Скачать ГОСТ 30894-2003 Оборудование устьевое добычное. Общие технические требования

Дата актуализации: 01.01.2021

ГОСТ 30894-2003

Оборудование устьевое добычное. Общие технические требования

Обозначение: ГОСТ 30894-2003
Обозначение англ: GOST 30894-2003
Статус:применяется в еаэс
Название рус.:Оборудование устьевое добычное. Общие технические требования
Название англ.:Wellhead Equipment. General Technical Requirements
Дата добавления в базу:01.01.2019
Дата актуализации:01.01.2021
Дата введения:01.08.2009
Область применения:Стандарт распространяется на устьевое добычное оборудование, включающее фонтанные, насосные и нагнетательные арматуры, а также устьевые колонные обвязки (далее — оборудование), и устанавливает общие требования к изготовлению составных частей этого оборудования. Стандарт не распространяется на двух- и более ствольные устьевые арматуры, на арматуру для добычи и нагнетания теплоносителя, а также на подводное устьевое оборудование. Требования к изготовлению оборудования конкретного вида, не установленные настоящим стандартом, должны быть приведены в стандартах и технических условиях на это оборудование.
Оглавление:Введение
1 Область применения
2 Нормативные ссылки
3 Термины, определения и обозначения
4 Основные параметры и размеры
5 Технические требования
   5.1 Характеристики
   5.2 Комплектность
   5.3 Маркировка
   5.4 Упаковка
   5.5 Требования безопасности
Приложение А (справочное) Сведения о соответствии настоящего стандарта стандарту API Spec 6A
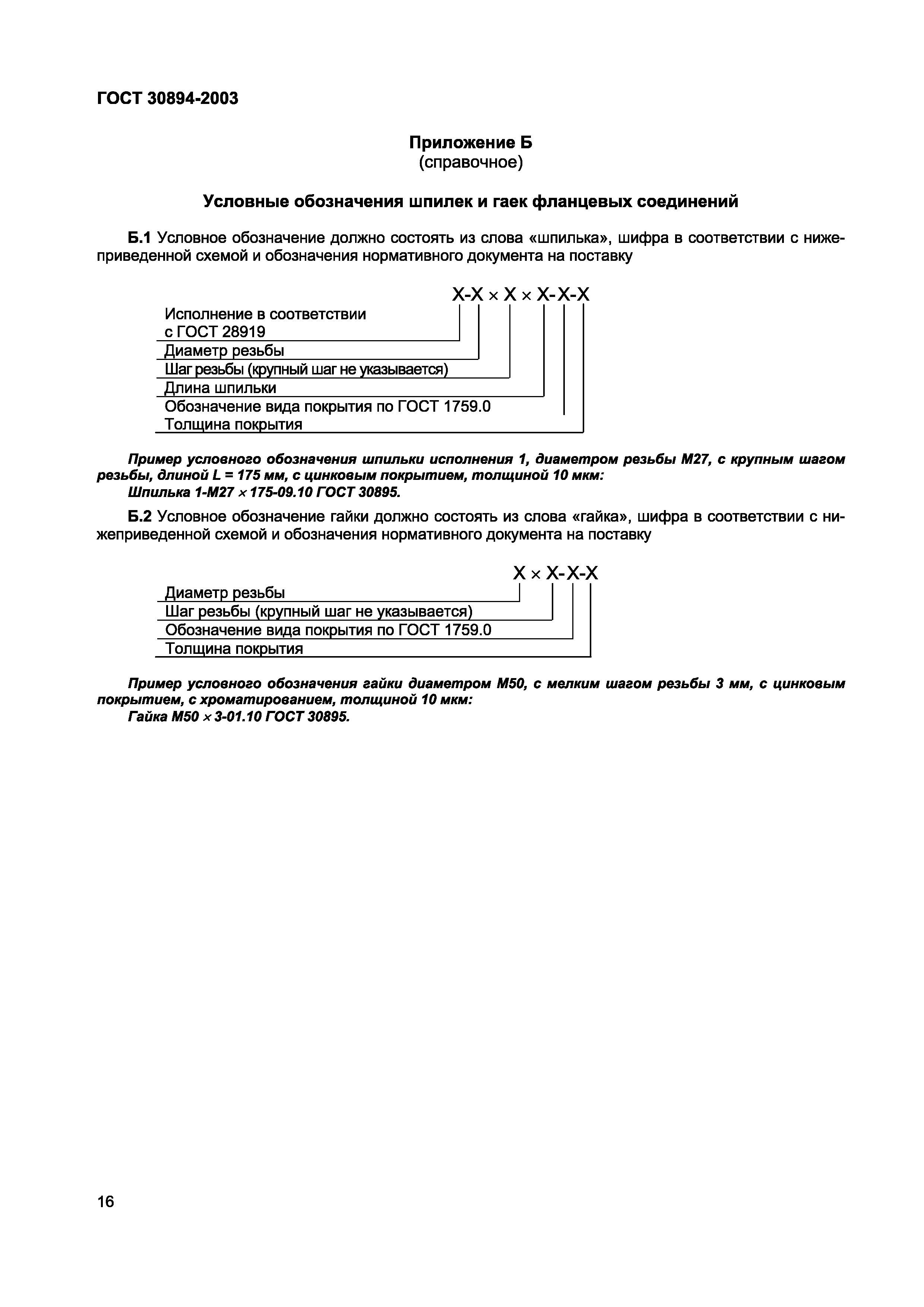
Приложение Б (справочное) Условные обозначения шпилек и гаек фланцевых соединений
Приложение В (рекомендуемое) Рекомендуемые размеры и формы кромок свариваемых деталей
Приложение Г (справочное) Размеры предназначенных для наплавки канавок под прокладки
Приложение Д (справочное) Библиография
Разработан: Азербайджанский научно-исследовательский и проектно-конструкторский институт нефтяного машиностроения (АзИНМАШ)
Утверждён:20.02.2009 Госстандарт Республики Беларусь (8)
22.05.2003 Евразийский совет по стандартизации, метрологии и сертификации (23)
Издан: БелГИСС (2009 г. )
Нормативные ссылки:
ГОСТ 30894-2003ГОСТ 30894-2003ГОСТ 30894-2003ГОСТ 30894-2003ГОСТ 30894-2003ГОСТ 30894-2003ГОСТ 30894-2003ГОСТ 30894-2003ГОСТ 30894-2003ГОСТ 30894-2003ГОСТ 30894-2003ГОСТ 30894-2003ГОСТ 30894-2003ГОСТ 30894-2003ГОСТ 30894-2003ГОСТ 30894-2003ГОСТ 30894-2003ГОСТ 30894-2003ГОСТ 30894-2003ГОСТ 30894-2003ГОСТ 30894-2003ГОСТ 30894-2003ГОСТ 30894-2003ГОСТ 30894-2003ГОСТ 30894-2003ГОСТ 30894-2003