Скачать ГОСТ Р 58143-2018 Информационная технология. Методы и средства обеспечения безопасности. Детализация анализа уязвимостей программного обеспечения в соответствии с ГОСТ Р ИСО/МЭК 15408 и ГОСТ Р ИСО/МЭК 18045. Часть 2. Тестирование проникновенияДата актуализации: 01.01.2021
|
| Обозначение: | ГОСТ Р 58143-2018 |
| Обозначение англ: | GOST R 58143-2018 |
| Статус: | введен впервые |
| Название рус.: | Информационная технология. Методы и средства обеспечения безопасности. Детализация анализа уязвимостей программного обеспечения в соответствии с ГОСТ Р ИСО/МЭК 15408 и ГОСТ Р ИСО/МЭК 18045. Часть 2. Тестирование проникновения |
| Название англ.: | Information technology. Security techniques. Refining software vulnerability analysis under GOST R ISO/IEC 15408 and GOST R ISO/IEC 18045. Part 2. Penetration testing |
| Дата добавления в базу: | 01.01.2019 |
| Дата актуализации: | 01.01.2021 |
| Дата введения: | 01.11.2018 |
| Область применения: | Стандарт содержит руководство по планированию, выполнению и составлению отчетности тестирования проникновения объекта оценки на базе требований «Анализ уязвимостей» из ГОСТ Р ИСО/МЭК 15408 и ГОСТ Р ИСО/МЭК 18045. В частности, данный стандарт уточняет действия по тестированию проникновения, предусмотренные компонентами требований доверия к безопасности из семейства доверия AVA_VAN «Анализ уязвимостей» и описанные в ГОСТ Р ИСО/МЭК 18045, и обеспечивает более полное руководство по их выполнению. Стандарт включает процесс-ориентированное руководство и процедуры тестирования, необходимые для получения согласованных воспроизводимых результатов при идентификации, оценке и описании уязвимостей. |
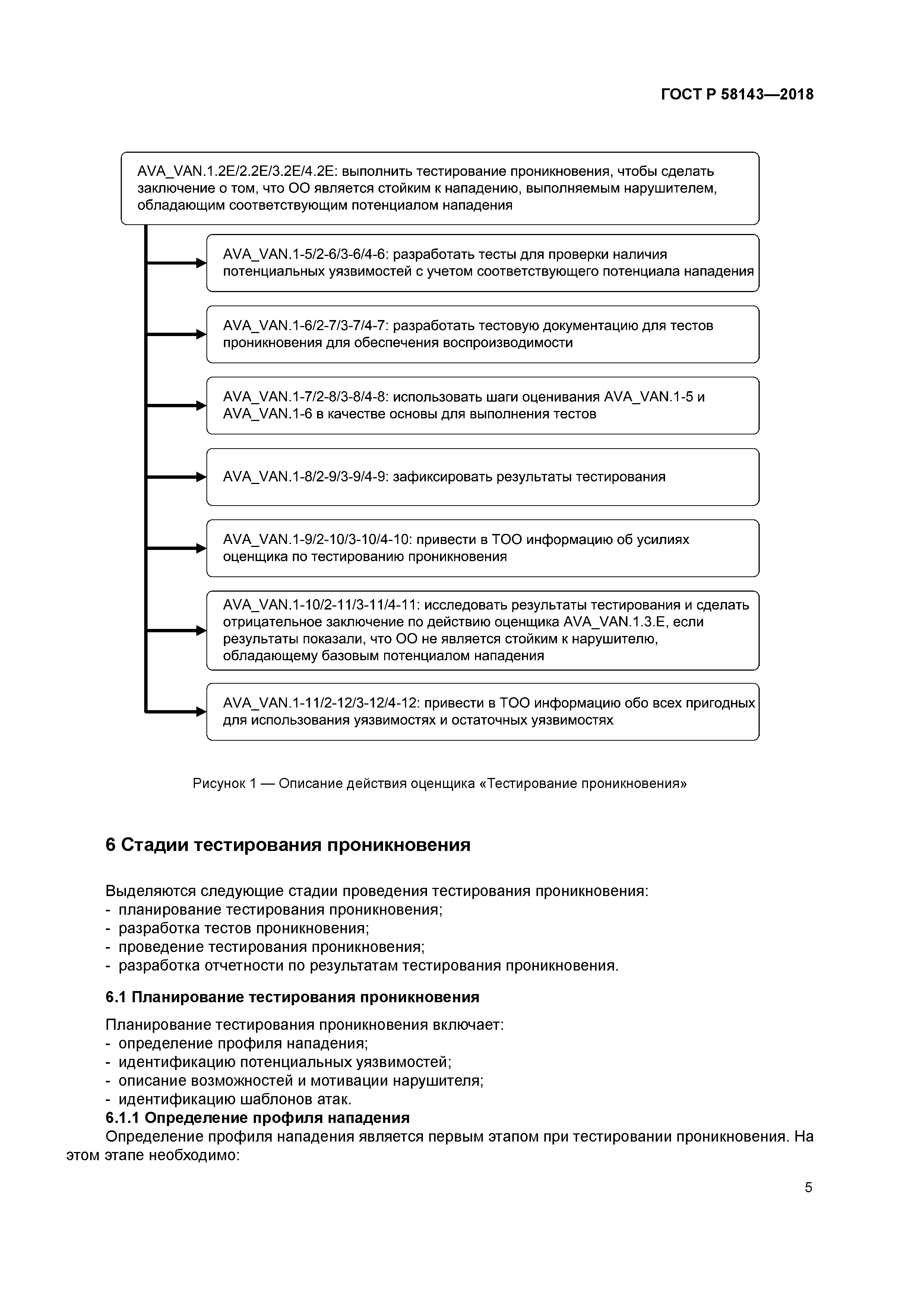
| Оглавление: | 1 Область применения 2 Нормативные ссылки 3 Термины и определения 4 Обозначения и сокращения 5 Общие положения 6 Стадии тестирования проникновения 7 Действия по тестированию проникновения |
| Разработан: | ООО ЦБИ |
| Утверждён: | 24.05.2018 Федеральное агентство по техническому регулированию и метрологии (274-ст) |
| Издан: | Стандартинформ (2018 г. ) |
| Нормативные ссылки: |
|





















