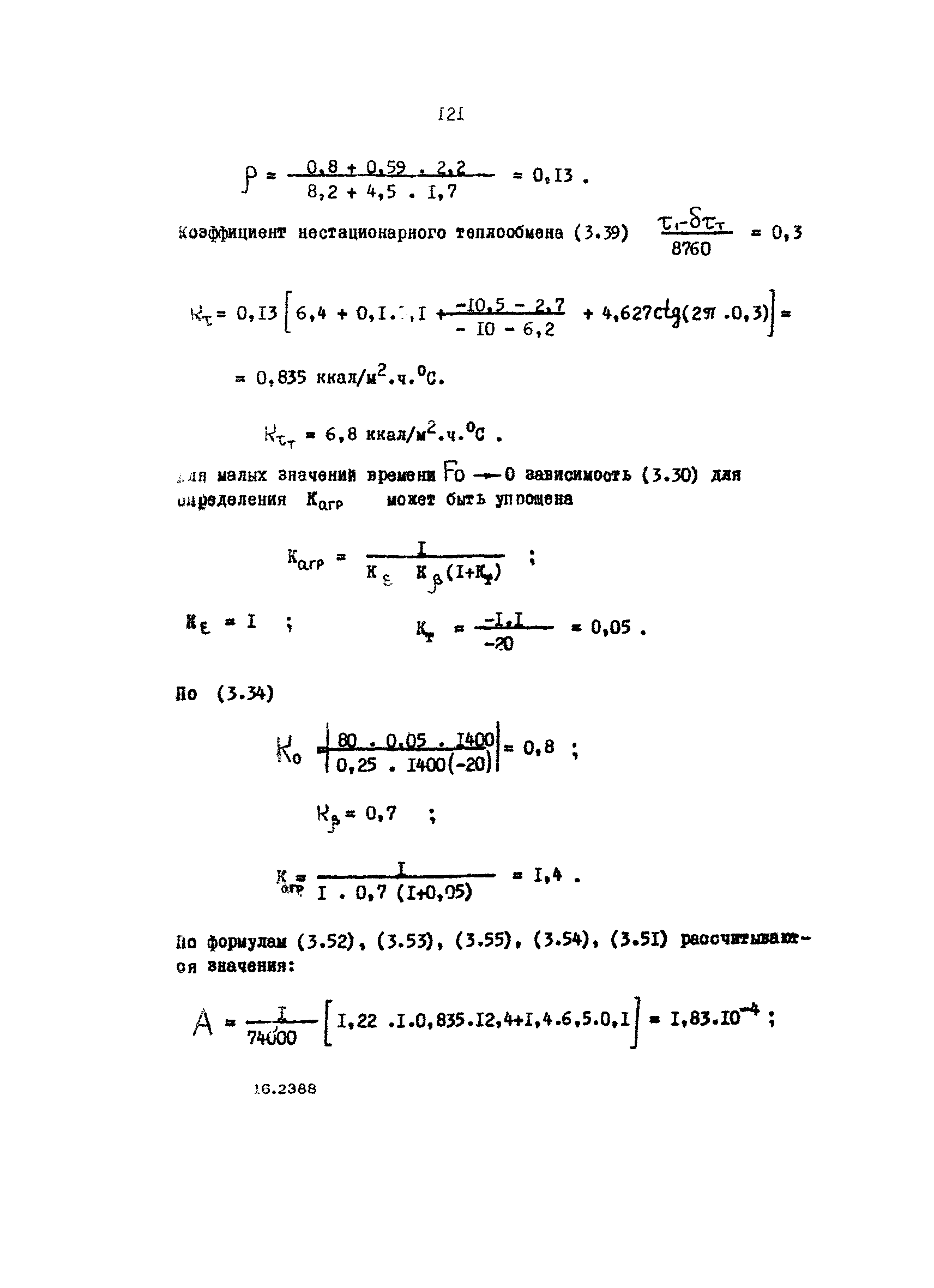
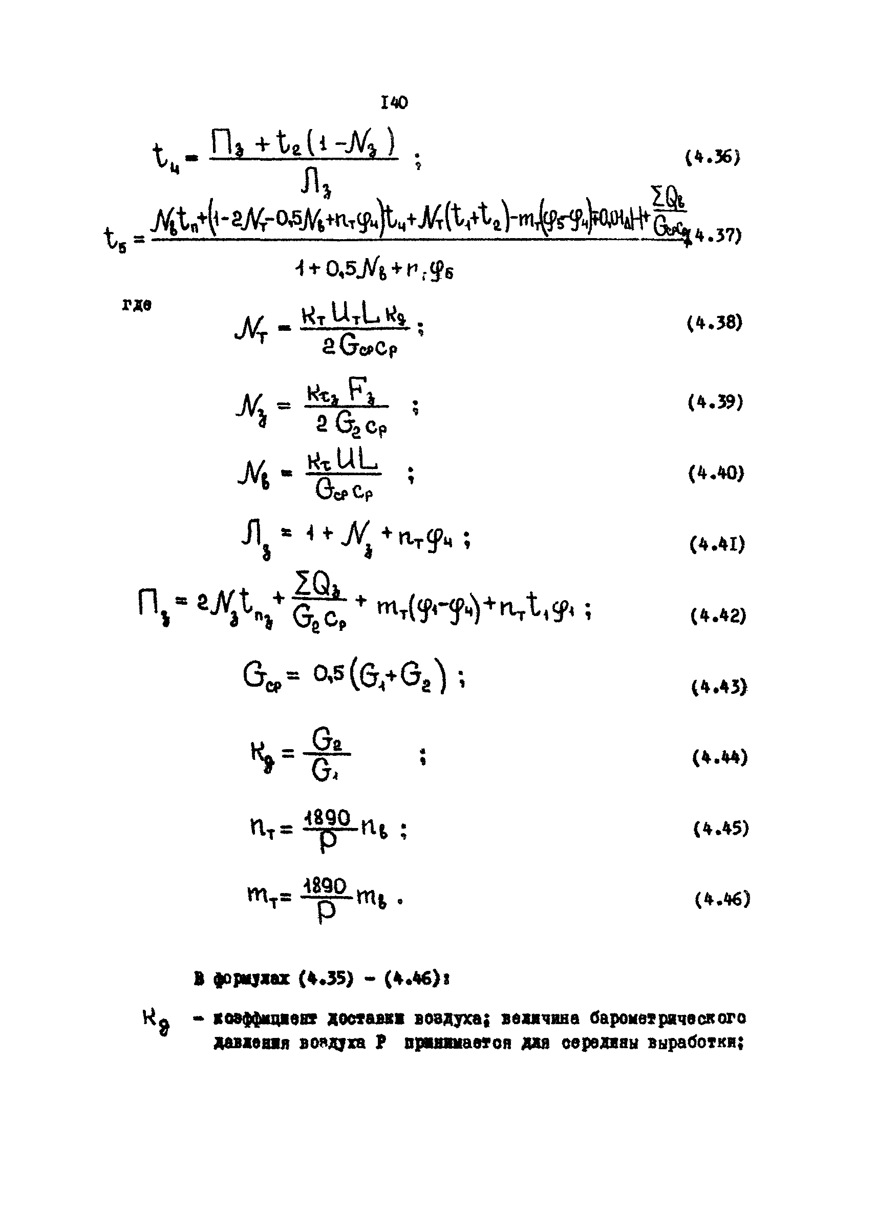
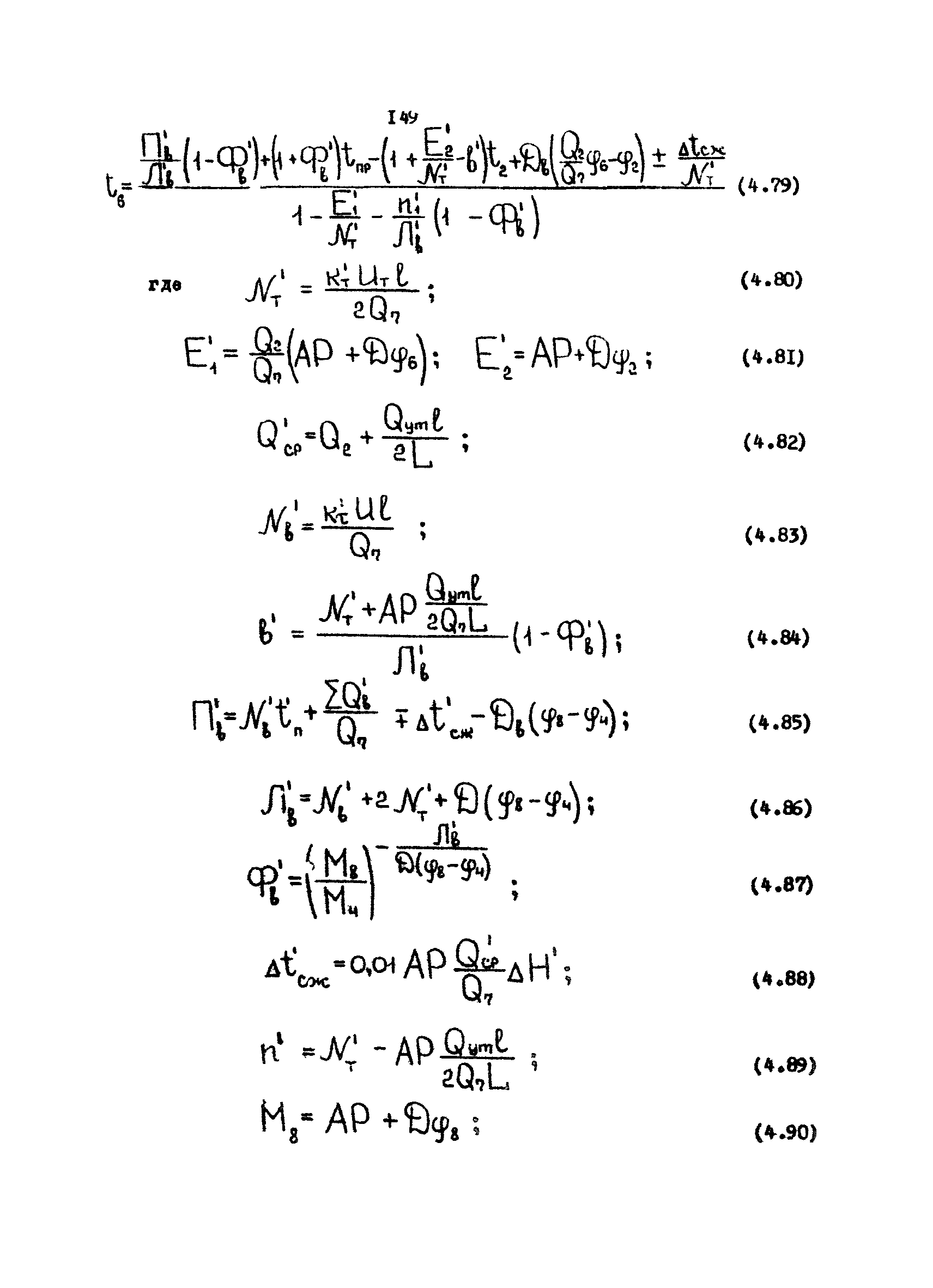
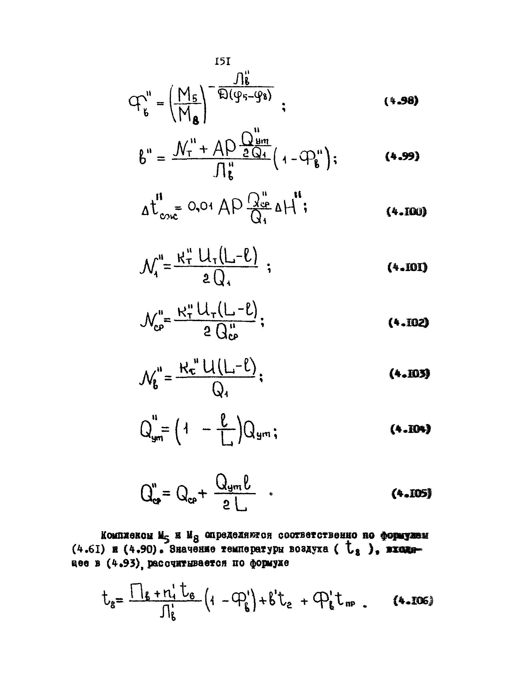
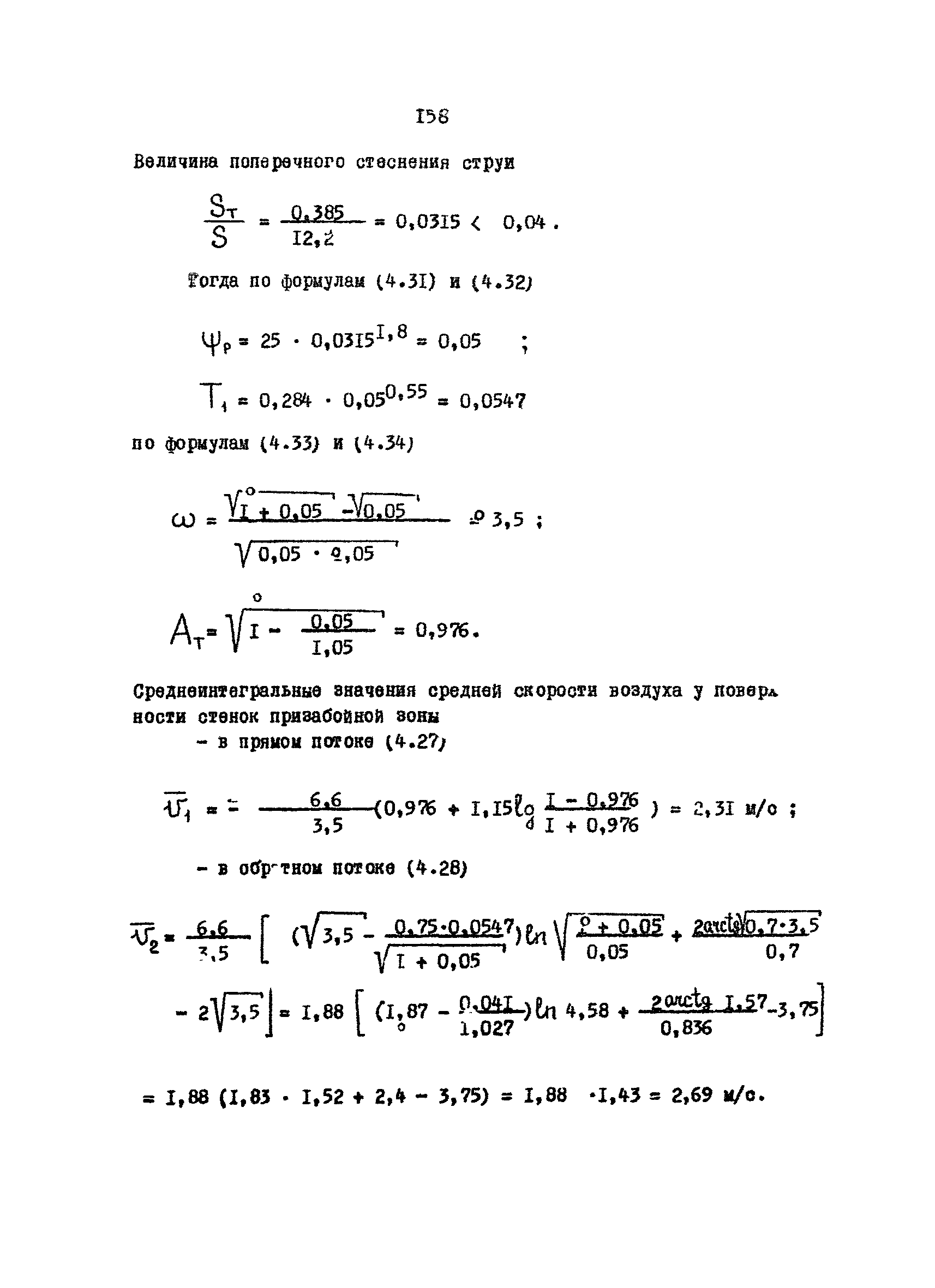
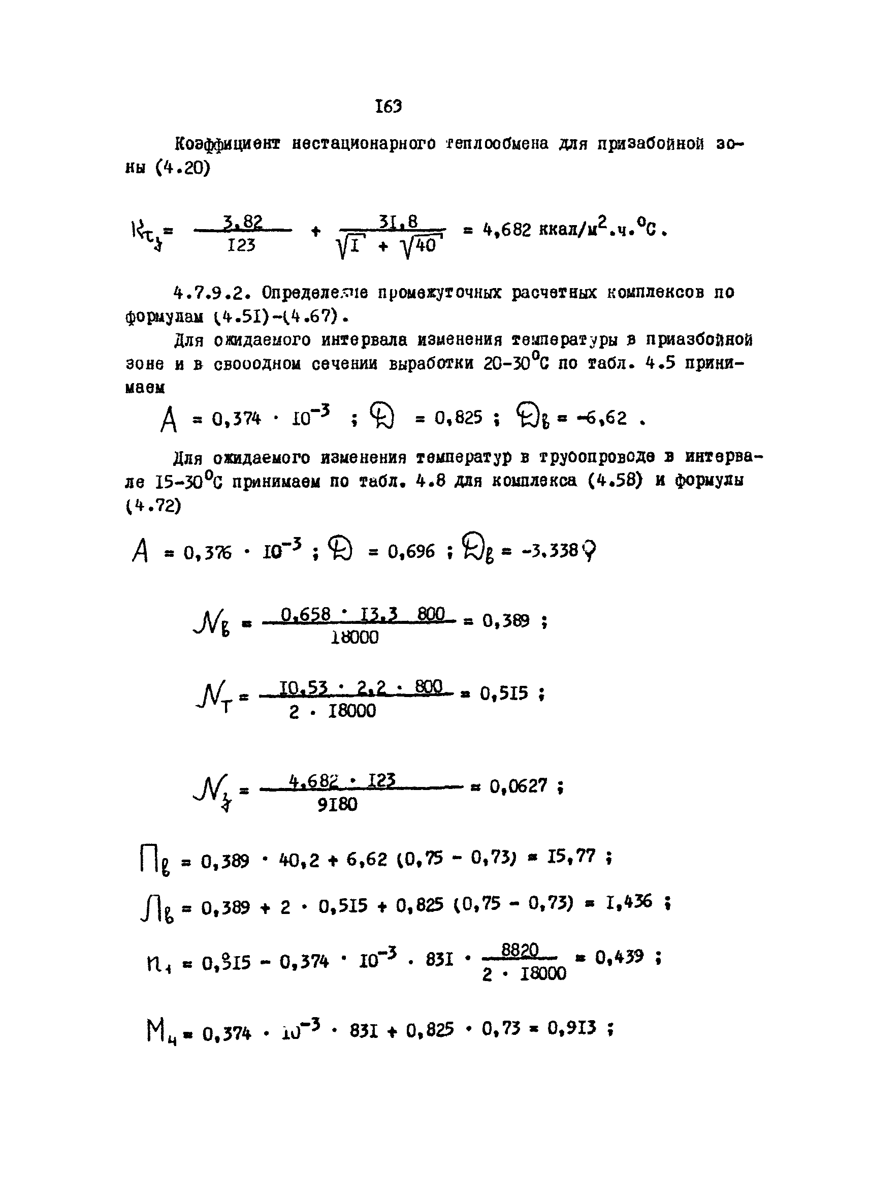
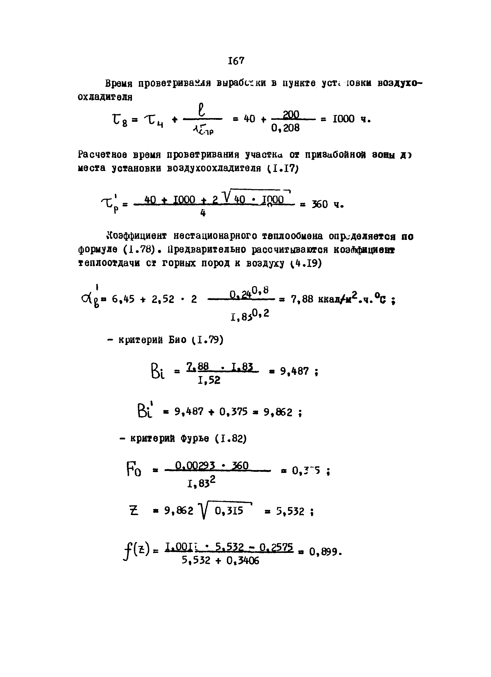
| Оглавление: | Введение Основные условные обозначения 1. Методика прогнозирования температурных условий глубоких шахт 1.1. Выбор исходных данных 1.2. Расчет тепловыделений местных источников в горных выработках 1.3. Расчет коэффициентов теплопередачи трубопроводов в тепло— и хладоносителем в горных выработках 1.4. Расчет коэффициентов нестационарного теплообмена между горным массивом и воздухом в выработках 1.5. Тепловой расчет горных выработок 1.6.Упрощенный способ тепловых расчетов горных выработок 1.7 Пример теплового расчета 1.8. Пример теплового расчета по упрощенному способу 2. Методика прогнозирования температурного режима шахт в осложненных условиях 2.1. Выбор исходных данных 2.2. Тепловой расчет горных выработок, расположенных в зоне восходящего движения термальных вод 2.3. Пример теплового расчета выработки с термальными водами 3. Методика прогнозирования температурных условий шахт севера 3.1. Выбор исходных данных 3.2. Расчет тепловыделений местных источников в горных выработках 3.3. Нестационарный теплообмен воздушного потока с горным массивом 3.4. Тепловой расчет горных выработок 3.5. Пример теплового расчета угольной шахты Севера 4. Методика прогнозирования температурных условий в выработках, проветриваемых с помощью вентиляторов местного проветривания Основные условные обозначения 4.1. Выбор исходных данных 4.2. Расчет тепловыделений местных источников 4.3. Расчет коэффициентов теплопередачи вентиляционных трубопроводов в тупиковых выработках 4.4. Расчет коэффициентов нестационарного теплообмена между горным массивом и воздухом 4.5. Расчет температуры в тупиковой выработке без охлаждения воздуха 4.6. Расчет температуры в тупиковой выработке при искусственном охлаждении воздуха 4.7. Пример расчета ожидаемых значений температуры воздуха и необходимой холодопроизводительности воздухоохладителя для тупиковой выработки Приложение 1. Средние значения температуры земной поверхности и величины геотермической ступени для геотермических участков Донбасса Приложение 2. Парциальное давление насыщенного водяного пара Приложение 3. Значения средних безразмерных температур Q для ископаемого в вагонетках Приложение 4. Теплофизические характеристики крепежных и изоляционных материалов Приложен е 5. Значения коэффициента К в зависимости от критерия Коссовича и температурного симплекса |
| Разработан: | ГИГХС ЦБНТ |
| Утверждён: | 29.12.1978 Министерство угольной промышленности СССР (USSR Ministry of the Coal Industry ) |
| Заменяет собой: |
|




































































































































































































