Скачать ГОСТ Р 57614-2017 Газ горючий природный. Определение энергииДата актуализации: 01.01.2021
|
| Обозначение: | ГОСТ Р 57614-2017 |
| Обозначение англ: | GOST R 57614-2017 |
| Статус: | введен впервые |
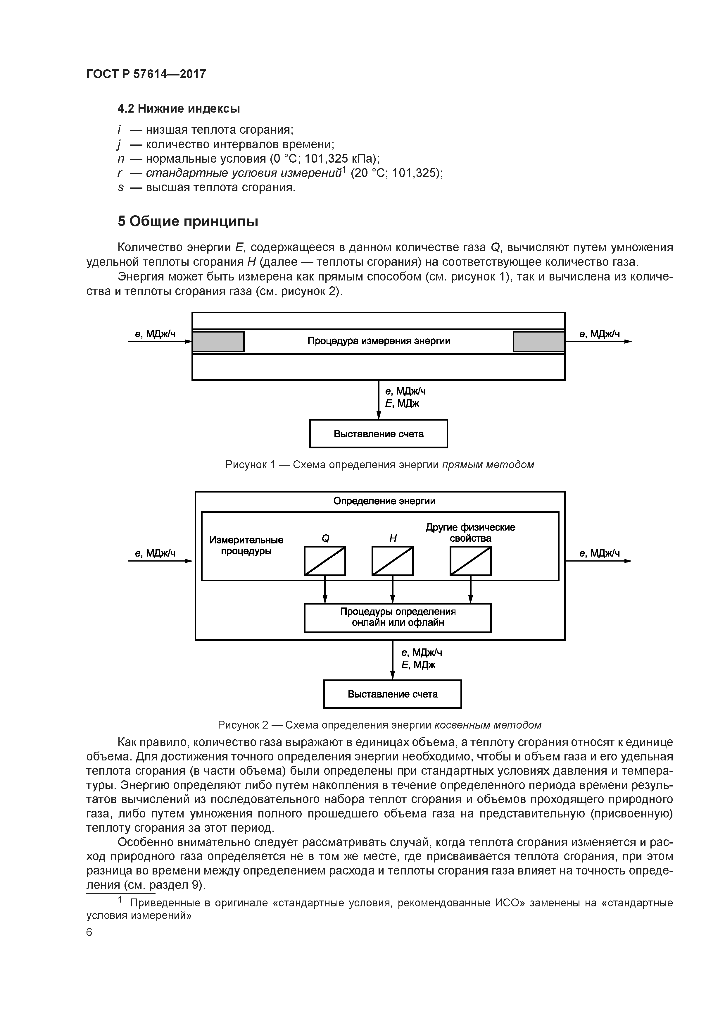
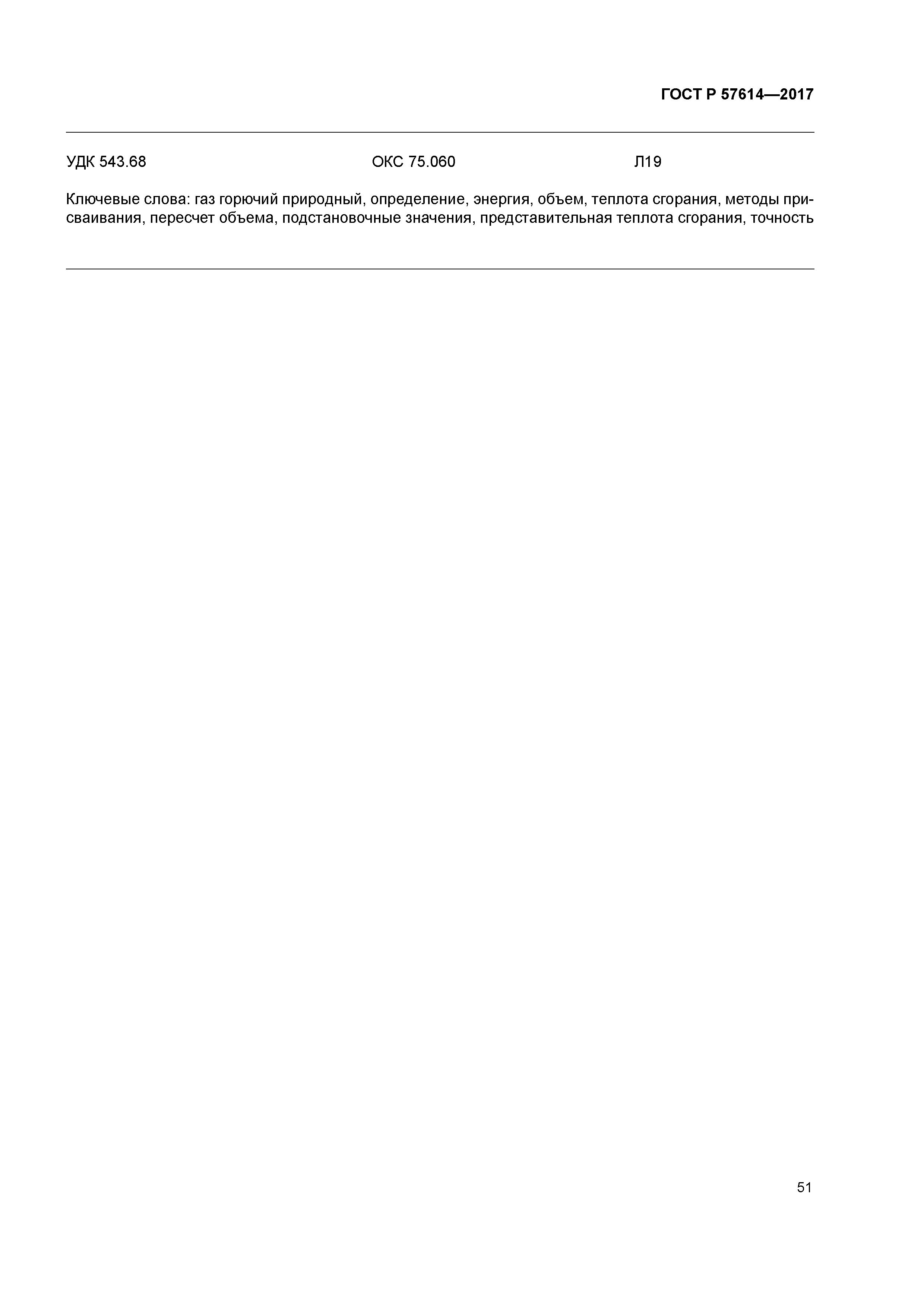
| Название рус.: | Газ горючий природный. Определение энергии |
| Название англ.: | Natural combustible gas. Energy determination |
| Дата добавления в базу: | 01.01.2018 |
| Дата актуализации: | 01.01.2021 |
| Дата введения: | 01.01.2019 |
| Область применения: | Стандарт распространяется на способы определения тепловой энергии природного газа, выделяющейся при его сгорании, с помощью измерений или вычислений и определяет необходимые для этого методы и единицы измерений. Расчеты энергии основываются на раздельном определении количества транспортируемого газа (по массе или по объему) и его удельной теплоты сгорания. В стандарте приведены также общие способы вычисления неопределенностей. В настоящем стандарте рассматриваются только средства и методы измерений, используемые в настоящее время. Стандарт применим ко всем типам газоизмерительных станций. Стандарт допускает применение новых методов измерений при условии, что их характеристики не уступают характеристикам методов, приведенных в настоящем стандарте. Газоизмерительные системы не являются предметом детального рассмотрения настоящего стандарта. |
| Оглавление: | 1 Область применения 2 Нормативные ссылки 3 Термины и определения 4 Обозначения 4.1 Условные обозначения 4.2 Нижние индексы 5 Общие принципы 6 Измерения параметров газа 6.1 Общие положения 6.2 Измерения объема 6.3 Измерения теплоты сгорания 6.4 Приведение объемов 6.5 Поверка (калибровка) 6.6 Хранение и передача данных 7 Определение энергии 7.1 Пункты приема-передачи 7.2 Методы определения энергии 8 Методология и процедуры 8.1 Общие положения 8.2 Методология определения энергии 8.3 Проверка достоверности 9 Методы присваивания 9.1 Фиксированное присваивание 9.2 Переменное присваивание 9.3 Определение представительной теплоты сгорания 10 Расчет количества энергии 10.1 Общие уравнения для расчета энергии 10.2 Вычисление усредненных величин с помощью средних теплот сгорания и суммарных объемов 10.3 Пересчеты объем-объем и объем-масса 10.4 Определение энергии на базе заявленной теплоты сгорания 11 Точность определения энергии 11.1 Точность 11.2 Вычисление неопределенности 11.3 Смещение 12 Контроль и гарантии качества 12.1 Общие положения 12.2 Проверка смещения результатов измерения 12.3 Прослеживаемость 12.4 Подстановочные значения Приложение А (справочное) Основные средства измерений и методы определения энергии Приложение В (справочное) Различные возможные модели изменения теплоты сгорания Приложение С (справочное) Пересчеты объем-объем и объем-масса Приложение D (справочное) Суммирование энергии нарастающим итогом Приложение Е (справочное) Практические примеры пересчета объема и вычисления энергии Приложение F (справочное) Практические примеры усреднения теплоты сгорания при различных вариантах поставок газа Приложение G (справочное) Способы определения подстановочных значений Приложение Н (справочное) Графический пример проверки достоверности Приложение J (справочное) Графический пример нескорректированных данных, коррекции смещения и конечного результата Приложение К (справочное) Определение теплоты сгорания для одного пласта Приложение ДА (справочное) Сведения о соответствии ссылочного межгосударственного стандарта международному стандарту, использованному в качестве ссылочного в примененном международном стандарте Библиография |
| Разработан: | ФГБОУ ВО Российский государственный университет нефти и газа (национальный исследовательский университет) имени И.М. Губкина |
| Утверждён: | 16.08.2017 Федеральное агентство по техническому регулированию и метрологии (910-ст) |
| Издан: | Стандартинформ (2017 г. ) |
| Нормативные ссылки: |
|
























































