Скачать ГОСТ 34209-2017 Корма, комбикорма, комбикормовое сырье. Иммуноферментный метод определения плевромутилиновДата актуализации: 01.01.2021
|
| Обозначение: | ГОСТ 34209-2017 |
| Обозначение англ: | GOST 34209-2017 |
| Статус: | введен впервые |
| Название рус.: | Корма, комбикорма, комбикормовое сырье. Иммуноферментный метод определения плевромутилинов |
| Название англ.: | Feeds, mixed feeds, raw material. Immunoenzymatic method for determination of pleuromutilins |
| Дата добавления в базу: | 01.01.2019 |
| Дата актуализации: | 01.01.2021 |
| Дата введения: | 01.01.2019 |
| Область применения: | Стандарт распространяется на корма, комбикорма, комбикормовое сырье и устанавливает иммуноферментный метод определения суммарного содержания плевромутилинов (тиамулина и вальнемулина). |
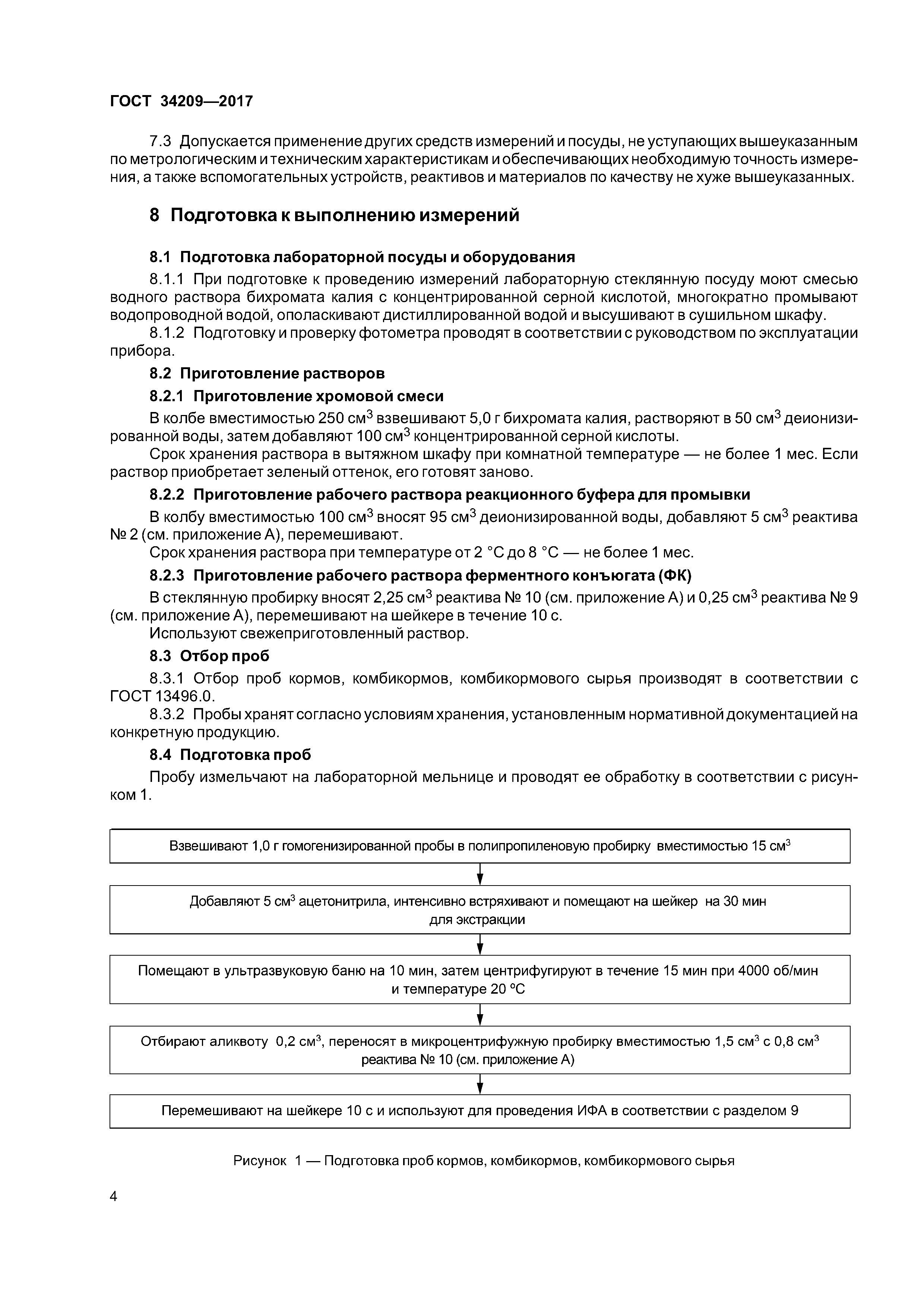
| Оглавление: | 1 Область применения 2 Нормативные ссылки 3 Термины, определения и сокращения 4 Сущность метода 5 Предел обнаружения суммарного содержания плевромутилинов 6 Требования безопасности и условия выполнения измерений 7 Средства измерений, вспомогательные устройства, материалы, посуда и реактивы 8 Подготовка к выполнению измерений 9 Проведение иммуноферментного анализа 10 Обработка результатов измерения Приложение А (обязательное) Комплектация тест-системы "Плевромутилины — ИФА" Приложение Б (рекомендуемое) Схема заполнения лунок планшета Приложение В (рекомендуемое) Таблица для записи результатов измерения |
| Разработан: | ФГБУ ВГНКИ |
| Утверждён: | 14.07.2017 Межгосударственный Совет по стандартизации, метрологии и сертификации (Inter-Governmental Council on Standardization, Metrology, and Certification 101-П) 05.10.2017 Федеральное агентство по техническому регулированию и метрологии (1355-ст) |
| Издан: | Стандартинформ (2017 г. ) |
| Список изменений: |
|
| Нормативные ссылки: |
|
















Текстовое изменение Поправка от 11.12.2019