Скачать ГОСТ Р МЭК 61131-9-2017 Контролеры программируемые. Часть 9. Одноточечный интерфейс цифровой связи для небольших датчиков и исполнительных устройствДата актуализации: 01.01.2021
|
| Обозначение: | ГОСТ Р МЭК 61131-9-2017 |
| Обозначение англ: | GOST R IEC 61131-9-2017 |
| Статус: | введен впервые |
| Название рус.: | Контролеры программируемые. Часть 9. Одноточечный интерфейс цифровой связи для небольших датчиков и исполнительных устройств |
| Название англ.: | Programmable controllers. Part 9. Singl-drop digital communication interface for small sensors and actuators (SDCI) |
| Дата добавления в базу: | 01.01.2019 |
| Дата актуализации: | 01.01.2021 |
| Дата введения: | 01.09.2018 |
| Область применения: | Стандарт устанавливает технологию одноточечного интерфейса цифровой связи SDCI для небольших датчиков и исполнительных устройств (более известных под названием IO-Link tm1, которая расширяет традиционные интерфейсы цифрового ввода и вывода, определенные в МЭК 61131-2, к двухточечной линии связи. Данная технология делает возможным передачу параметров Устройствам и доставку диагностических данных от Устройств к системе автоматизации. Данная технология, в основном, предназначена для применения в системах автоматизации производства с небольшими датчиками и исполнительными устройствами, которые включают в себя небольшие и экономически эффективные микроконтроллеры. Настоящий стандарт устанавливает услуги связи SDCI и протокол (физический уровень, канальный уровень и прикладной уровень в соответствии с эталонной моделью ISO/OSI) как для Ведущих узловSDCI, так и для Устройств. Стандарт также устанавливает требования к испытаниям на электромагнитную совместимость. Стандарт не распространяется на интерфейсы связи или системы, включающие многоточечные соединения, а также интеграцию SDCI в системах более высокого уровня, таких как полевые шины. |
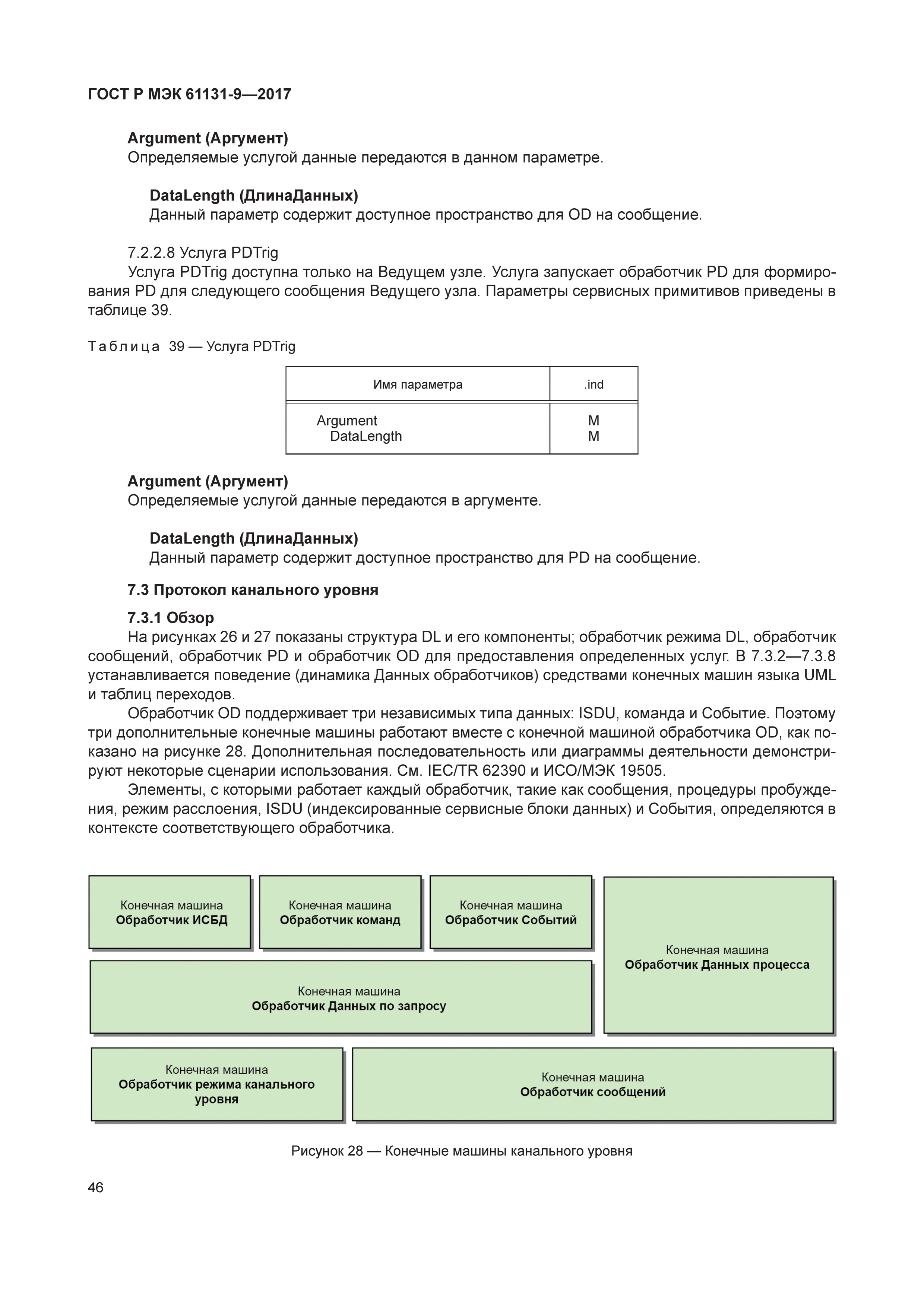
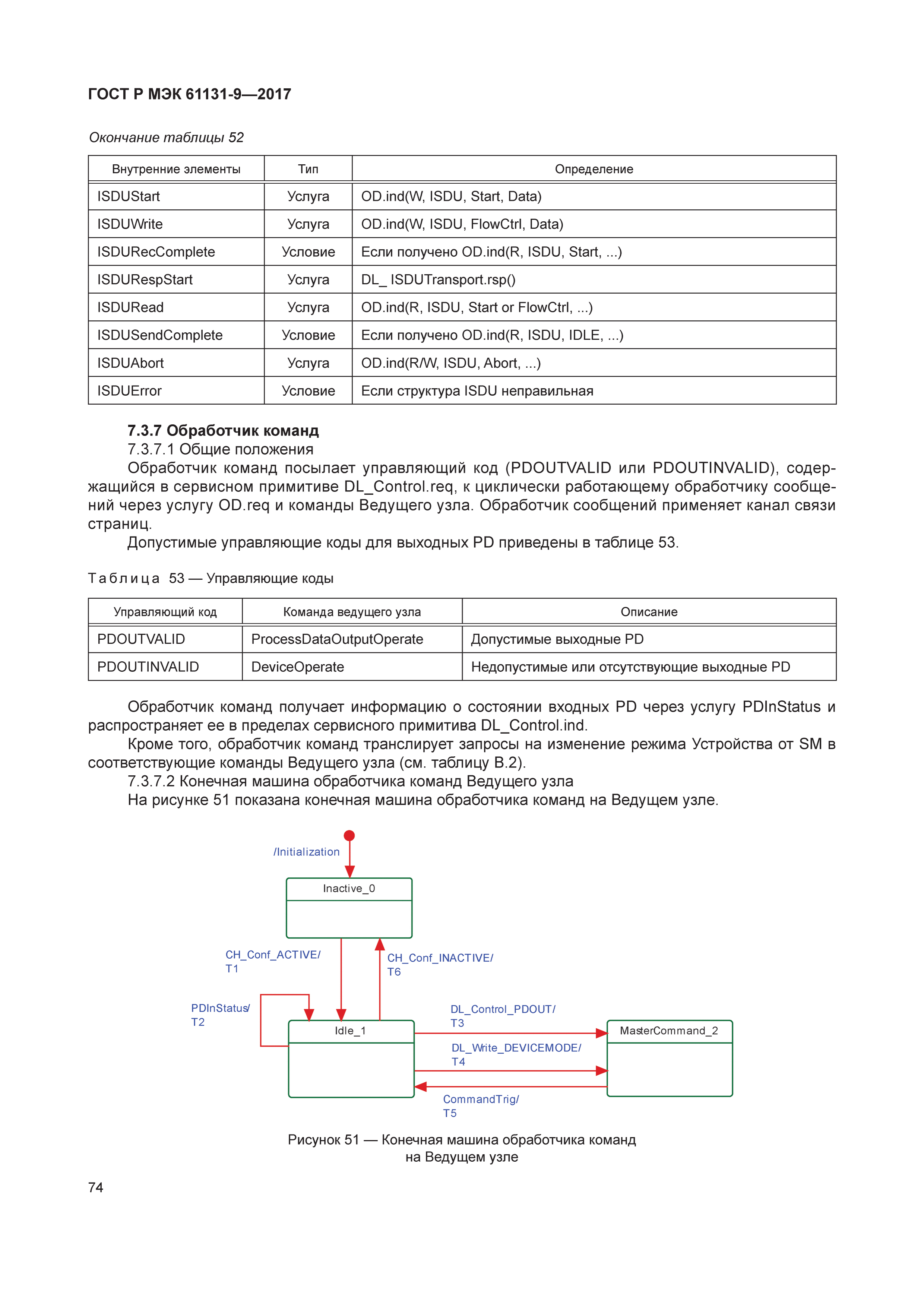
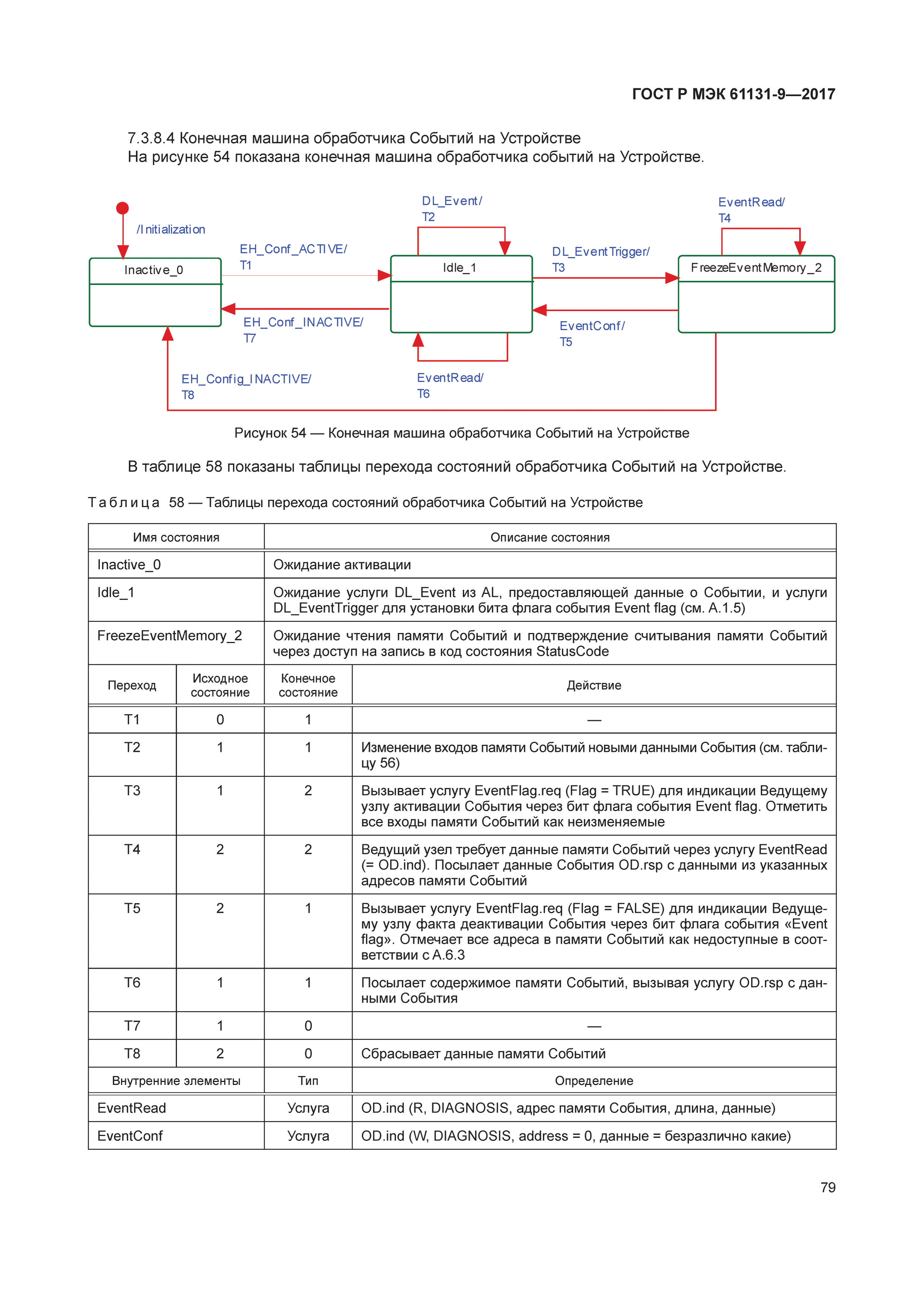
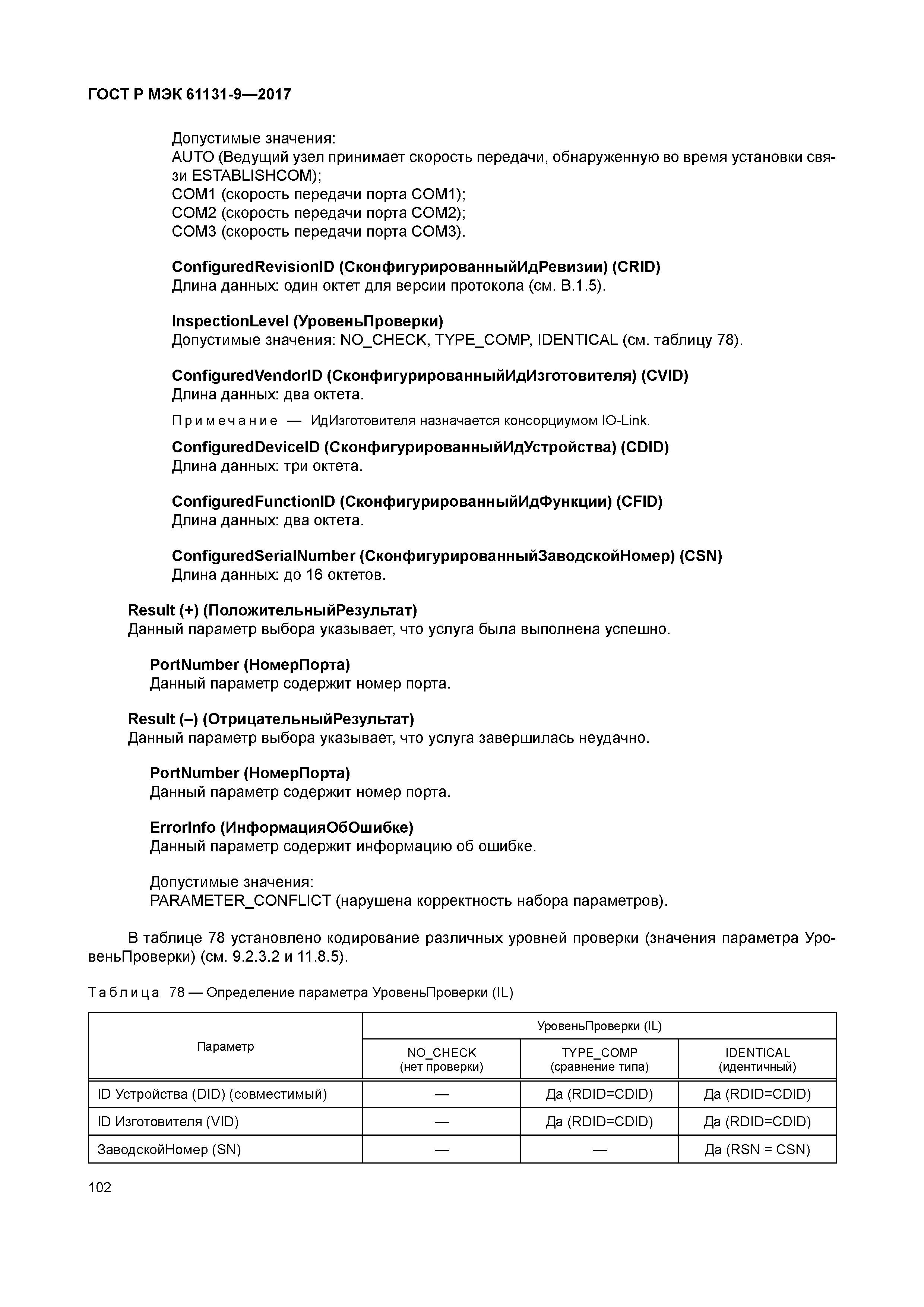
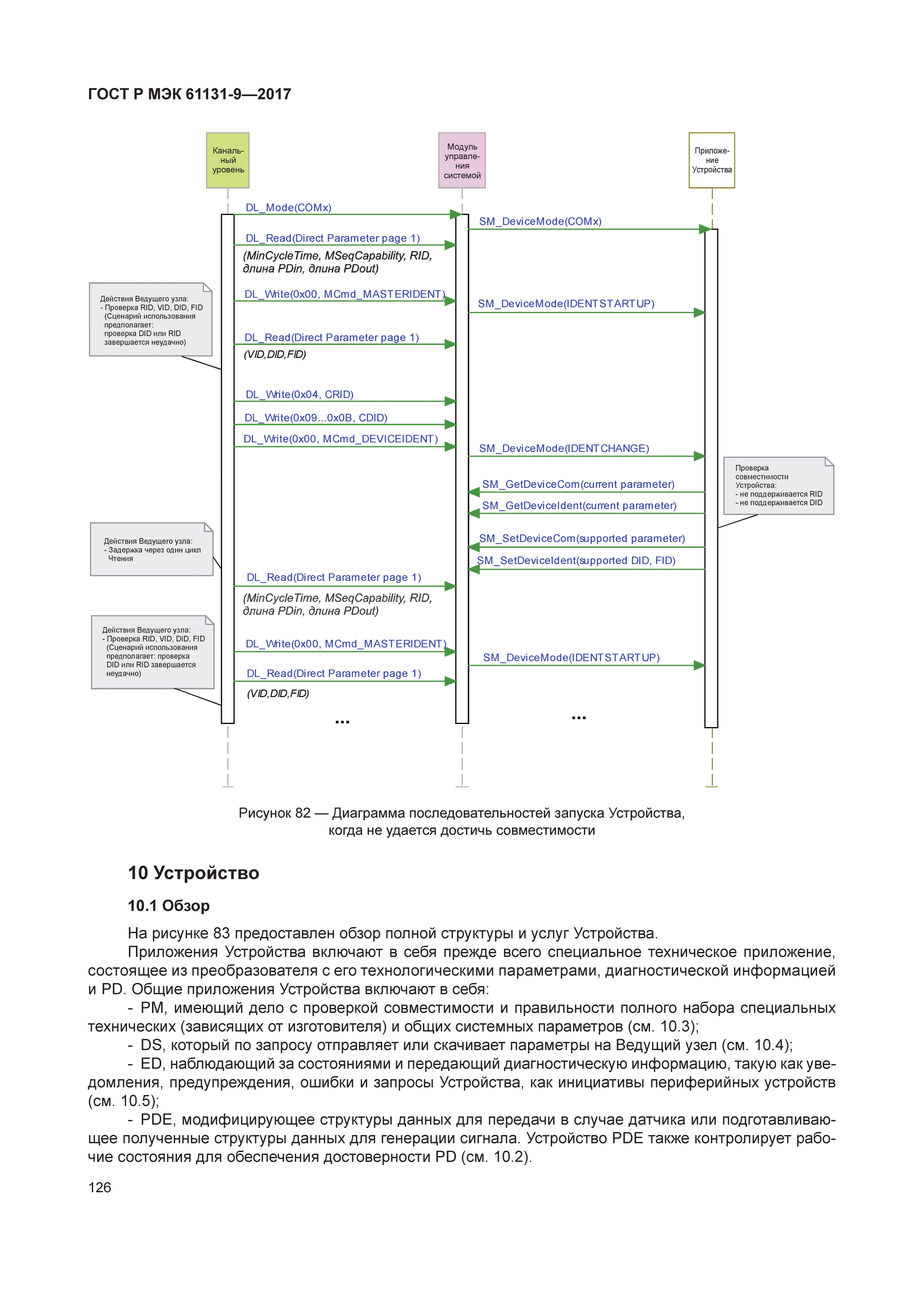
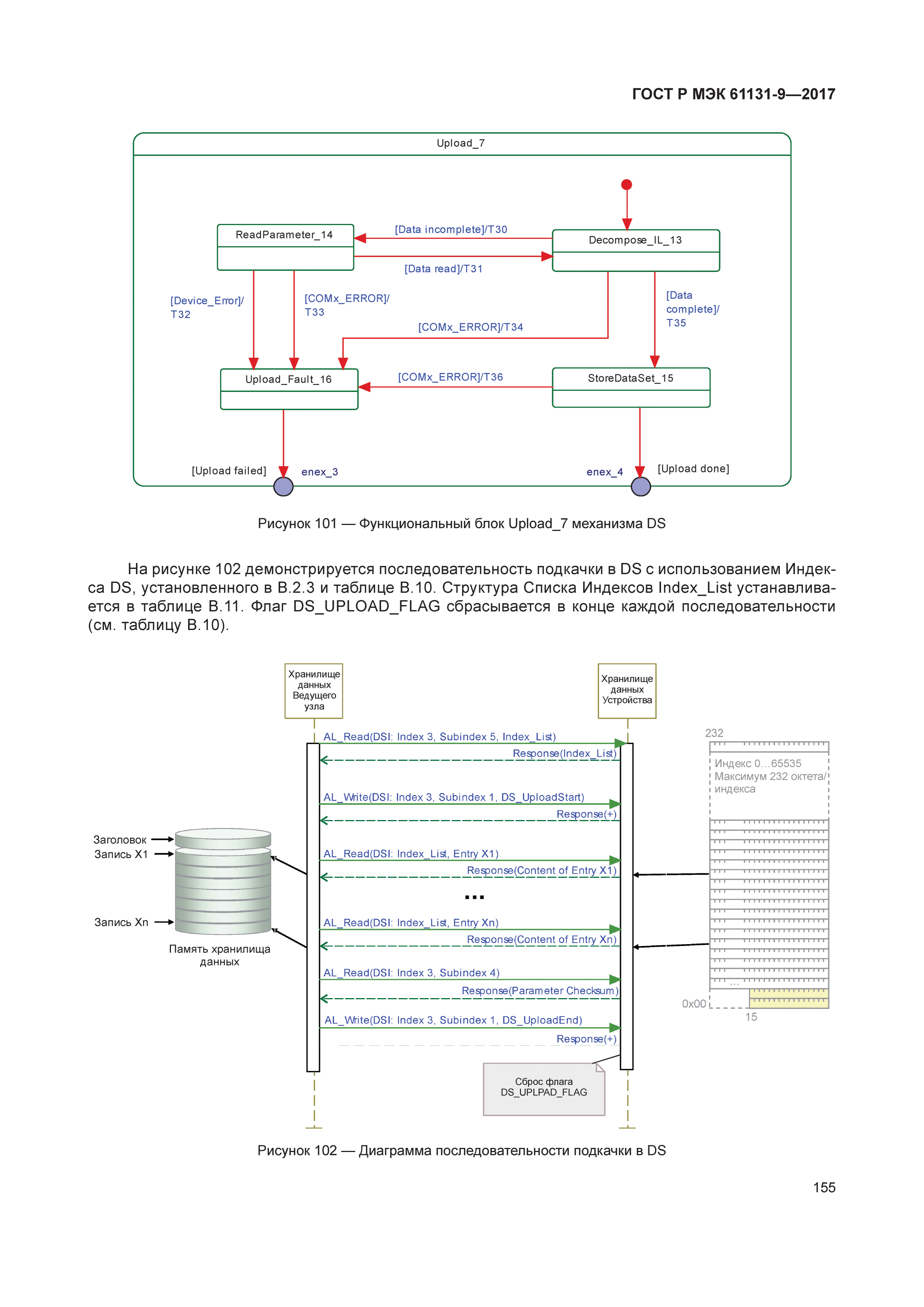
| Оглавление: | 1 Область применения 2 Нормативные ссылки 3 Термины, определения, обозначения, сокращения и условные обозначения 3.1 Термины и определения 3.2 Обозначения и сокращения 3.3 Условные обозначения 4 Обзор одноточечного интерфейса цифровой связи SDCI (IO-Link™) 4.1 Назначение технологии 4.2 Позиционирование в иерархии средств автоматизации 4.3 Проводка, соединители и электропитание 4.4 Возможности связи SDCI 4.5 Роль Ведущего узла. 4.6 Конфигурирование SDCI 4.7 Отображение на полевые шины 4.8 Структура стандарта 5 Физический уровень (PL) 5.1 Общие положения 5.2 Услуги физического уровня 5.3 Передатчик/приемник 5.4 Источник питания 5.5 Среда передачи данных 6 Стандартный ввод и вывод (SIO) 7 Канальный уровень (DL) 7.1 Общие положения 7.2 Услуги канального уровня 7.3 Протокол канального уровня 8 Прикладной уровень (AL) 8.1 Общие положения 8.2 Услуги прикладного уровня 8.3 Протокол прикладного уровня 9 Модуль управления системой (SM) 9.1 Общие положения 9.2 Модуль управления системой на Ведущем узле 9.3 Модуль управления системой на Устройстве 10 Устройство 10.1 Обзор 10.2 Обмен Данными процесса (PDE) 10.3 Менеджер параметров (РМ) 10.4 Хранилище данных (DS) 10.5 Диспетчер Событий (ED) 10.6 Характеристики Устройства 10.7 Проектные нормы и ограничения Устройства 10.8 Описание устройства ввода/вывода (IODD) 10.9 Диагностика Устройства 10.10 Возможности подключения Устройства 11 Ведущий узел 11.1 Обзор 11.2 Менеджер конфигурации (СМ) 11.3 Хранилище данных (DS) 11.4 Обмен Данными запроса (ODE) 11.5 Блок диагностики (DU) 11.6 Обмен Данными процесса (PDE) 11.7 Инструмент конфигурирования порта и Устройства (PDCT) 11.8 Приложение шлюза Приложение А (обязательное) Кодирование, временные ограничения и ошибки Приложение В (обязательное) Параметры и команды Приложение С (обязательное) Типы ошибок (ошибки ISDU) Приложение D (обязательное) Коды ошибок (диагностическая информация) Приложение Е (обязательное) Типы данных Приложение F (обязательное) Структура объекта данных Хранилища данных Приложение G (обязательное) Соответствие Ведущего узла и Устройства. Приложение Н (справочное) Вероятности остаточных ошибок Приложение I (справочное) Примерная последовательность передачи ISDU Приложение J (справочное) Рекомендуемые методы определения изменения параметров Приложение ДА (справочное) Сведения о соответствии ссылочных международных стандартов национальным стандартам Российской Федерации Библиография |
| Разработан: | ФГУП ВНИИНМАШ НОЧУ НИШ Российская комиссия экспертов МЭК/ТК 65 |
| Утверждён: | 14.09.2017 Федеральное агентство по техническому регулированию и метрологии (1124-ст) |
| Издан: | Стандартинформ (2017 г. ) |

















































































































































































































































