Скачать ГОСТ Р 57639-2017 Пожарно-технический анализ. Валидация и верификация методов расчетаДата актуализации: 01.01.2021
|
| Обозначение: | ГОСТ Р 57639-2017 |
| Обозначение англ: | GOST R 57639-2017 |
| Статус: | введен впервые |
| Название рус.: | Пожарно-технический анализ. Валидация и верификация методов расчета |
| Название англ.: | Fire safety engineering. Validation and verification of calculation methods |
| Дата добавления в базу: | 01.01.2018 |
| Дата актуализации: | 01.01.2021 |
| Дата введения: | 01.06.2018 |
| Область применения: | Стандарт обеспечивает основу для верификации и валидации всех видов методов расчета, используемых в качестве инструментов для пожарно-технического анализа. В нем не представлены конкретные модели пожара, однако настоящий стандарт предназначен для применения в аналитических моделях, алгебраических зависимостях и сложных численных моделях, которые рассмотрены в качестве методов расчета в контексте настоящего стандарта. Стандарт включает: - процесс, позволяющий определить, что соответствующие уравнения и методы расчета реализованы правильно (верификация) и что рассматриваемый метод расчета точно отображает реальность (валидация); - требования к документации, подтверждающей пригодность научно-технической основы метода расчета; - требования к данным, на основе которых должны быть проверены прогнозируемые результаты метода расчета; - руководство по использованию настоящего стандарта разработчиками и/или пользователями методов расчета и лицами, которые занимаются оценкой результатов, полученных с помощью методов расчета. |
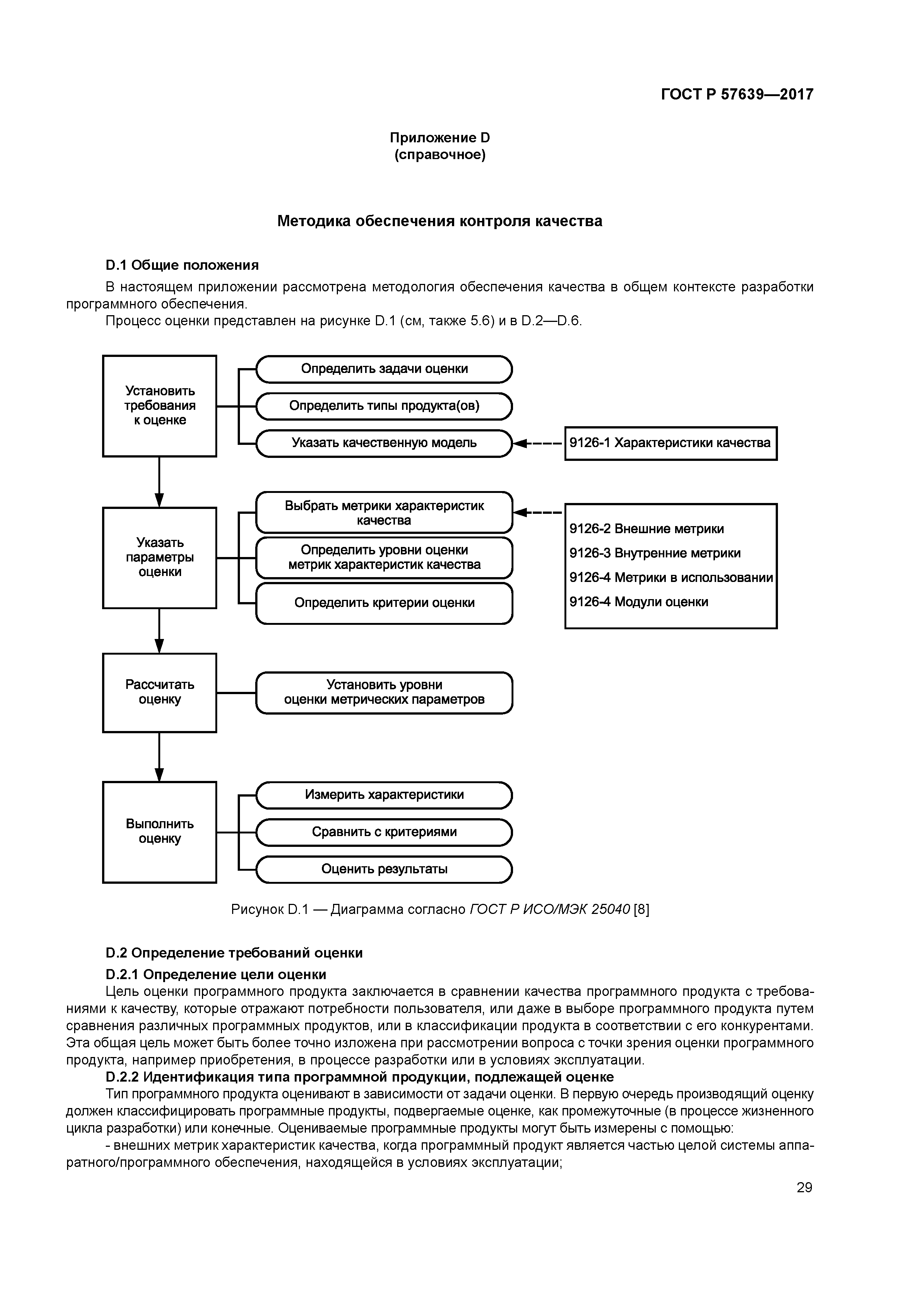
| Оглавление: | 1 Область применения 2 Нормативные ссылки 3 Термины и определения 4 Документация 4.1 Общие положения 4.2 Техническая документация 4.3 Руководство пользователя 5 Методика 5.1 Общие положения 5.2 Верификация 5.3 Валидация 5.4 Обзор теоретической и экспериментальной основы вероятностных моделей 5.5 Анализ чувствительности 5.6 Обеспечение качества 6 Требования к справочным данным для валидации метода расчета 6.1 Общие положения 6.2 Особые требования к данным для валидации Приложение А (справочное) Неопределенность Приложение В (справочное) Примеры методов валидации Приложение С (справочное) Методы анализа чувствительности Приложение D (справочное) Методика обеспечения контроля качества Приложение ДА (справочное) Сведения о соответствии ссылочных национальных и межгосударственных стандартов международным стандартам, использованным в качестве ссылочных в примененном международном стандарте Библиография |
| Разработан: | ООО СИТИС |
| Утверждён: | 05.09.2017 Федеральное агентство по техническому регулированию и метрологии (1009-ст) |
| Издан: | Стандартинформ (2017 г. ) |
| Нормативные ссылки: |
|







































