Скачать Административный регламент Федеральной антимонопольной службы по исполнению государственной функции по осуществлению государственного контроля за экономической концентрацией в области использования водных объектовДата актуализации: 01.01.2021 |
| Статус: | действует |
| Название рус.: | Административный регламент Федеральной антимонопольной службы по исполнению государственной функции по осуществлению государственного контроля за экономической концентрацией в области использования водных объектов |
| Дата добавления в базу: | 01.01.2019 |
| Дата актуализации: | 01.01.2021 |
| Дата введения: | 09.04.2016 |
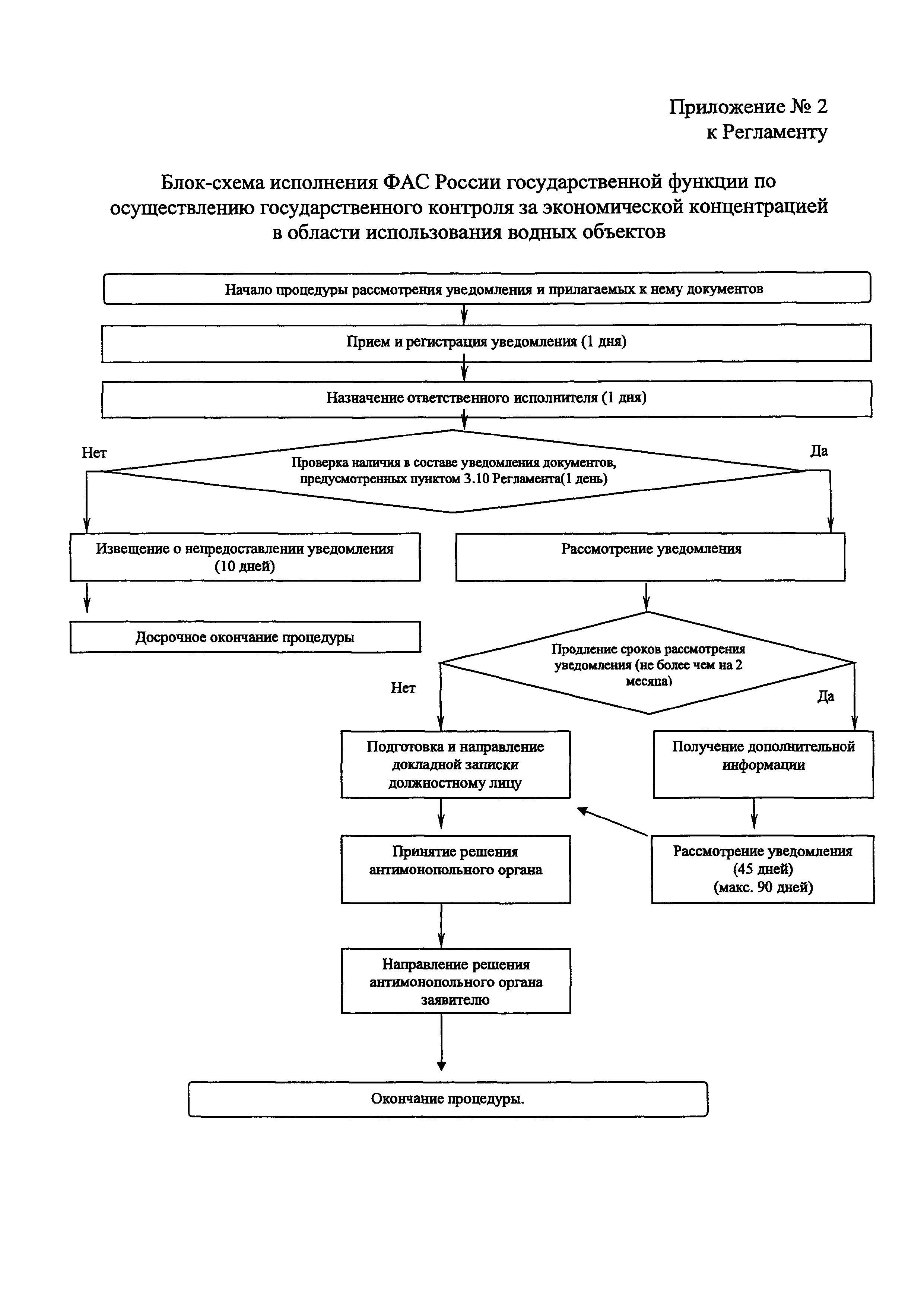
| Оглавление: | I. Общие положения II. Требования к порядку исполнения государственной функции III. Состав, последовательность и сроки выполнения административных процедур (действий), требования к порядку их выполнения, в том числе особенности выполнения административных процедур (действий) в электронной форме IV. Порядок и формы контроля за исполнением государственной функции V. Досудебный (внесудебный) порядок обжалования действий (бездействия) антимонопольного органа, а также должностных лиц ФАС России Приложение № 1. Перечень территориальных органов ФАС России, исполняющих государственную функцию Приложение № 2. Блок-схема исполнения ФАС России государственной функции по осуществлению государственного контроля за экономической концентрацией в области использования водных объектов Приложение № 3. Сведения об основных показателях хозяйственной деятельности, основных покупателях (потребителях) продукции, работ (услуг), а также о закупках продукции, работ (услуг), сырья и комплектующих Форма № 1. Сведения об основных характеристиках водного объекта Форма № 2. Сведения об основных показателях хозяйственной деятельности, об основных покупателях (потребителях) продукции (работ, услуг), о закупках продукции (работ, услуг), сырья и комплектующих |
| Утверждён: | 25.01.2016 Федеральная антимонопольная служба России (187/16) |
| Издан: | Официальный интернет-портал правовой информации (www.pravo.gov.ru) (от 29.03.2016 г. Номер опубликования: 0001201603290002) |
| Нормативные ссылки: |
|


























































