Скачать ГОСТ Р ИСО 15623-2017 Интеллектуальные транспортные системы. Системы предупреждения столкновений с движущимся впереди транспортным средством. Требования к эксплуатационным характеристикам и методы испытанияДата актуализации: 01.01.2021
|
| Обозначение: | ГОСТ Р ИСО 15623-2017 |
| Обозначение англ: | GOST R ISO 15623-2017 |
| Статус: | введен впервые |
| Название рус.: | Интеллектуальные транспортные системы. Системы предупреждения столкновений с движущимся впереди транспортным средством. Требования к эксплуатационным характеристикам и методы испытания |
| Название англ.: | Intelligent transport systems. Forward vehicle collision warning systems. Performance requirements and test procedures |
| Дата добавления в базу: | 01.01.2019 |
| Дата актуализации: | 01.01.2021 |
| Дата введения: | 01.07.2018 |
| Область применения: | Стандарт устанавливает требования к характеристикам и процедурам испытаний систем, имеющих функции предупреждения водителя о возможном столкновении с движущимся впереди транспортным средством при движении без нарушения установленной скорости. FVCWS работает в установленных диапазонах скоростей, радиусов кривизны дороги и для установленных типов, движущихся впереди транспортных средств. Данный стандарт касается движения легковых автомобилей, грузовых автомобилей, автобусов, мотоциклов на дорогах с радиусом кривизны свыше 125 метров. Ответственность за безопасность движения остается за водителем. |
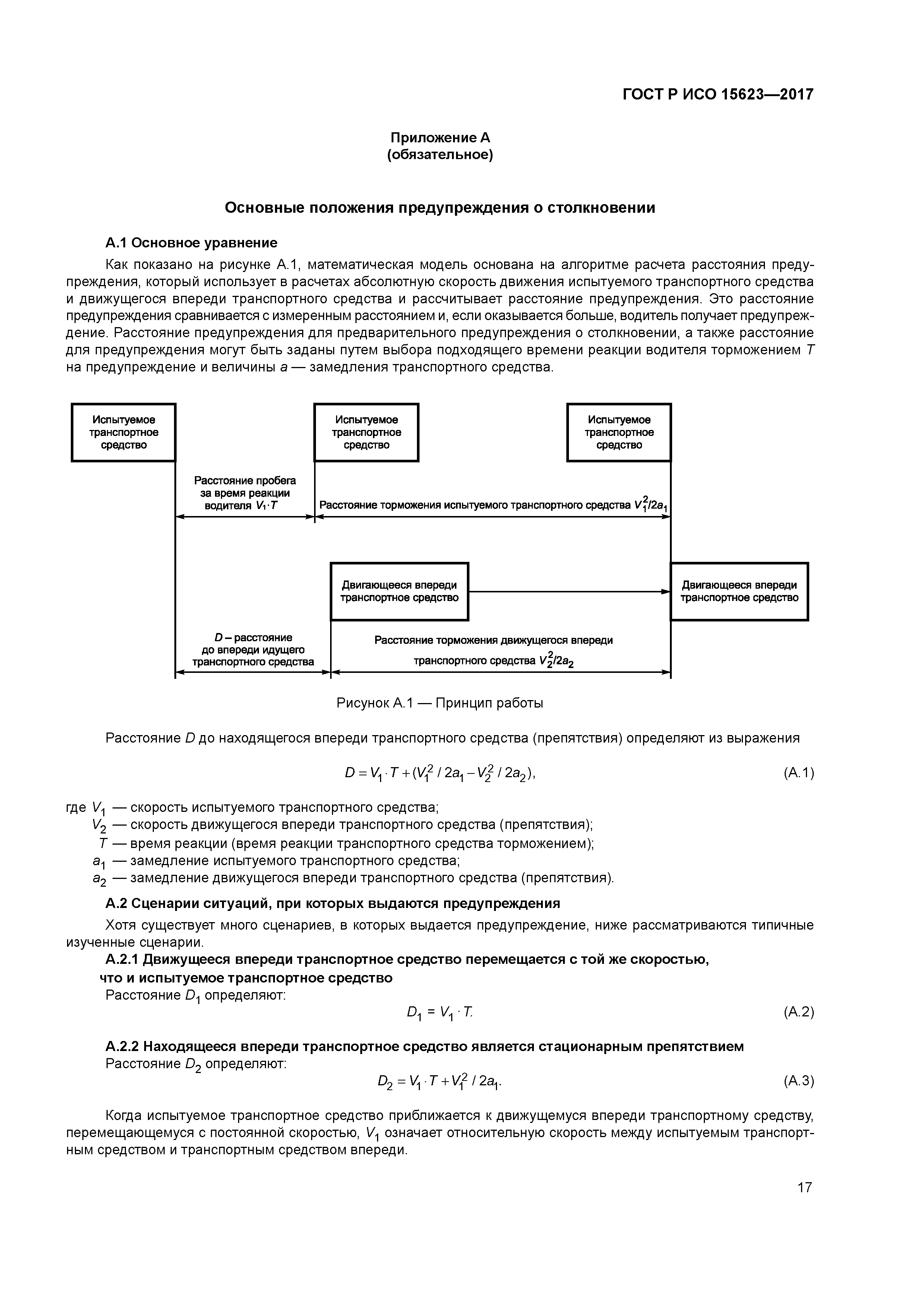
| Оглавление: | 1 Область применения 2 Нормативные ссылки 3 Термины и определения 4 Обозначения 5 Спецификации и требования 5.1 Функциональность системы 5.2 Необходимые функции 5.3 Модель функционирования 5.4 Функции предупреждения водителю 5.5 Требования к элементам системы 5.6 Классификация систем 5.7 Зона обнаружения транспортного средства-препятствия и эксплуатационные характеристики 5.8 Эксплуатационные характеристики системы на непрямолинейных участках дороги 5.9 Требования по безопасности пользователей 5.10 Требования к человеко-машинному интерфейсу 5.11 Осведомленность об ограничениях системы 6 Метод оценочных испытаний для определения характеристик функций распознавания 6.1 Спецификация цели испытаний 6.2 Условия окружающей среды 6.3 Метод испытаний для зоны обнаружения 6.4 Метод испытаний для определения величины и точности расстояния обнаружения 6.5 Метод испытания для оценки способности распознавания цели Приложение A (обязательное) Основные положения предупреждения о столкновении Приложение B (обязательное) Обнаружение препятствий на непрямолинейных участках дорог Приложение C (обязательное) Вычисление коэффициента отражения цели (мишени) испытаний при использовании лазера Приложение D (обязательное) Геометрия мишени испытаний радиоволнового радара Приложение ДА (справочное) Сведения о соответствии ссылочных международных стандартов национальным стандартам Библиография |
| Разработан: | ЗАО НПП Транснавигация |
| Утверждён: | 07.11.2017 Федеральное агентство по техническому регулированию и метрологии (1673-ст) |
| Издан: | Стандартинформ (2017 г. ) Стандартинформ (2018 г. ) |
| Нормативные ссылки: |































