Скачать Перечень стандартов, в результате применения которых на добровольной основе обеспечивается соблюдение требований технического регламента Таможенного союза О безопасности мебельной продукции (ТР ТС 025/2012). Редакция 2

Дата актуализации: 01.01.2021

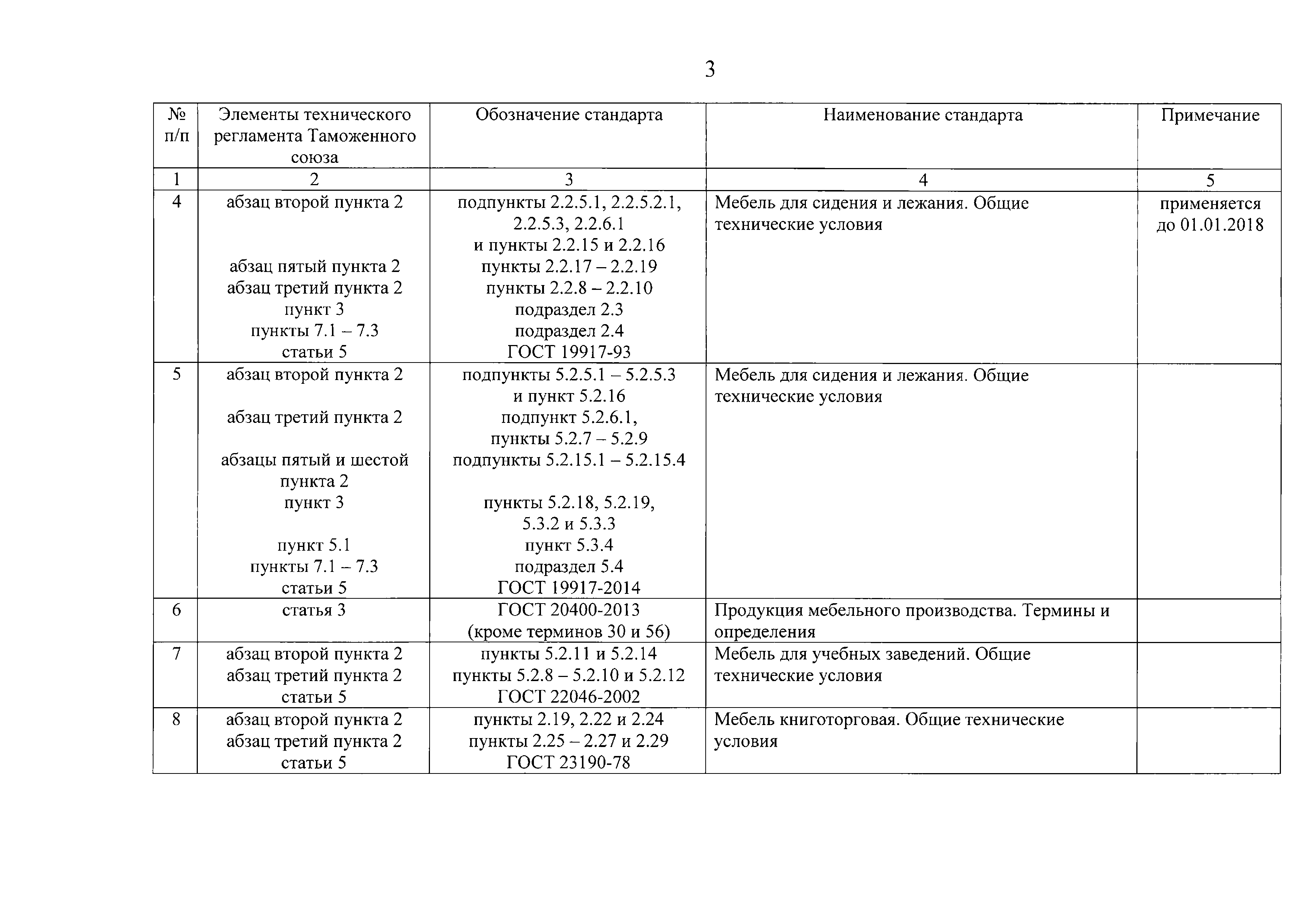
Перечень стандартов, в результате применения которых на добровольной основе обеспечивается соблюдение требований технического регламента Таможенного союза "О безопасности мебельной продукции" (ТР ТС 025/2012). Редакция 2

Статус:действует
Название рус.:Перечень стандартов, в результате применения которых на добровольной основе обеспечивается соблюдение требований технического регламента Таможенного союза "О безопасности мебельной продукции" (ТР ТС 025/2012). Редакция 2
Дата добавления в базу:01.01.2018
Дата актуализации:01.01.2021
Дата введения:10.12.2017
Утверждён:07.11.2017 Коллегия Евразийской экономической комиссии (136)
Издан: Сайт Евразийского экономического союза () (от 10.11.2017)
Заменяет собой:
Нормативные ссылки: