Скачать ГОСТ Р 58064-2018 Трубы стальные сварные для строительных конструкций. Технические условия

Дата актуализации: 01.01.2021

ГОСТ Р 58064-2018

Трубы стальные сварные для строительных конструкций. Технические условия

Обозначение: ГОСТ Р 58064-2018
Обозначение англ: GOST R 58064-2018
Статус:введен впервые
Название рус.:Трубы стальные сварные для строительных конструкций. Технические условия
Название англ.:Steel welded pipes for building structure. Technical specifications
Дата добавления в базу:01.01.2019
Дата актуализации:01.01.2021
Дата введения:01.09.2018
Область применения:Стандарт распространяется на трубы стальные сварные, предназначенные для изготовления строительных конструкций, применяемых для сооружения различных объектов гражданского и промышленного назначения, работающих при температуре не выше 100 °С и не ниже минус 60 °С. Стандарт не распространяется на трубы, предназначенные для изготовления стальных конструкций мостов, транспортных тоннелей, а также на водопропускные трубы под насыпями автомобильных и железных дорог. В случаях применения труб в конструкциях, находящихся в особых условиях эксплуатации (например, конструкциях доменных печей; магистральных и технологических трубопроводов; резервуаров специального назначения; конструкциях зданий, подвергающихся сейсмическим воздействиям, интенсивным воздействиям температуры, радиации, агрессивных сред; конструкциях гидротехнических и мелиоративных сооружений), конструкциях уникальных зданий и сооружений, зданий атомных электростанций, а также специальных видах конструкций (например, предварительно напряженных, пространственных, висячих), следует соблюдать дополнительные требования, предусмотренные соответствующими нормативными документами, в которых отражены особенности работы этих конструкций.
Оглавление:1 Область применения
2 Нормативные ссылки
3 Термины и определения
4 Обозначения и сокращения
   4.1 Обозначения
   4.2 Сокращения
5 Сортамент
   5.1 Типы и состояние поставки
   5.2 Размеры
   5.3 Длина
   5.4 Классы прочности
   5.5 Категории
   5.6 Примеры условных обозначений
   5.7 Сведения, указываемые в заказе
6 Технические требования
   6.1 Способ производства
   6.2 Химический состав
   6.3 Механические свойства
   6.4 Технологические свойства
   6.5 Предельные отклонения размеров, длины и формы
   6.6 Параметры сварного соединения
   6.7 Качество поверхности
   6.8 Сплошность металла
   6.9 Отделка концов
   6.10 Маркировка и упаковка
7 Требования безопасности и охраны окружающей среды
8 Правила приемки
9 Методы контроля
10 Транспортирование и хранение
11 Гарантии изготовителя
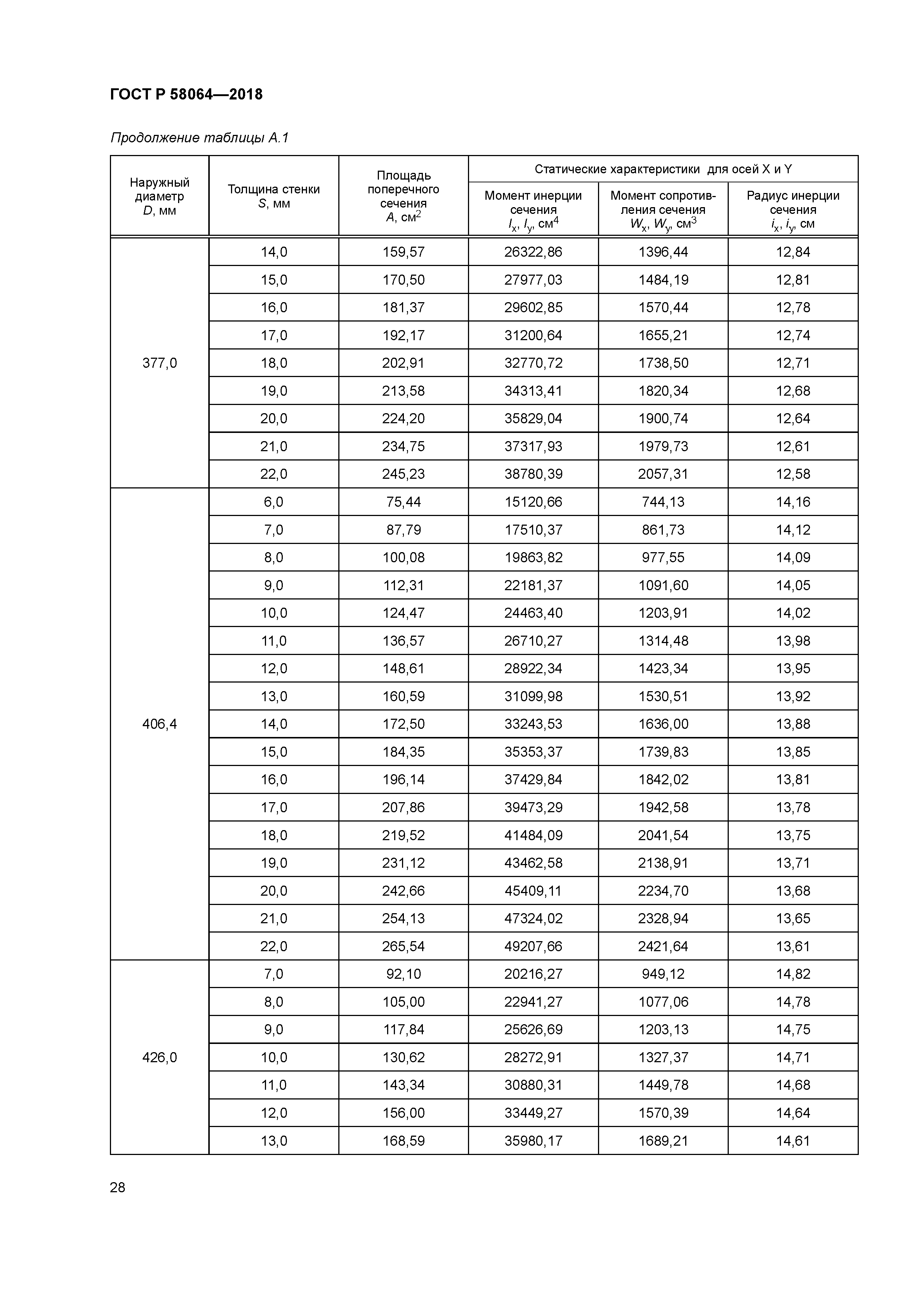
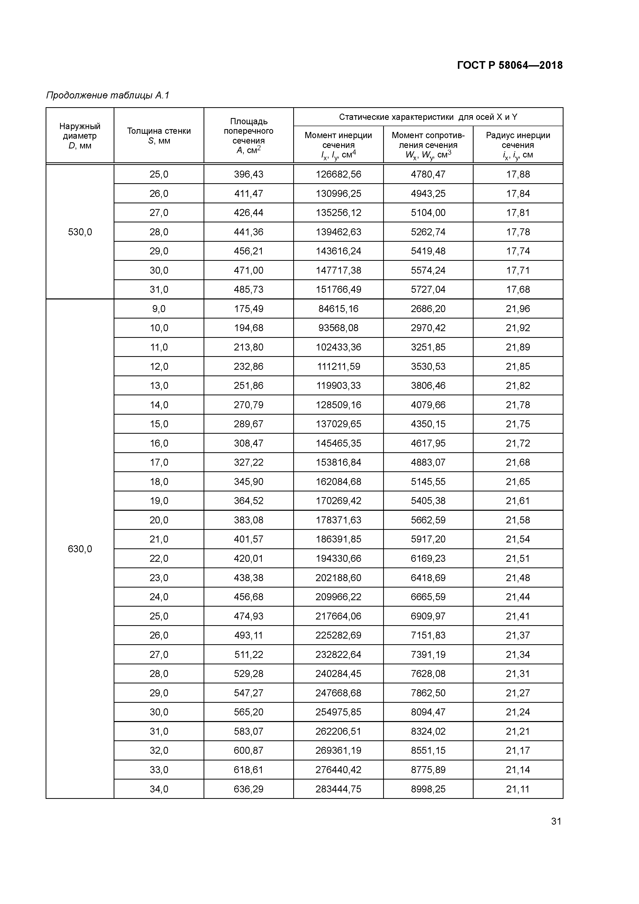
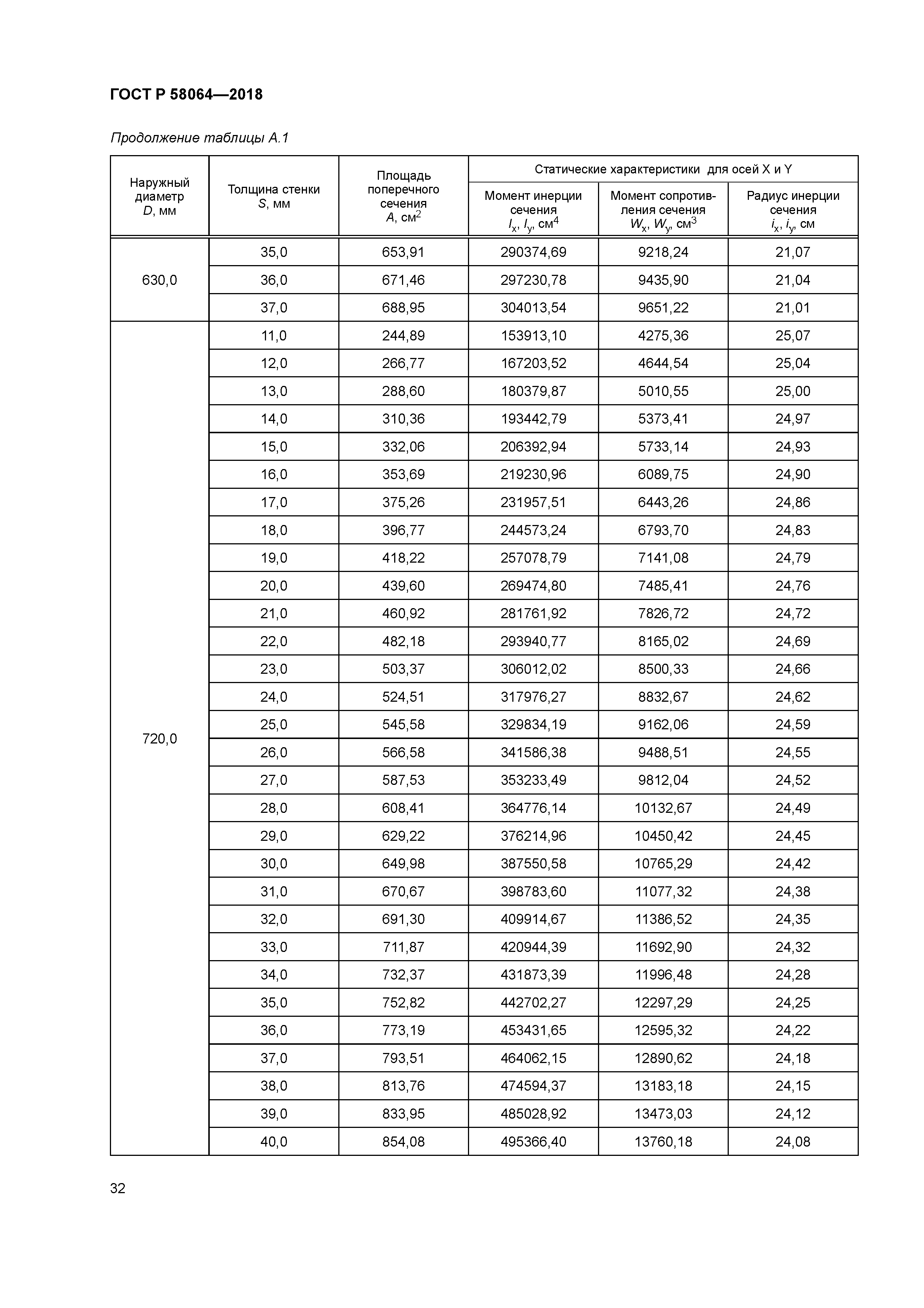
Приложение А (справочное) Статические характеристики труб
Приложение Б (обязательное) Ремонт сваркой сварных швов труб типов 2 и 3
Разработан: ЦНИИСК им. В.А. Кучеренко
ТК 357 Стальные и чугунные трубы и баллоны
ОАО РосНИТИ
Ассоциация развития стального строительства
Утверждён:30.01.2018 Федеральное агентство по техническому регулированию и метрологии (32-ст)
Издан: Стандартинформ (2018 г. )
Нормативные ссылки:
ГОСТ Р 58064-2018ГОСТ Р 58064-2018ГОСТ Р 58064-2018ГОСТ Р 58064-2018ГОСТ Р 58064-2018ГОСТ Р 58064-2018ГОСТ Р 58064-2018ГОСТ Р 58064-2018ГОСТ Р 58064-2018ГОСТ Р 58064-2018ГОСТ Р 58064-2018ГОСТ Р 58064-2018ГОСТ Р 58064-2018ГОСТ Р 58064-2018ГОСТ Р 58064-2018ГОСТ Р 58064-2018ГОСТ Р 58064-2018ГОСТ Р 58064-2018ГОСТ Р 58064-2018ГОСТ Р 58064-2018ГОСТ Р 58064-2018ГОСТ Р 58064-2018ГОСТ Р 58064-2018ГОСТ Р 58064-2018ГОСТ Р 58064-2018ГОСТ Р 58064-2018ГОСТ Р 58064-2018ГОСТ Р 58064-2018ГОСТ Р 58064-2018ГОСТ Р 58064-2018ГОСТ Р 58064-2018ГОСТ Р 58064-2018ГОСТ Р 58064-2018ГОСТ Р 58064-2018ГОСТ Р 58064-2018ГОСТ Р 58064-2018ГОСТ Р 58064-2018ГОСТ Р 58064-2018ГОСТ Р 58064-2018ГОСТ Р 58064-2018ГОСТ Р 58064-2018ГОСТ Р 58064-2018