Скачать ГОСТ Р ИСО/МЭК 24767-2-2018 Информационные технологии. Безопасность домашней сети. Часть 2. Внутренние службы безопасности. Безопасный протокол связи для связующего программного обеспечения (SCPM)Дата актуализации: 01.01.2021
|
| Обозначение: | ГОСТ Р ИСО/МЭК 24767-2-2018 |
| Обозначение англ: | GOST R ISO/IEC 24767-2-2018 |
| Статус: | введен впервые |
| Название рус.: | Информационные технологии. Безопасность домашней сети. Часть 2. Внутренние службы безопасности. Безопасный протокол связи для связующего программного обеспечения (SCPM) |
| Название англ.: | Information technology. Home network security. Part 2. Internal security services. Secure communication protocol for middleware (SCPM) |
| Дата добавления в базу: | 01.01.2019 |
| Дата актуализации: | 01.01.2021 |
| Дата введения: | 01.02.2019 |
| Область применения: | Стандарт описывает безопасность оборудования с ограниченными возможностями с точки зрения применения информационных технологий в домашних сетях. Безопасный протокол связи для связующего программного обеспечения (SCPM) прежде всего разработан для поддержки сетевой безопасности оборудования, не поддерживающего протоколы интернет-безопасности, такие как IPsec или SSL/TLS. Несмотря на то, что данный протокол разработан для незащищенной передачи, он также может использоваться для других типов передачи данных. Разумеется качественный уровень служб безопасности протокола SCPM не соответствует уровню протоколов интернет-безопасности, но обеспечивает безопасное подключение такого промежуточного программного обеспечения в рамках домашней сети. |
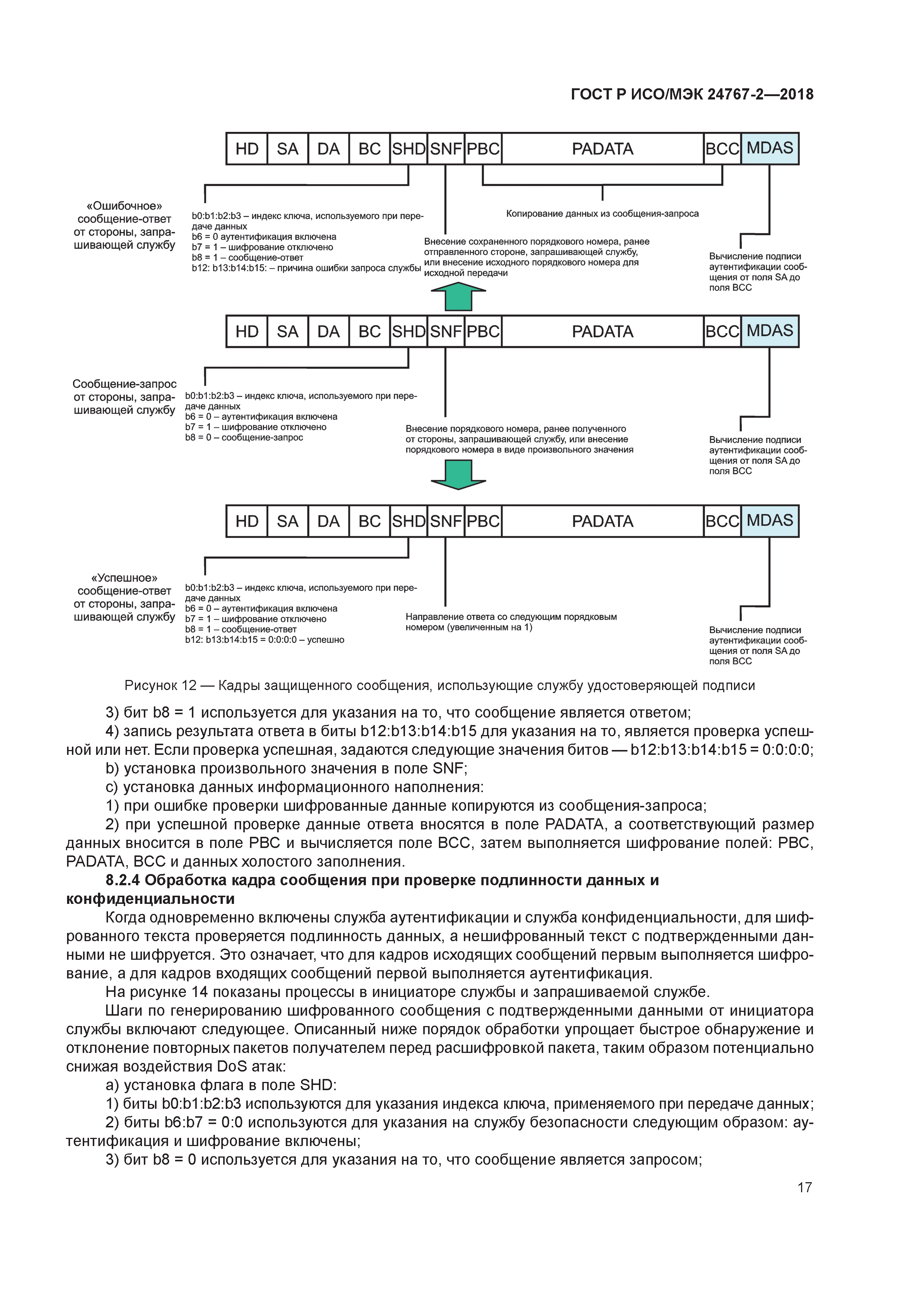
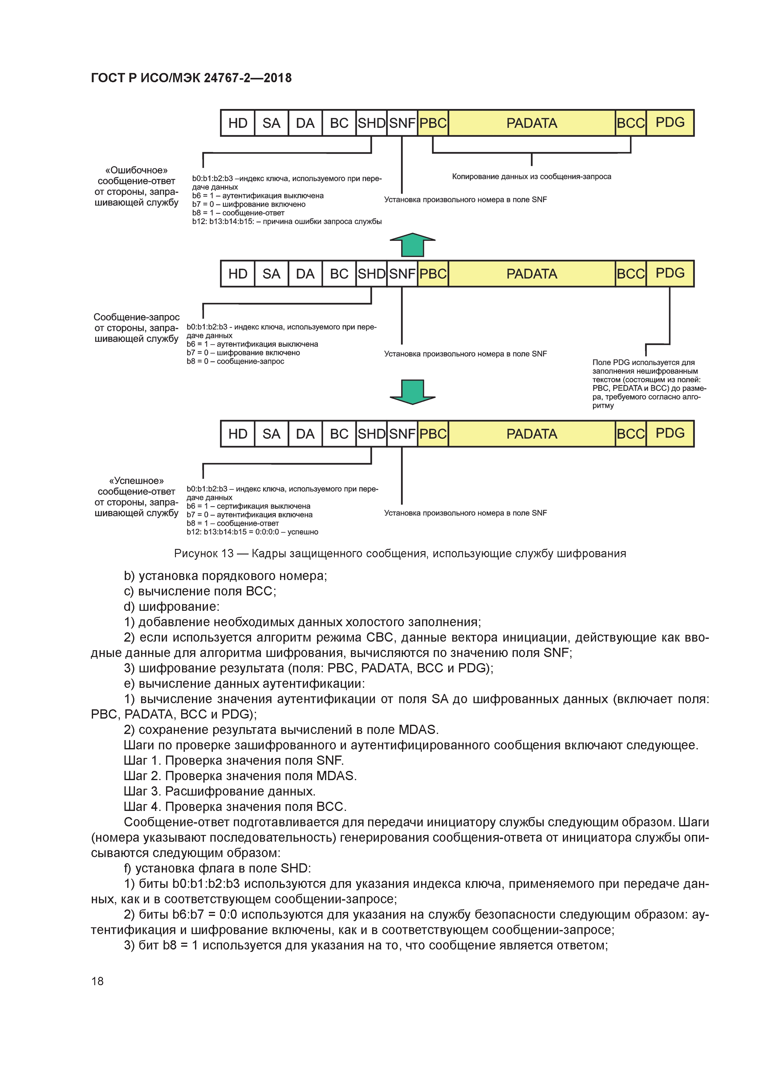
| Оглавление: | 1 Область применения 2 Нормативные ссылки 3 Термины, определения и сокращения 3.1 Термины и определения 3.2 Сокращения 4 Соответствие 5 Проектные решения внутренних служб безопасности для домашних сетей 5.1 Общие положения 5.2 Вопросы, связанные с безопасностью 5.2.1 Общие положения 5.2.2 Небезопасная передача 5.2.3 Намеренно неправильное использование 5.3 Принципы разработки мер безопасности 5.3.1 Общие положения 5.3.2 Минимизация ресурсов для экономии расходов 5.3.3 Независимость коммуникационной среды 5.3.4 Независимость криптографических алгоритмов 5.3.5 Расширяемость вариантов использования широкополосных подключений 6 Безопасный протокол связи для связующего программного обеспечения (SCPM) 6.1 Общие положения 6.2 Суть протокола SCPM 6.3 Принципы работы протокола SCPM 6.4 Где реализуется протокол SCPM 6.5 Уровни применения протокола SCPM 6.6 Ключи применения протокола SCPM 7 Формат кадра защищенного сообщения 7.1 Общий кадр передачи данных 7.1.1 Общие положения 7.1.2 Заголовок кадра (HD) 7.1.3 Адрес источника (SA) и адрес назначения (DA) 7.1.4 Счетчик байтов (BC) 7.1.5 Данные приложения (ADATA) 7.2 Структура защищенного кадра 7.2.1 Общие положения 7.2.2 Защищенный заголовок (SHD) 7.2.3 Поле порядкового номера (SNF) 7.2.4 Счетчик байтов незашифрованной текстовой части данных (PBC) 7.2.5 Незашифрованные текстовые данные приложения (PADATA) 7.2.6 Код проверки блоков (BCC) 7.2.7 Холостое заполнение (PDG) 7.2.8 Подпись проверки подлинности данных сообщения (MDAS) 8 Реализация протокола SCPM 8.1 Алгоритмы и обработка данных 8.1.1 Общие положения 8.1.2 Криптографические алгоритмы и криптовычисления 8.1.3 Алгоритмы аутентификации и вычисление данных аутентификации 8.1.4 Режим сцепления блоков шифртекста (CBC) 8.1.5 Инициализация и проверка значения поля SNF 8.1.6 Вычисление значения вектора инициализации (IV) 8.2 Обработка кадра защищенного сообщения 8.2.1 Общие положения 8.2.2 Обработка кадра сообщения только при проверке подлинности данных 8.2.3 Обработка кадра сообщения только в режиме конфиденциальности 8.2.4 Обработка кадра сообщения при проверке подлинности данных и конфиденциальности 9 Управление ключами 9.1 Общие положения 9.2 Инициализация ключей 9.2.1 Инициализация ключа пользователя 9.2.2 Инициализация ключа провайдера услуг 9.2.3 Инициализация ключа изготовителя 9.3 Обновление мастер-ключа 9.3.1 Обновление мастер-ключа между узлом KSN и устройством 9.3.2 Синхронизация ключа 9.3.3 Запрос на обновление мастер-ключа от устройства Приложение А (справочное) Авторизация узла установки ключа Приложение ДА (справочное) Сведения о соответствии ссылочного международного стандарта национальному стандарту Российской Федерации Библиография |
| Разработан: | ФГБОУ ВО РЭУ им. Г.В. Плеханова |
| Утверждён: | 04.09.2018 Федеральное агентство по техническому регулированию и метрологии (558-ст) |
| Издан: | Стандартинформ (2018 г. ) |








































