Скачать Административный регламент Федеральной службы государственной регистрации, кадастра и картографии по предоставлению государственной услуги по государственному кадастровому учету и (или) государственной регистрации прав на недвижимое имуществоДата актуализации: 01.01.2021
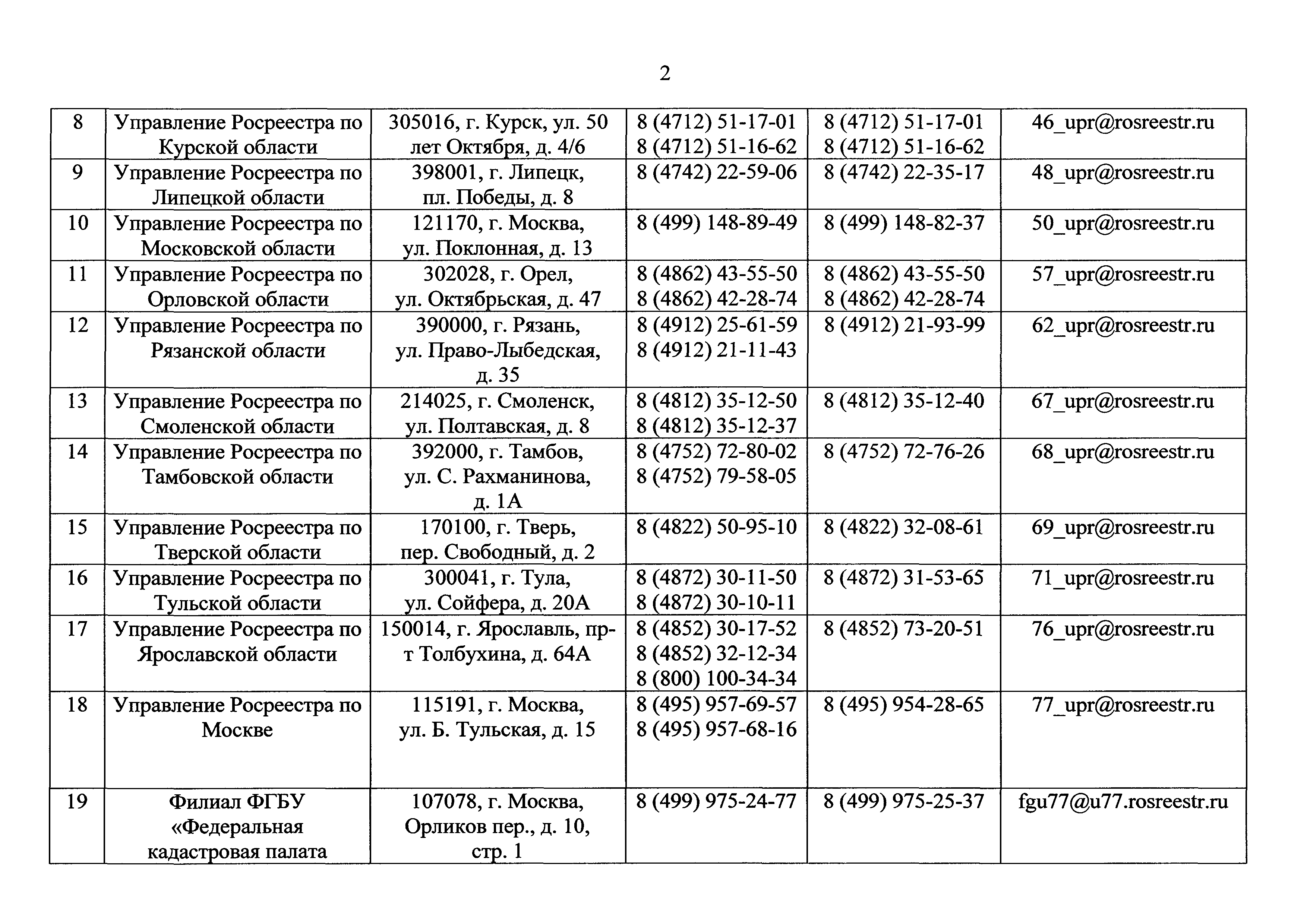
Административный регламент Федеральной службы государственной регистрации, кадастра и картографии по предоставлению государственной услуги по государственному кадастровому учету и (или) государственной регистрации прав на недвижимое имущество| Статус: | действует | | Название рус.: | Административный регламент Федеральной службы государственной регистрации, кадастра и картографии по предоставлению государственной услуги по государственному кадастровому учету и (или) государственной регистрации прав на недвижимое имущество | | Дата добавления в базу: | 01.01.2019 | | Дата актуализации: | 01.01.2021 | | Дата введения: | 15.12.2017 | | Оглавление: | I. Общие положения II. Стандарт предоставления государственной услуги III. Состав, последовательность и сроки выполнения административных процедур, требования к порядку их выполнения, в том числе особенности выполнения административных процедур в электронной форме IV. Формы контроля за исполнением Административного регламента V. Досудебный (внесудебный) порядок обжалования действий (бездействия) и решений органа, предоставляющего государственную услугу, а также его должностных лиц Приложение № 1. Сведения о территориальных органах Федеральной службы государственной регистрации, кадастра и картографии, филиалах подведомственного Росреестру федерального государственного бюджетного учреждения "Федеральная кадастровая палата Федеральной службы государственной регистрации, кадастра и картографии", исполнительных органах государственной власти, осуществляющих часть полномочий в сфере государственной регистрации прав на недвижимое имущество и сделок с ним и государственного кадастрового учета (далее совместно - орган регистрации прав) Приложение № 2. Блок-схема предоставления государственной услуги по государственному кадастровому учету и (или) государственной регистрации прав на недвижимое имущество | | Утверждён: | 07.06.2017 Министерство экономического развития РФ (278)
| | Издан: | Официальный интернет-портал правовой информации (www.pravo.gov.ru) (от 04.12.2017 г. Номер опубликования: 0001201712040015)
| | Нормативные ссылки: |   Федеральный закон 122-ФЗ «О государственной регистрации прав на недвижимое имущество и сделок с ним»  Федеральный закон 102-ФЗ «Об ипотеке (залоге недвижимости)» Кодекс «Земельный кодекс Российской Федерации»  Федеральный закон 137-ФЗ «О введении в действие Земельного кодекса Российской Федерации»  Федеральный закон 181-ФЗ «О социальной защите инвалидов в Российской Федерации» Кодекс «Жилищный кодекс Российской Федерации»  Федеральный закон 191-ФЗ «О введении в действие Градостроительного кодекса Российской Федерации»  Федеральный закон 214-ФЗ «Об участии в долевом строительстве многоквартирных домов и иных объектов недвижимости и о внесении изменений в некоторые законодательные акты Российской Федерации» Кодекс «Водный кодекс Российской Федерации» Кодекс «Лесной кодекс Российской Федерации»  Федеральный закон 161-ФЗ «О содействии развитию жилищного строительства» Кодекс «Гражданский кодекс Российской Федерации»  Федеральный закон 73-ФЗ «Об объектах культурного наследия (памятниках истории и культуры) народов Российской Федерации»  Федеральный закон 221-ФЗ «О кадастровой деятельности»  Федеральный закон 201-ФЗ «О введении в действие Лесного кодекса Российской Федерации» Постановление 373 «О разработке и утверждении административных регламентов осуществления государственного контроля (надзора) и административных регламентов предоставления государственных услуг»  Федеральный закон 210-ФЗ «Об организации предоставления государственных и муниципальных услуг»  «Правила недискриминационного доступа к инфраструктуре для размещения сетей электросвязи» «Административный регламент Федеральной службы государственной регистрации, кадастра и картографии по предоставлению государственной услуги по государственной регистрации прав на недвижимое имущество и сделок с ним»  Федеральный закон 218-ФЗ «О государственной регистрации недвижимости»  «Порядок обеспечения условий доступности для инвалидов объектов (административные здания, строения, сооружения и помещения) Минэкономразвития России, подведомственных ему федеральных служб и агентств, их территориальных органов и находящихся в их ведении организаций (за исключением осуществляющих деятельность и сфере образования и здравоохранения) и предоставляемых ими услуг, а также оказания инвалидам при этом необходимой помощи»  Приказ 861 «Об утверждении формы и состава сведений акта обследования, а также требований к его подготовке»  Приказ 883 «Об установлении порядка представления заявления о государственном кадастровом учете недвижимого имущества и (или) государственной регистрации прав на недвижимое имущество и прилагаемых к нему документов, порядка представления заявления об исправлении технической ошибки в записях Единого государственного реестра недвижимости»  Приказ 953 «Об утверждении формы технического плана и требований к его подготовке, состава содержащихся в нем сведений, а также формы декларации об объекте недвижимости, требований к ее подготовке, состава содержащихся в ней сведений» Приказ 920 «Об утверждении форм заявления о государственном кадастровом учете недвижимого имущества и (или) государственной регистрации прав на недвижимое имущество, заявления об исправлении технической ошибки в записях Единого государственного реестра недвижимости, о внесении сведений в Единый государственный реестр недвижимости заинтересованным лицом, о внесении в Единый государственный реестр недвижимости записей о наличии возражения в отношении зарегистрированного права на объект недвижимости, записей о невозможности государственной регистрации права без личного участия правообладателя, записей о наличии прав требований в отношении зарегистрированного права, отдельных записей о правообладателе, отдельных дополнительных сведений об объекте недвижимости, требований к их заполнению, требований к формату таких заявлений и представляемых с ними документов в электронной форме, а также формы заявления о внесении в Единый государственный реестр недвижимости сведений о земельных участках и о местоположении на них зданий, сооружений, объектов незавершенного строительства, полученных в результате выполнения комплексных кадастровых работ»  «Требования к предоставлению в электронной форме государственных и муниципальных услуг»  Приказ 943 «Об установлении порядка ведения Единого государственного реестра недвижимости, формы специальной регистрационной надписи на документе, выражающем содержание сделки, состава сведений, включаемых в специальную регистрационную надпись на документе, выражающем содержание сделки, и требований к ее заполнению, а также требований к формату специальной регистрационной надписи на документе, выражающем содержание сделки, в электронной форме, порядка изменения в Едином государственном реестре недвижимости сведений о местоположении границ земельного участка при исправлении реестровой ошибки»  «Порядок и способы уведомления заявителей о ходе оказания услуги по осуществлению государственного кадастрового учета и (или) государственной регистрации прав» Приказ п/0515 «О наделении федерального государственного бюджетного учреждения "Федеральная кадастровая палата Федеральной службы государственной регистрации, кадастра и картографии" отдельными полномочиями органа регистрации прав» «Правила подачи и рассмотрения жалоб на решения и действия (бездействие) федеральных органов исполнительной власти и их должностных лиц, федеральных государственных служащих, должностных лиц государственных внебюджетных фондов Российской Федерации, государственных корпораций, наделенных в соответствии с федеральными законами полномочиями по предоставлению государственных услуг в установленной сфере деятельности, и их должностных лиц, организаций, предусмотренных частью 1.1 статьи 16 Федерального закона "Об организации предоставления государственных и муниципальных услуг", и их работников, а также многофункциональных центров предоставления государственных и муниципальных услуг и их работников»
|
                                                                                                                                                                   
|