Скачать ГОСТ Р 58083-2018 Информация и документация. Радиочастотная идентификация в библиотеках. Часть 4. Кодирование элементов данных на основе правил ИСО/МЭК 15962 в радиочастотной метке с раздельными банками памятиДата актуализации: 01.01.2021
|
| Обозначение: | ГОСТ Р 58083-2018 |
| Обозначение англ: | GOST R 58083-2018 |
| Статус: | введен впервые |
| Название рус.: | Информация и документация. Радиочастотная идентификация в библиотеках. Часть 4. Кодирование элементов данных на основе правил ИСО/МЭК 15962 в радиочастотной метке с раздельными банками памяти |
| Название англ.: | Information and documentation. RFID in libraries. Part 4. Encoding of data elements based on rules from ISO/IEC 15962 in an RFID tag with partitioned memory |
| Дата добавления в базу: | 01.01.2019 |
| Дата актуализации: | 01.01.2021 |
| Дата введения: | 01.03.2019 |
| Область применения: | Стандарт устанавливает правила для элементов данных согласно ИСО 28560-1, записанных в память радиочастотных меток со структурой памяти, разделенной на 4 банка памяти. В первую очередь эта часть относится к радиочастотным меткам по ИСО/МЭК 18000-63 (ранее известному, как ИСО/МЭК 18000-6 тип C), работающих в диапазоне ультравысоких частот (УВЧ, UHF), но не обязательно ограничивается указанной технологией. |
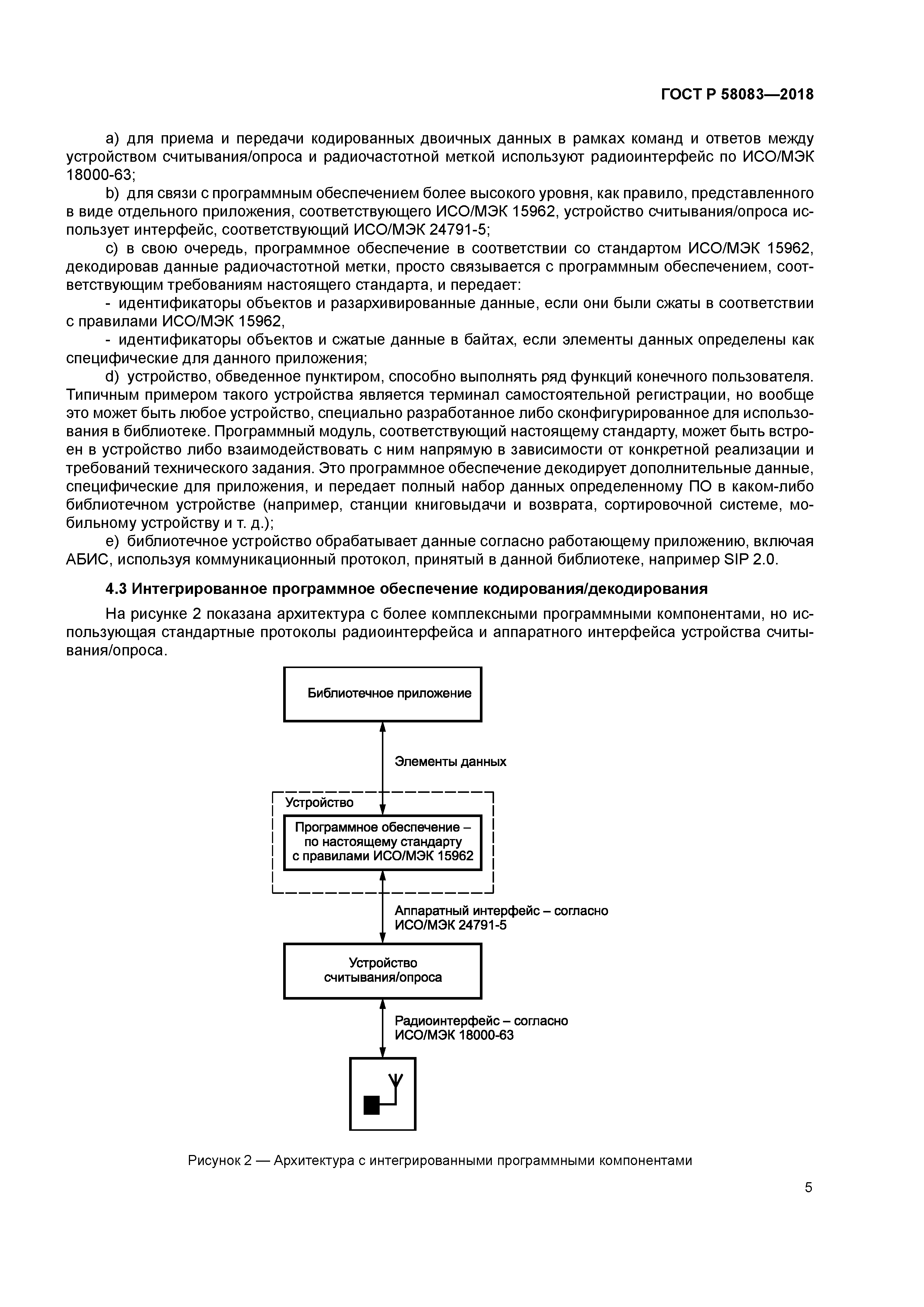
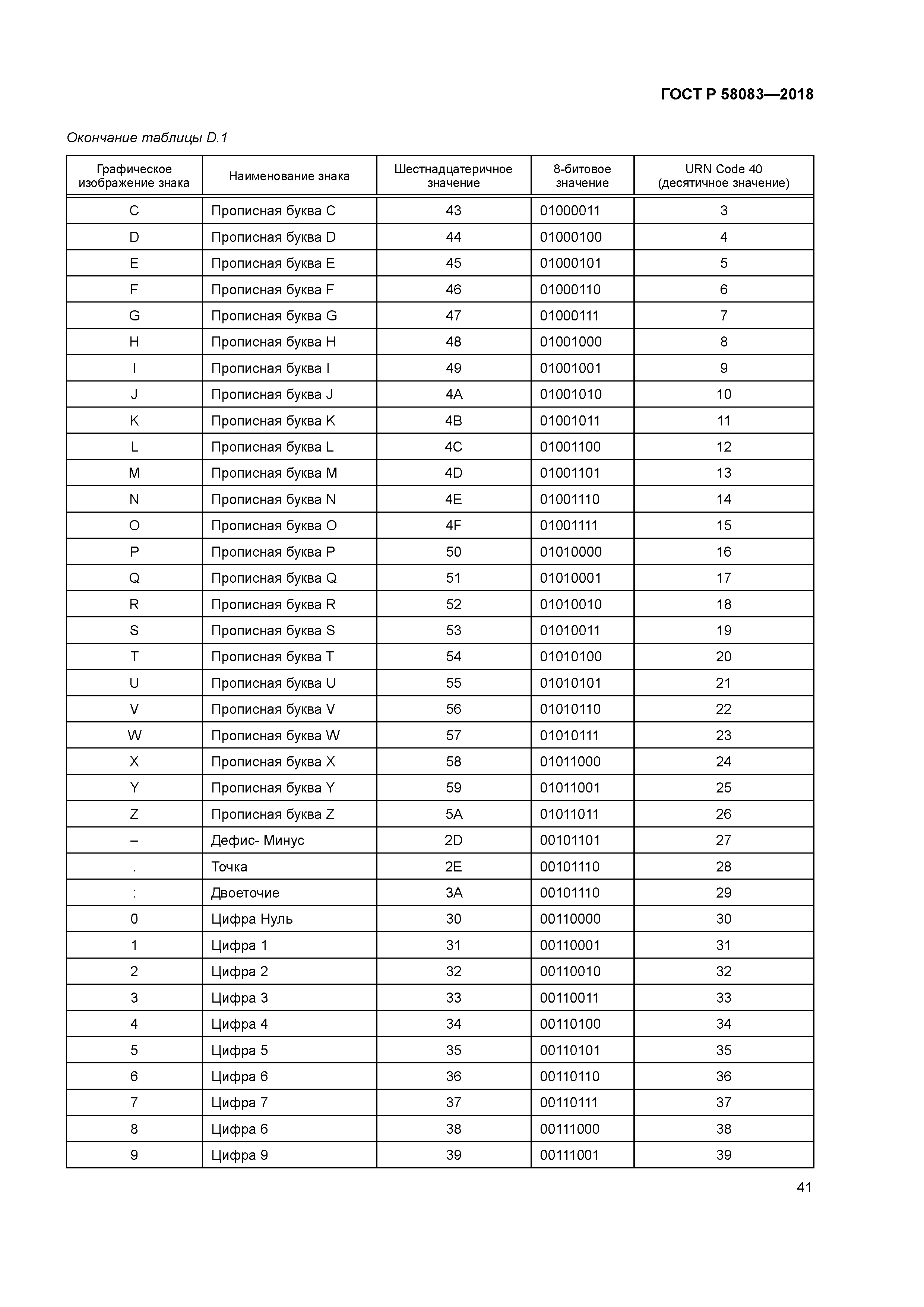
| Оглавление: | 1 Область применения 2 Нормативные ссылки 3 Термины и определения 4 Применимость и взаимосвязь с другими системами 4.1 Общие положения 4.2 Независимые типовые компоненты 4.3 Интегрированное программное обеспечение кодирования/декодирования 4.4 Устаревшая архитектура 5 Требования 5.1 Элементы данных 5.2 Радиоинтерфейс по ИСО/МЭК 18000-63 для диапазона ультравысоких частот (УВЧ) 5.3 Радиоинтерфейс радиочастотной идентификации: прочие протоколы радиоинтерфейса 5.4 Протокол данных 5.5 Устройства опроса (устройства считывания) радиочастотных меток 6 Элементы данных 6.1 Общие положения 6.2 Уникальный идентификатор предмета учета (UII) 6.3 Первичный идентификатор предмета учета 6.4 Параметр содержания 6.5 Организация-владелец 6.6 Информация о комплекте 6.7 Тип использования 6.8 Место хранения 6.9 Медиаформат ONIX 6.10 Медиаформат MARC 6.11 Идентификатор поставщика 6.12 Номер заказа 6.13 Организация-получатель по МБА 6.14 Учетный номер операции МБА 6.15 Идентификатор предмета торговли GS1 6.16 Альтернативный уникальный идентификатор предмета учета 6.17 Локально используемые данные 6.18 Наименование 6.19 Локальный идентификатор продукции 6.20 Медиаформат (другой) 6.21 Этап цепи поставки 6.22 Номер счета поставщика 6.23 Альтернативный идентификатор предмета учета 6.24 Альтернативный код библиотечной организации-владельца 6.25 Внутренний код подразделения библиотечной организации-владельца 6.26 Альтернативный код организации-получателя по МБА 6.27 Прочие зарезервированные элементы данных 7 Кодирование данных 7.1 Обзор протокола данных 7.2 Команды и ответы по ИСО/МЭК 15961-1 7.3 Правила кодирования по ИСО/МЭК 15962 для настоящего стандарта 8 Требования к радиочастотным меткам 8.1 Протокол радиоинтерфейса 8.2 Обязательные команды радиоинтерфейса 8.3 Соответствие радиоинтерфейсов 8.4 Эксплуатационные испытания 9 Целостность, безопасность и конфиденциальность данных 9.1 Целостность данных 9.2 Обеспечение безопасности предметов учета 9.3 Вопросы конфиденциальности 10 Проблемы реализации и миграции Приложение A (справочное) Информация об ИСО 28560-4 Радиочастотная идентификация в библиотеках)) Приложение B (обязательное) Команды приложений, соответствующие ИСО/МЭК 15961-1 Приложение C (обязательное) Процедура блокировки БП 01 с кодированием БП 11 Приложение D (обязательное) Мономорфный уникальный идентификатор предмета учета и кодирование в URN Code 40 Приложение E (справочное) Примеры кодирования Приложение F (рекомендуемое) Внедрение и перенос Приложение ДА (справочное) Сведения о соответствии ссылочных международных стандартов национальным стандартам Российской Федерации Библиография |
| Разработан: | Ассоциация автоматической идентификации ЮНИСКАН/ГС1 РУС ООО РСТ-ИНВЕНТ ФГБУН Всероссийский институт научной и технической информации Российской академии наук ТК 355 Технологии автоматической идентификации и сбора данных |
| Утверждён: | 02.03.2018 Федеральное агентство по техническому регулированию и метрологии (115-ст) |
| Издан: | Стандартинформ (2018 г. ) |
| Нормативные ссылки: |
|






















































