Скачать Руководство по топографическим съемкам в масштабах 1:5000, 1:2000, 1:1000, 1:500. Фототеодолитная съемкаДата актуализации: 01.01.2021
Руководство по топографическим съемкам в масштабах 1:5000, 1:2000, 1:1000, 1:500. Фототеодолитная съемка| Статус: | справочные материалы, мп, тпр | | Название рус.: | Руководство по топографическим съемкам в масштабах 1:5000, 1:2000, 1:1000, 1:500. Фототеодолитная съемка | | Дата добавления в базу: | 01.02.2020 | | Дата актуализации: | 01.01.2021 | | Область применения: | Руководство предназначено для предприятий и организаций всех ведомств, занимающихся топографической съемкой. | | Оглавление: | Глава 1. Основы фототеодолитной съемки 1.1. Основные понятия и определения 1.2. Системы координат. Элементы ориентирования. Связь между координатами точек снимка и местности 1.3. Виды съемки. Рабочие формулы Глава 2. Составление проекта съемки и подготовка инструментов. Полевые работы 2.1. Общие сведения 2.2. Составление проекта съемки 2.3. Подготовка инструментов, оборудования и материалов Глава 3. Полевые работы 3.1. Рекогносцировка участка, закрепление и маркирование точек 3.2. Фотографирование. Проверка качества негативов 3.3. Геодезические работы 3.4. Топографическое дешифрирование 3.5. Оформление материалов полевых работ Глава 4. Предварительные камеральные работы 4.1. Вычислительные геодезические работы 4.2. Составление проекта фотограмметрических работ 4.3. Фотограмметрические способы определения координат корректурных точек 4.4. Решение фотограмметрической засечки на приборах универсального типа 4.5. Пикетный способ определения координат корректурных точек Глава 5. Составление плана универсальным способом 5.1. Подготовительные работы 5.2. Построение модели и установка планшета 5.3. Корректура модели на стереоавтографе 5.4. Рисовка рельефа и контуров 5.5. Обработка стереопар на стереометрографе Приложение 1. Образцы составления графической документации Приложение 2. Фототеодолитный комплект Photheo 19/1318 Приложение 3. Стереометрограф Приложение 4. Журнал корректуры модели на стереоавтографе Приложение 5. Стереоавтограф 1318 Приложение 6. Стереокомпаратор 1818 Приложение 7. План фотограмметрических работ Приложение 8. Определение координат точек методом фотограмметрической засечки Приложение 9. Каталог базисов и ориентирных направлений Приложение 10. Обработка фотоматериалов | | Разработан: | НИИПГ
| | Издан: | Недра (1977 г. )
|
                                                                                                                                       
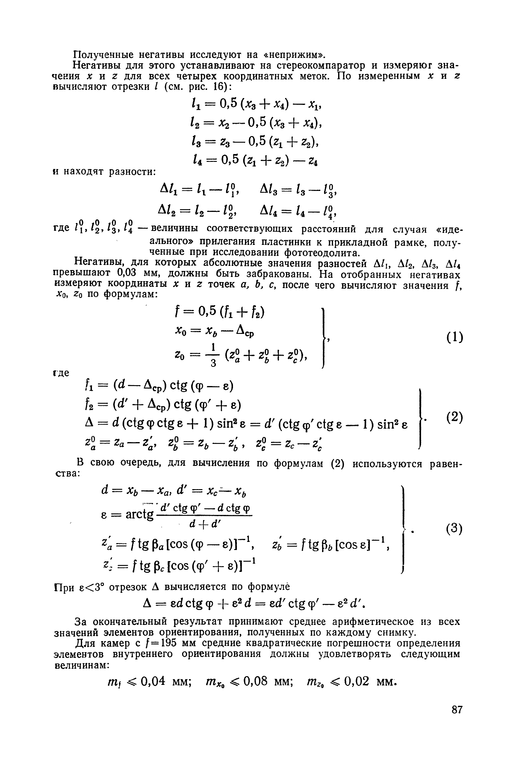
|