Скачать ГОСТ Р 58127-2018 Проволока стальная для механических пружин. Проволока пружинная из нержавеющей сталиДата актуализации: 01.01.2021
|
| Обозначение: | ГОСТ Р 58127-2018 |
| Обозначение англ: | GOST R 58127-2018 |
| Статус: | введен впервые |
| Название рус.: | Проволока стальная для механических пружин. Проволока пружинная из нержавеющей стали |
| Название англ.: | Steel wire for mechanical springs. Stainless spring steel wire |
| Дата добавления в базу: | 01.01.2019 |
| Дата актуализации: | 01.01.2021 |
| Дата введения: | 01.01.2019 |
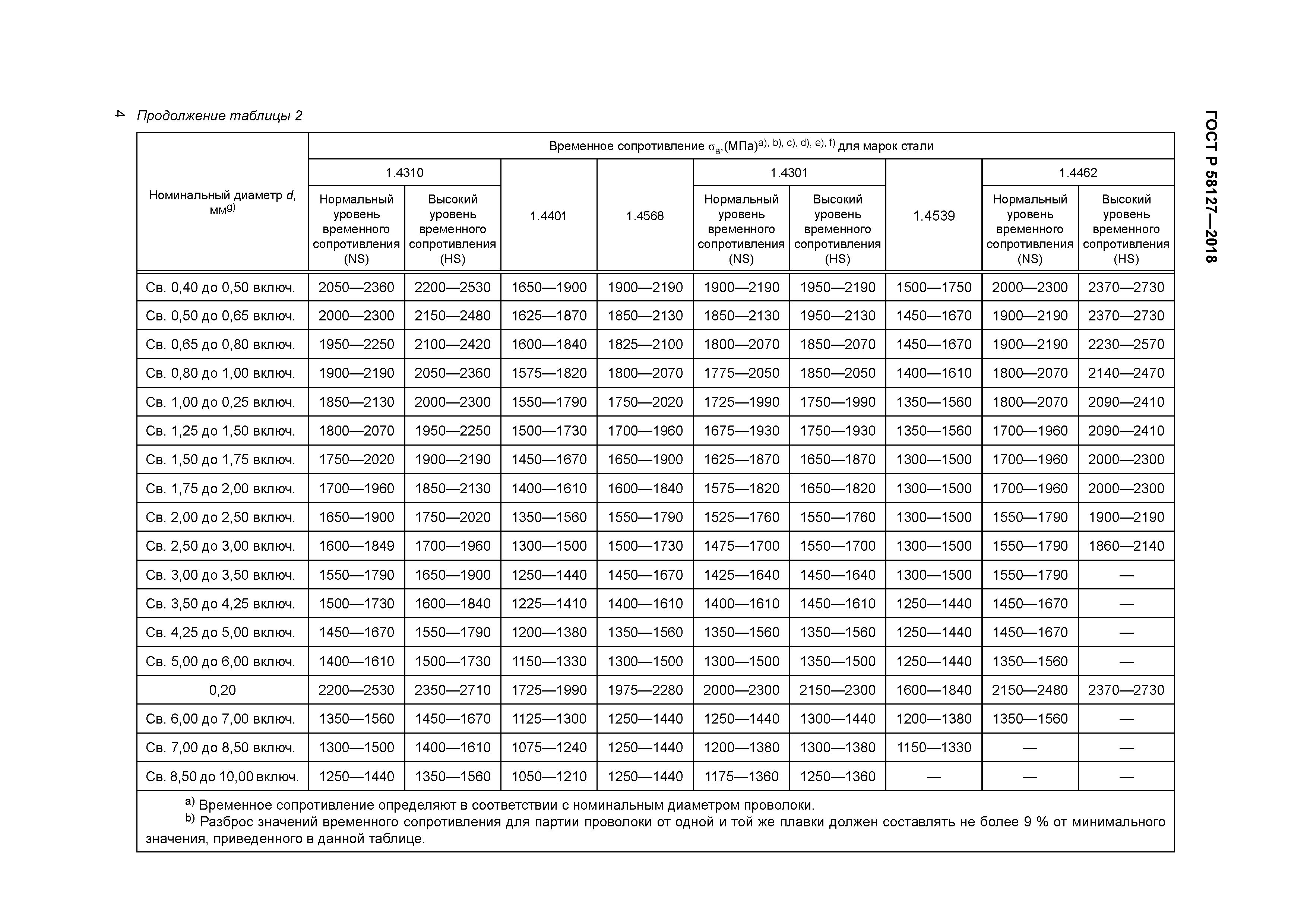
| Область применения: | Стандарт распространяется на холоднотянутую проволоку круглого сечения диаметром до 10,00 мм включительно, изготовленную из нержавеющей стали. Данная проволока используется для производства пружин и пружинных изделий, предназначенных для эксплуатации в условиях коррозионного воздействия и при повышенных температурах. |
| Оглавление: | 1 Область применения 2 Нормативные ссылки 3 Информация, предоставляемая заказчиком 4 Технические требования 4.1 Требования к производству 4.2 Форма поставки 4.3 Обработка поверхности 4.4 Химический состав 4.5 Механические свойства 4.6 Технологические свойства 4.7 Условия поставки проволоки в мотках и катушках 4.8 Качество поверхности 4.9 Внутренние дефекты 4.10 Размеры и допуски на размеры 5 Испытания и контроль 5.1 Контроль качества и документы о приемочном контроле 5.2 Испытания с целью контроля качества 5.3 Отбор образцов 5.4 Методы испытаний 5.5 Повторные испытания 6 Маркировка и упаковка Приложение А (справочное) дополнительная информация Приложение В (справочное) Сопоставление обозначение марок стали Приложение ДА (справочное) Сведения о соответствии ссылочных национальных стандартов международным стандартам, использованным в качестве ссылочных в примененном европейском стандарте Библиография |
| Разработан: | ФГУП ВНИИ СМТ |
| Утверждён: | 15.06.2018 Федеральное агентство по техническому регулированию и метрологии (347-ст) |
| Издан: | Стандартинформ (2018 г. ) |
| Нормативные ссылки: |























