Скачать НД 2-020101-114 Часть VI. Противопожарная защитаДата актуализации: 01.01.2021
|
| Обозначение: | НД 2-020101-114 |
| Обозначение англ: | ND 2-020101-114 |
| Статус: | заменен |
| Название рус.: | Часть VI. Противопожарная защита |
| Дата добавления в базу: | 01.02.2020 |
| Дата актуализации: | 01.01.2021 |
| Дата введения: | 01.01.2019 |
| Дата окончания срока действия: | 01.01.2020 |
| Область применения: | В Правилах учтены унифицированные требования, интерпретации и рекомендации Международной ассоциации классификационных обществ (МАКО) и соответствующие резолюции Международной морской организации (ИМО). |
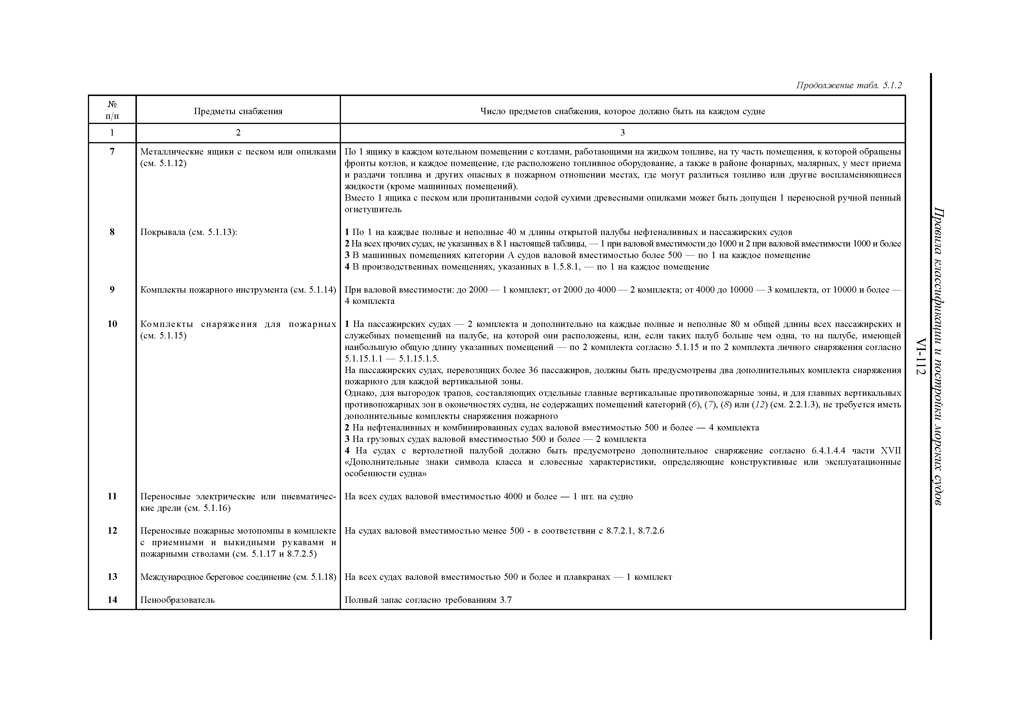
| Оглавление: | 1 Общие положения 1.1 Область распространения 1.2 Определения и пояснения 1.3 Объем освидетельствований 1.4 Планы пожарные 1.5 Подразделение судовых помещений 1.6 Подразделение и испытания материалов и изделий согласно Кодексу ПВО 1.7 Альтернативные проектные решения и средства 2 Конструктивная противопожарная защита 2.1 Общие положения 2.2 Пассажирские суда 2.3 Грузовые суда 2.4 Нефтеналивные суда 3 Противопожарное оборудование и системы 3.1 Общие положения 3.2 Водопожарная система 3.3 Спринклерная система 3.4 Система водораспыления 3.5 Система водяных завес 3.6 Система водяного орошения 3.7 Система пенотушения 3.8 Система углекислотного тушения 3.9 Эквивалентные системы пожаротушения для машинных помещений и помещений грузовых насосов, указанных в 1.5.7.1 3.10 Система порошкового тушения 3.11 Аэрозольная система пожаротушения 3.12 Стационарные системы пожаротушения местного применения внутри машинных помещений 3.13 Испытание систем пожаротушения 4 Системы пожарной сигнализации 4.1 Общие положения 4.2 Системы сигнализации обнаружения пожара 4.3 Сигнализация предупреждения 5 Противопожарное снабжение, запасные части и инструмент 5.1 Противопожарное снабжение 5.2 Запасные части и инструмент 6 Требования к противопожарной защите специализированных судов и специальным устройствам на судах 6.1 Суда, оборудованные вертолетными палубами 6.2 Суда специального назначения 6.3 Нефтеналивные суда больше 60 градусов Цельсия) 6.4 Нефтесборные суда и сборщики льяльных вод 6.5 Стоечные суда 6.6 Суда, имеющие в символе класса знак оснащенности средствами борьбы с пожарами на других судах 6.7 Контейнеровозы, спроектированные для перевозки контейнеров на или выше открытой палубы 7 Специальные требования к судам, перевозящим опасные грузы в упаковке и навалом 7.1 Общие положения 7.2 Суда, перевозящие опасные грузы в упаковке и навалом 7.3 Суда, перевозящие облученное ядерное топливо, плутоний и радиоактивные отходы высокого уровня активности в упаковке (груз ОЯТ) 8 Требования к противопожарной защите грузовых судов валовой вместимостью менее 500 8.1 Общие положения, определения и область применения 8.2 Планы пожарные 8.3 Альтернативные проектные решения и средства 8.4 Конструктивная противопожарная защита 8.5 Требования к материалам 8.6 Противопожарное оборудование и системы 8.7 Водопожарная система 8.8 Стационарные системы сигнализации обнаружения пожара 8.9 Противопожарное снабжение 8.10 Дополнительные меры для нефтеналивных судов 8.11 Суда, не оборудованные пропульсивными установками 8.12 Суда, перевозящие опасные грузы в упаковке и навалом 8.13 Нефтесборные суда и сборщики льяльных вод 8.14 Суда специального назначения |
| Утверждён: | 17.12.2018 Российский морской регистр судоходства |
| Издан: | Российский морской регистр судоходства (2019 г. ) |
| Список изменений: | |
| Заменяет собой: |




















































































































































Текстовое изменение 313-06-1174ц от 10.12.2018


