Скачать ГОСТ 3916.1-2018 Фанера общего назначения с наружными слоями из шпона лиственных пород. Технические условия

Дата актуализации: 01.01.2021

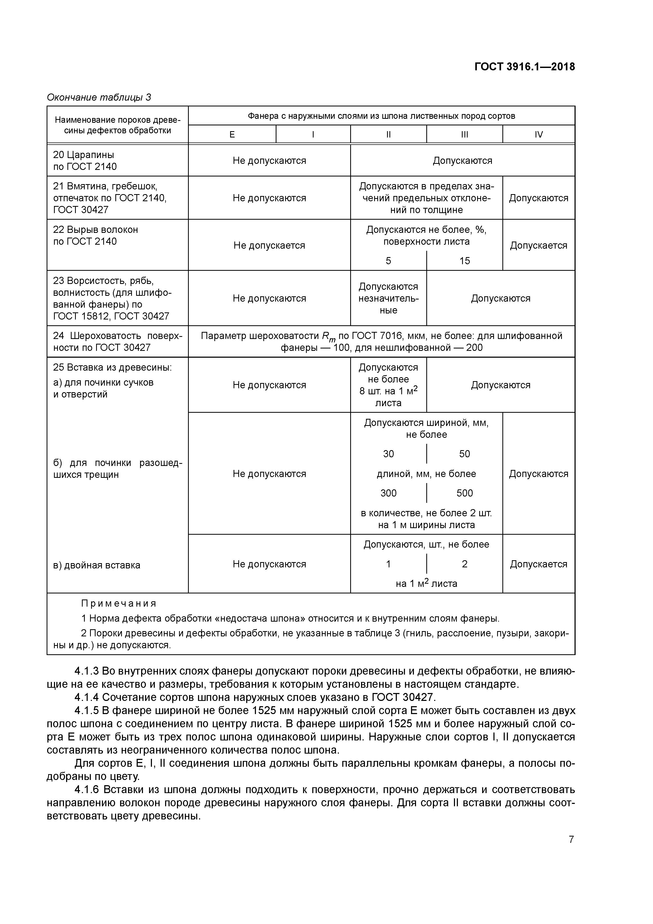
ГОСТ 3916.1-2018

Фанера общего назначения с наружными слоями из шпона лиственных пород. Технические условия

Обозначение: ГОСТ 3916.1-2018
Обозначение англ: GOST 3916.1-2018
Статус:взамен
Название рус.:Фанера общего назначения с наружными слоями из шпона лиственных пород. Технические условия
Название англ.:Plywood for general use with outer layers of deciduous veneer. Specifications
Дата добавления в базу:01.01.2019
Дата актуализации:01.01.2021
Дата введения:01.04.2019
Область применения:Стандарт распространяется на фанеру общего назначения с наружными слоями из шпона лиственных пород древесины. Стандарт не распространяется на фанеру специального назначения и облицованную.
Оглавление:1 Область применения
2 Нормативные ссылки
3 Классификация и размеры
4 Технические требования
5 Требования безопасности и охрана окружающей среды
6 Правила приемки
7 Методы контроля
8 Транспортирование и хранение
9 Гарантия изготовителя
Приложение А (рекомендуемое) Минимальное количество образцов для физико-механических испытаний фанеры и оценка результатов испытаний
Приложение Б (обязательное) Определение коэффициента сопротивления диффузии водяного пара при испытании фанеры в сухих и влажных средах
Приложение В (обязательное) Определение биологической стойкости фанеры
Разработан: ТК 121 Плиты древесные
Утверждён:30.05.2018 Межгосударственный Совет по стандартизации, метрологии и сертификации (Inter-Governmental Council on Standardization, Metrology, and Certification 109-П)
27.06.2018 Федеральное агентство по техническому регулированию и метрологии (359-ст)
Издан: Стандартинформ (2018 г. )
Стандартинформ (2019 г. )
Список изменений:
Заменяет собой:
Нормативные ссылки:
ГОСТ 3916.1-2018ГОСТ 3916.1-2018ГОСТ 3916.1-2018ГОСТ 3916.1-2018ГОСТ 3916.1-2018ГОСТ 3916.1-2018ГОСТ 3916.1-2018ГОСТ 3916.1-2018ГОСТ 3916.1-2018ГОСТ 3916.1-2018ГОСТ 3916.1-2018ГОСТ 3916.1-2018ГОСТ 3916.1-2018ГОСТ 3916.1-2018ГОСТ 3916.1-2018ГОСТ 3916.1-2018ГОСТ 3916.1-2018ГОСТ 3916.1-2018ГОСТ 3916.1-2018ГОСТ 3916.1-2018ГОСТ 3916.1-2018ГОСТ 3916.1-2018ГОСТ 3916.1-2018ГОСТ 3916.1-2018

Текстовое изменение Поправка от 06.12.2019

Поправка