Скачать ГОСТ Р 58142-2018 Информационная технология. Методы и средства обеспечения безопасности. Детализация анализа уязвимостей программного обеспечения в соответствии с ГОСТ Р ИСО/МЭК 15408 и ГОСТ Р ИСО/МЭК 18045. Часть 1. Использование доступных источников для идентификации потенциальных уязвимостейДата актуализации: 01.01.2021
|
| Обозначение: | ГОСТ Р 58142-2018 |
| Обозначение англ: | GOST R 58142-2018 |
| Статус: | введен впервые |
| Название рус.: | Информационная технология. Методы и средства обеспечения безопасности. Детализация анализа уязвимостей программного обеспечения в соответствии с ГОСТ Р ИСО/МЭК 15408 и ГОСТ Р ИСО/МЭК 18045. Часть 1. Использование доступных источников для идентификации потенциальных уязвимостей |
| Название англ.: | Information technology. Security techniques. Refining software vulnerability analysis under GOST R ISO/IEC 15408 and GOST R ISO/IEC 18045. Part 1. Using of available information for identification of potential vulnerabilities |
| Дата добавления в базу: | 01.01.2019 |
| Дата актуализации: | 01.01.2021 |
| Дата введения: | 01.11.2018 |
| Область применения: | Стандарт уточняет действия оценщика, определенные семейством доверия AVA_VAN ГОСТ Р ИСО/МЭК 18045, и представляет детализированное руководство по идентификации актуальных потенциальных уязвимостей при проведении оценки объекта оценки в соответствии с ГОСТ Р ИСО/МЭК 15408. В стандарте используется классификация уязвимостей в соответствии с ГОСТ Р 56546 и описание уязвимостей в соответствии с ГОСТ Р 56545. |
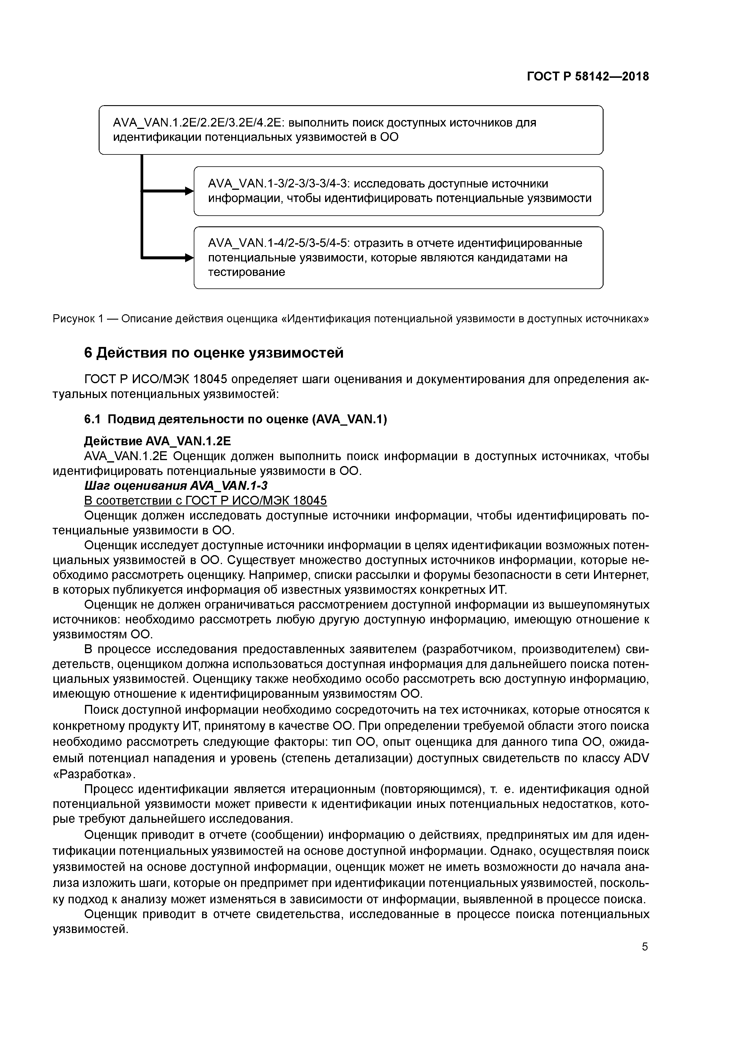
| Оглавление: | 1 Область применения 2 Нормативные ссылки 3 Термины и определения 4 Обозначения и сокращения 5 Общие положения 6 Действия по оценке уязвимостей |
| Разработан: | ООО ЦБИ |
| Утверждён: | 24.05.2018 Федеральное агентство по техническому регулированию и метрологии (273-ст) |
| Издан: | Стандартинформ (2018 г. ) |
| Нормативные ссылки: |
|















