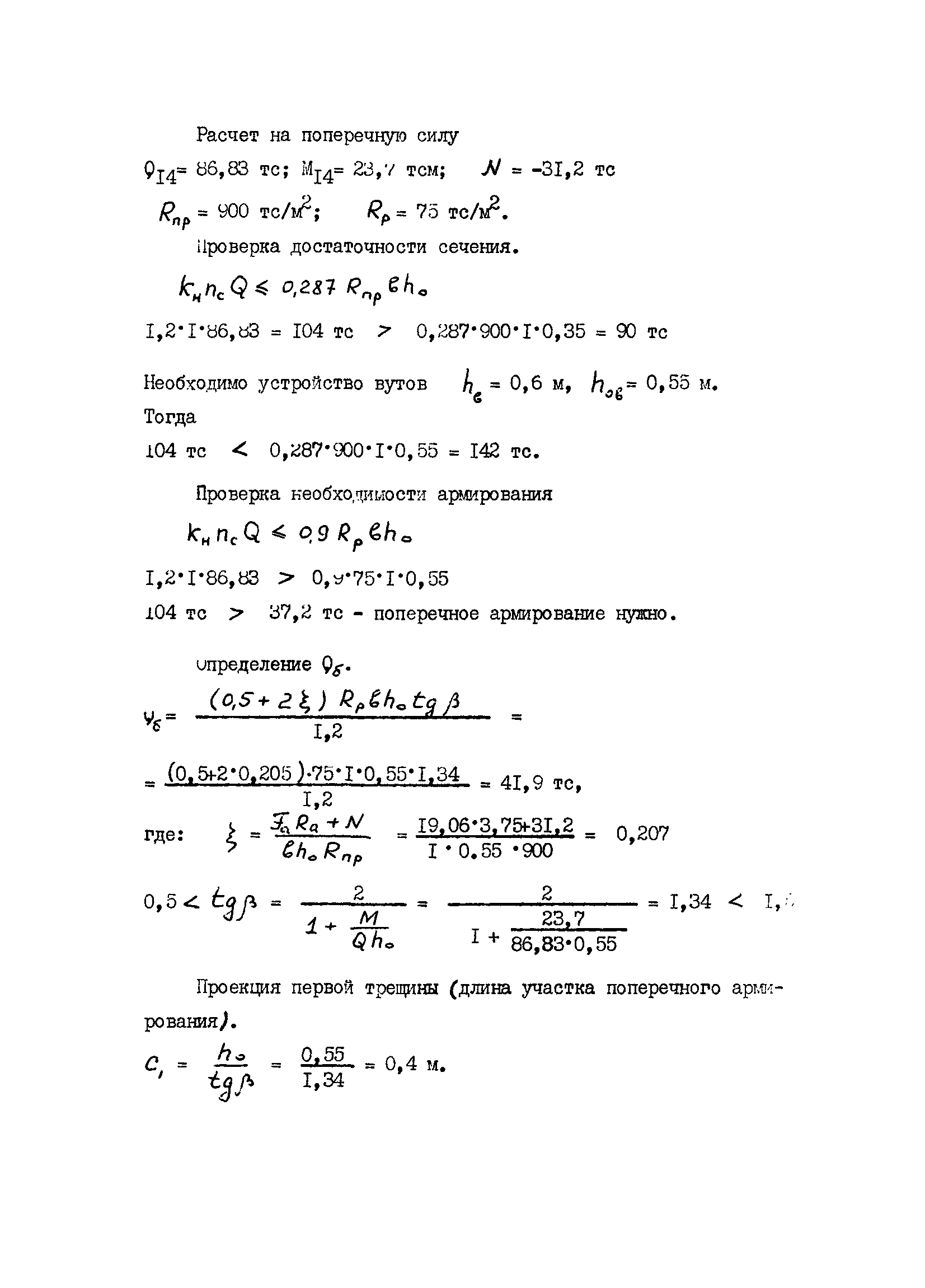
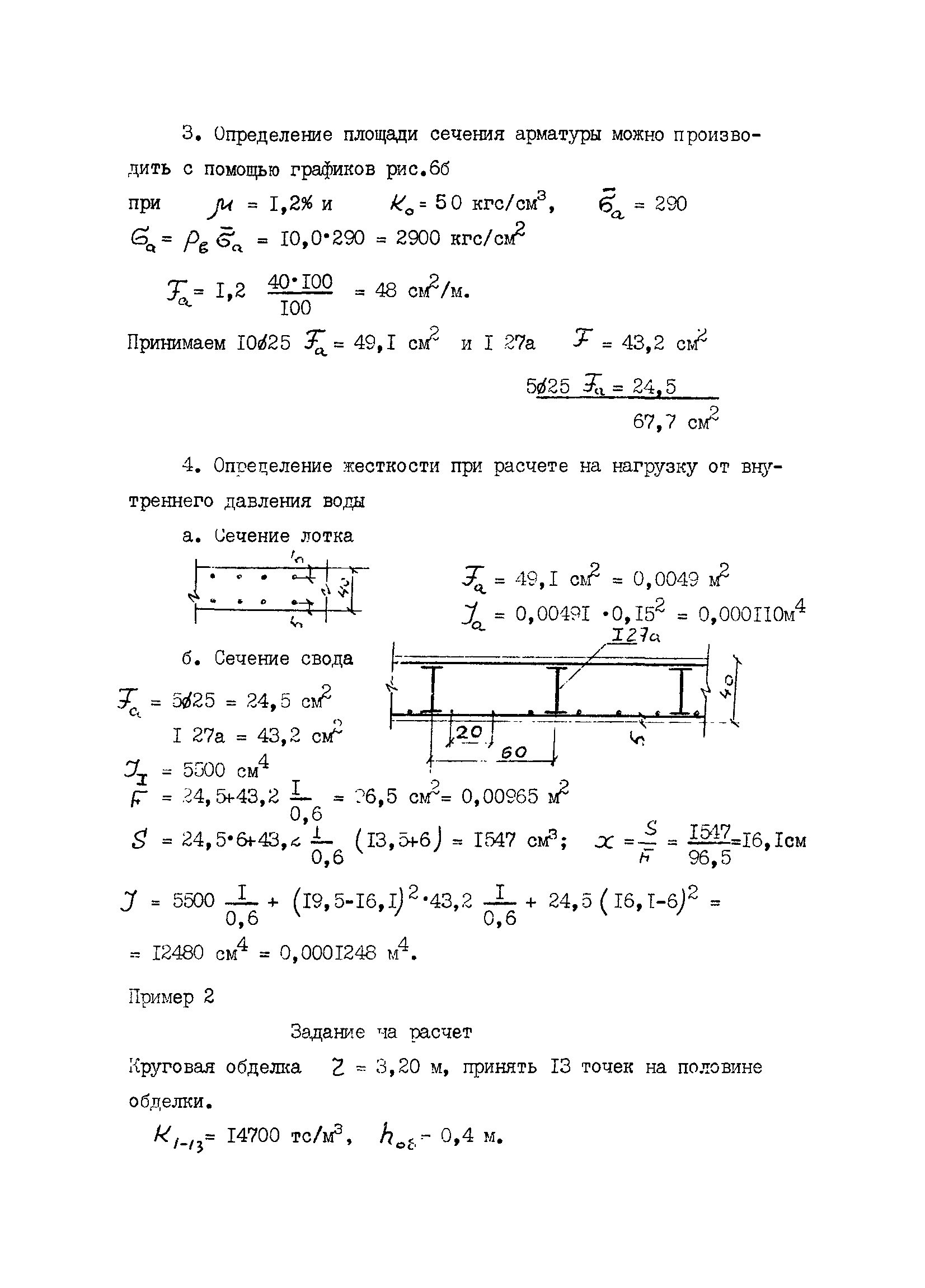
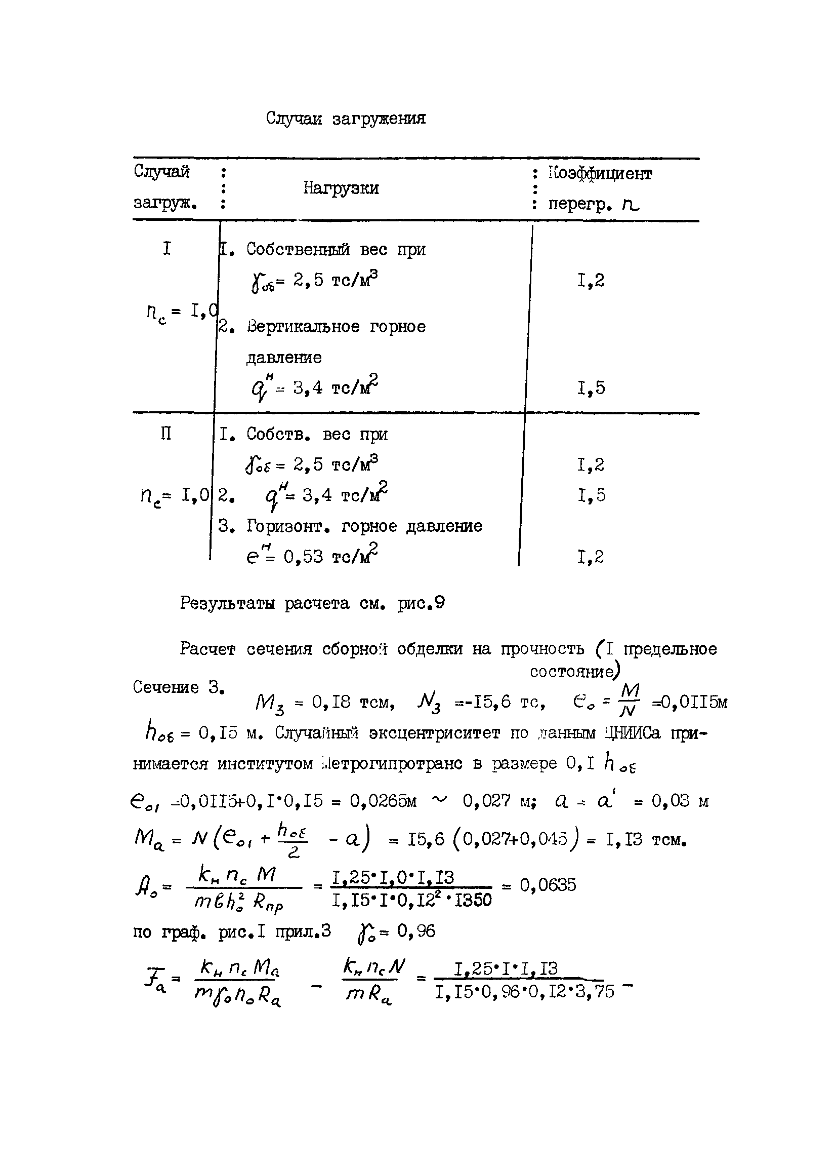
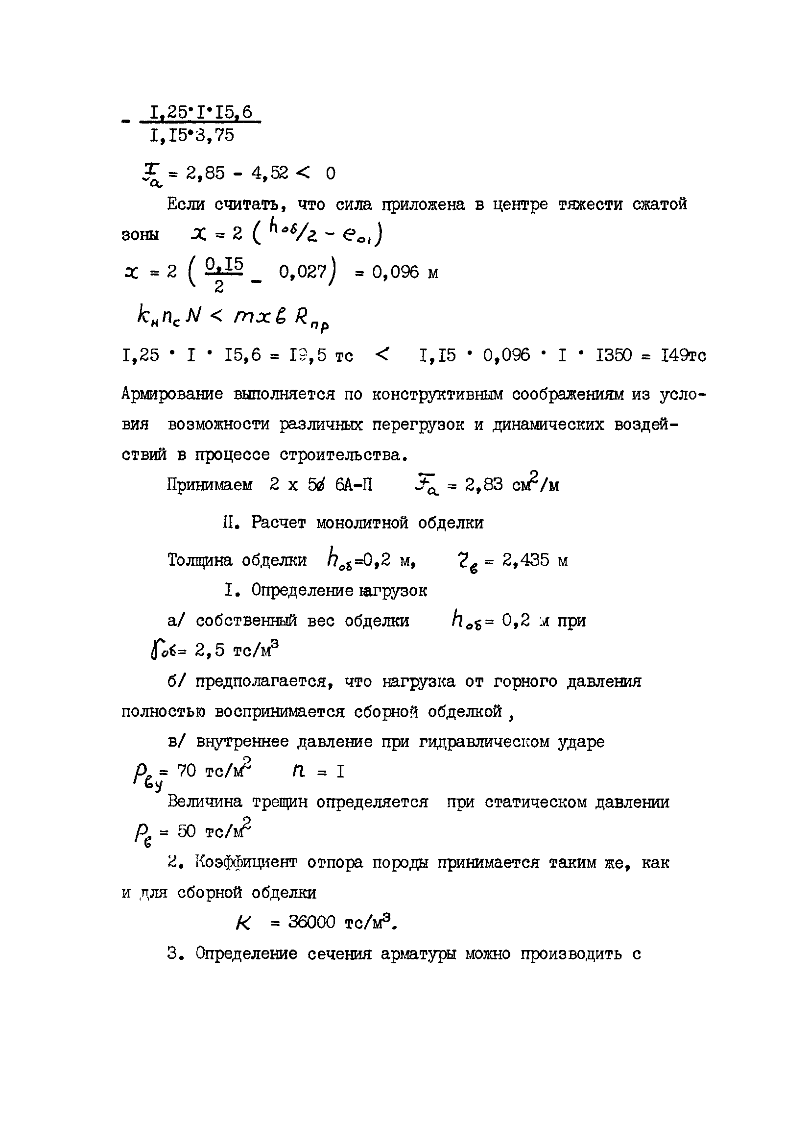
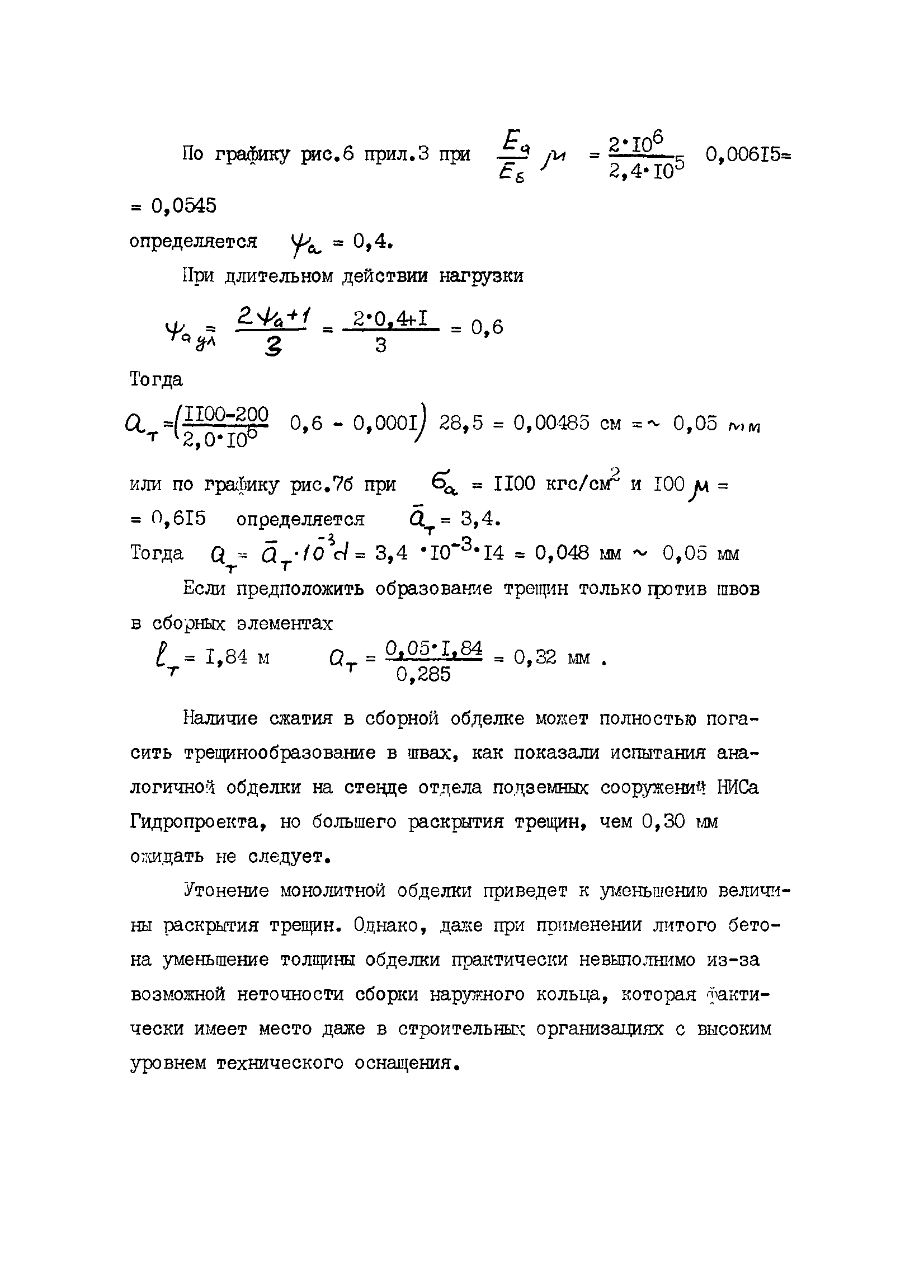
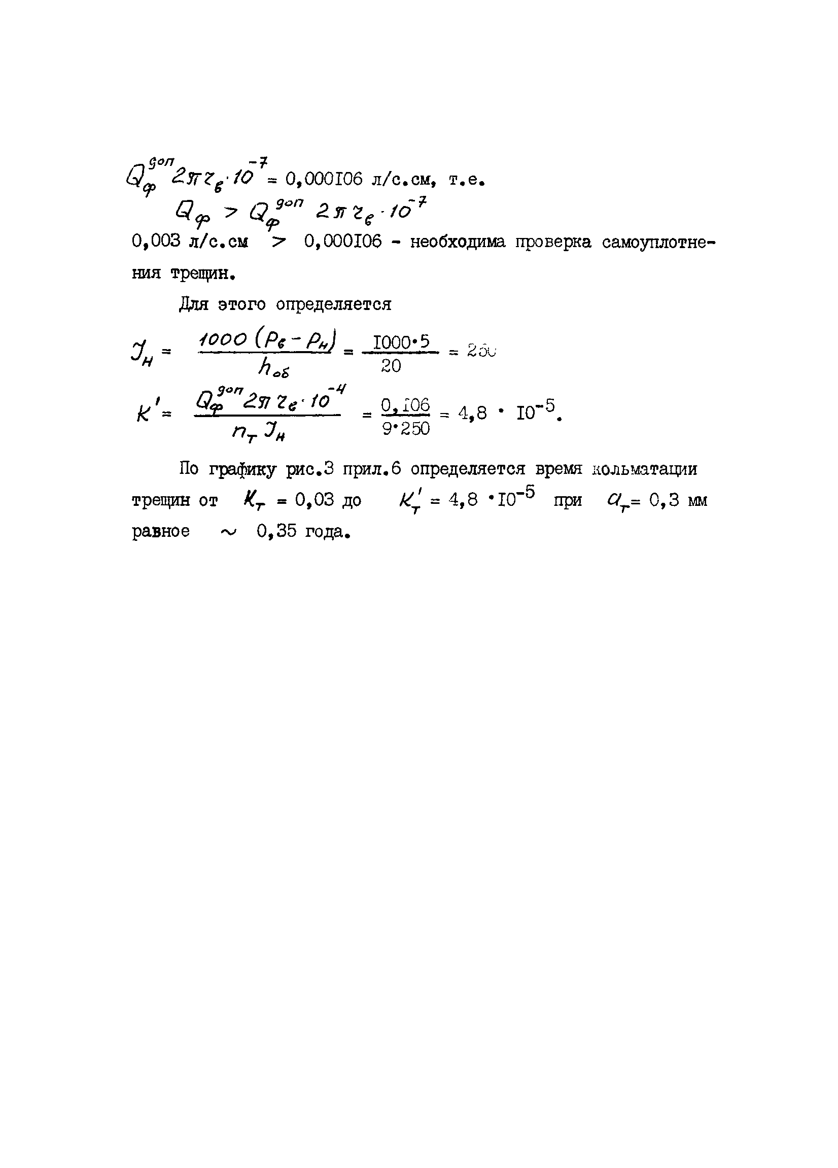
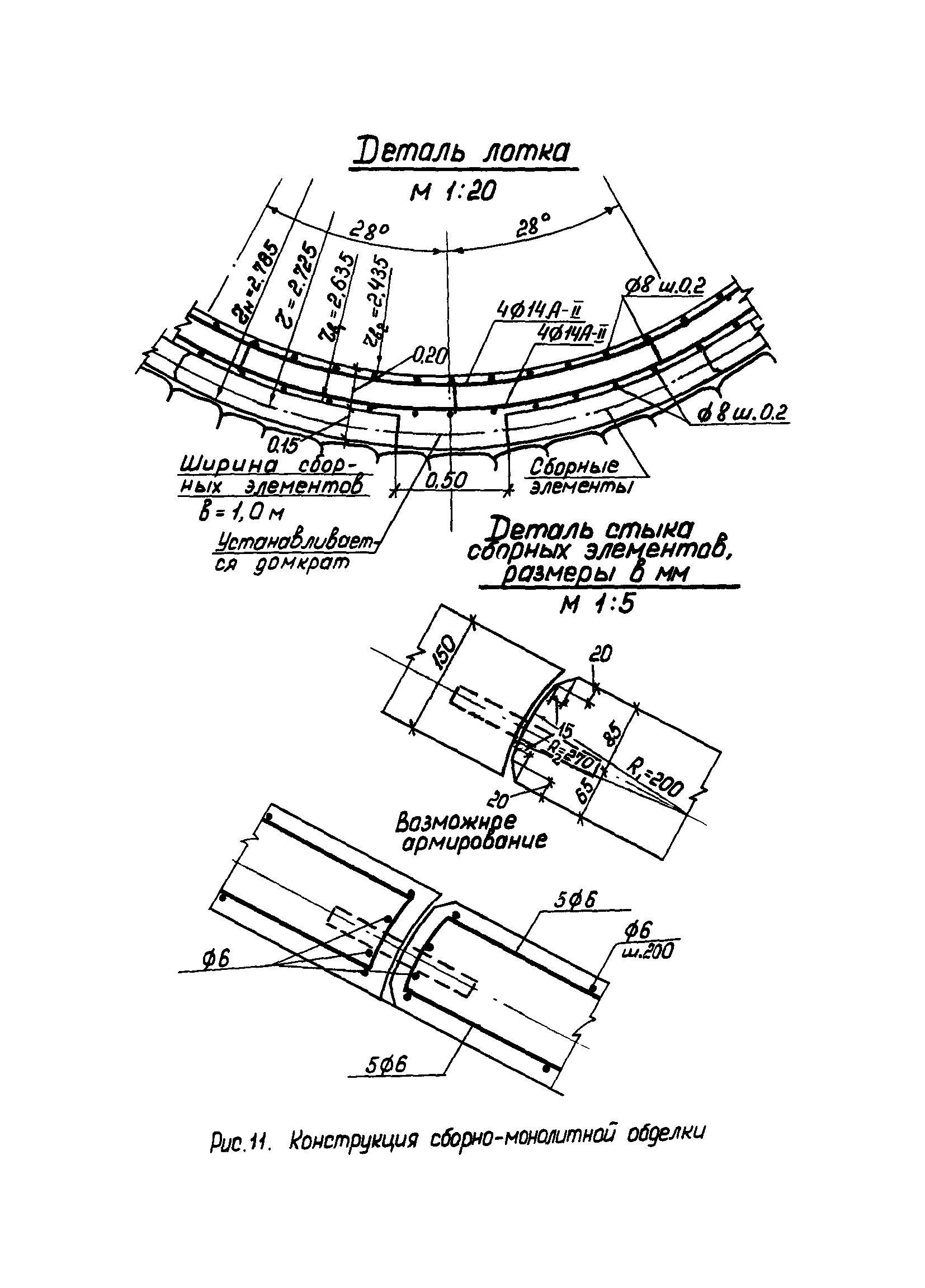
Скачать П-763-82 Рекомендации по автоматизированным расчетам туннельных обделок (по программе ТК 1А)Дата актуализации: 01.01.2021
|
| Обозначение: | П-763-82 |
| Обозначение англ: | П-763-82 |
| Статус: | справочные материалы, мп, тпр |
| Название рус.: | Рекомендации по автоматизированным расчетам туннельных обделок (по программе ТК 1А) |
| Дата добавления в базу: | 01.02.2020 |
| Дата актуализации: | 01.01.2021 |
| Область применения: | Документ предназначен для инженеров-проектировщиков гидротехнических туннелей |
| Оглавление: | Предисловие 1 Основные положения 2 Рекомендации по назначению поперечного сечения туннеля 3 Нагрузки, воздействия и их сочетания 4 Расчетные схемы 5 Учет отпора породы 6 Учет жесткости сечения обделки 7 Задание на расчет по программе ТК IА 8 Оценка результатов расчета Приложение 1. Программа ТК IА Приложение 2. Классификация горных пород и их характеристика Приложение 3. Данные, необходимые для расчета сечений. Расчет бетонных и железобетонных сечений Приложение 4. Методика расчета бетонных обделок безнапорных туннелей с пластическими шарнирами Приложение 5. Графики расчета временной крепи Приложение 6. Расчет фильтрации из напорного туннеля Приложение 7. Примеры расчета обделок Приложение 8. Результаты расчетов обделок туннелей Приложение 9. Основные буквенные обозначения |
| Разработан: | Гидропроект |
| Утверждён: | 31.05.1982 Гидропроект (Gidroproject ) |
| Нормативные ссылки: |
|
































































































































































