Скачать РД 52.18.642-2018 Правила построения, изложения, оформления, обозначения и требования к содержанию текстовых документовДата актуализации: 01.01.2021 РД 52.18.642-2018
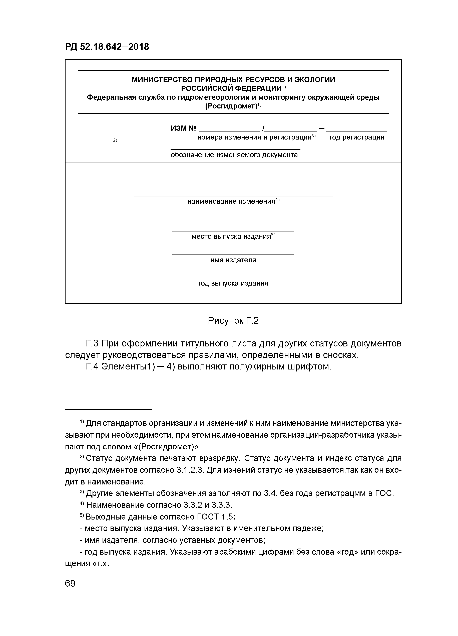
Правила построения, изложения, оформления, обозначения и требования к содержанию текстовых документов| Обозначение: | РД 52.18.642-2018 | | Обозначение англ: | RD 52.18.642-2018 | | Статус: | взамен | | Название рус.: | Правила построения, изложения, оформления, обозначения и требования к содержанию текстовых документов | | Дата добавления в базу: | 01.02.2020 | | Дата актуализации: | 01.01.2021 | | Дата введения: | 10.12.2018 | | Область применения: | Руководящий документ устанавливает: общие правила построения наименований и обозначений текстовых документов; правила построения наименований и обозначений нормативных документов Росгидромета и Комитета Союзного государства по гидрометеорологии и мониторингу загрязнения природной среды, изменений и поправок к ним, разрабатываемых управлениями центрального аппарата и учреждениями Росгидромета в процессе выполнения работ федерального назначения по перечням, требования к структуре, содержанию и оформлению нормативных документов Росгидромета, Комитета Союзного государства по РДТ 13 (раздел 9) и их элементов, оформлению изменений и поправок к ним; правила изложения нормативных документов по РДТ 13 и сопроводительных документов, разрабатываемых в процессе разработки нормативных документов согласно РД 52.18.28 и РДТ 01. Положения руководящего документа являются: обязательными - для применения всеми организациями при разработке и подготовке к применению документов по РДТ 13 и РД 52.18.28 в объеме, определенном настоящим руководящим документом; справочными - при разработке текстовых документов, приведенных в приложении А, статусы и требования к которым установлены в национальных стандартах | | Оглавление: | 1 Область применения 2 Нормативные ссылки 3 Статусы и виды текстовых документов. Правила построения наименований и обозначений 3.1 Статусы и виды текстовых документов 3.2 Общие правила построения наименования документа 3.3 Правила построения наименования нормативного документа, изменения и поправки 3.4 Правила построения обозначений документов 4 Правила построения нормативных документов, изменений, поправок, требования к составу и содержанию их элементов 4.1 Структура 4.2 Титульная часть 4.2.1 Лист утверждения 4.2.2 Лист с подписями 4.2.3 Титульный лист 4.2.4 Предисловие 4.3 Информационная часть 4.3.1 Общие положения 4.3.2 Содержание 4.3.3 Введение 4.3.4 Библиографические данные 4.3.5 Лист регистрации изменений 4.4 Основная часть 4.4.1 Область применения 4.4.2 Нормативные ссылки 4.4.3 Термины и определения 4.4.4 Обозначения и сокращения 4.4.5 Основные нормативные положения, требования 4.5 Дополнительная часть 4.5.1 Приложения 4.5.2 Библиография 4.6 Правила построения изменения и поправки 5 Правила изложения документов 5.1 Общие правила изложения текста 5.2 Деление текста 5.3 Заголовки 5.4 Переносы 5.5 Таблицы 5.6 Графический материал 5.7 Формулы 5.8 Ссылки 5.9 Примечания 5.10 Сноски 5.11 Примеры 5.12 Сокращения 5.13 Количественные величины и единицы их измерения 5.13.1 Наименование количественных величин 5.13.2 Обозначения величин 5.13.3 Единицы измерения 5.14 Числовые значения 5.15 Числовое представление дат 6 Правила оформления документов Приложение А (справочное) Статусы текстовых документов, требования к которым стандартизованы Приложение Б (обязательное) Коды Росгидромета и организаций-разработчиков нормативных документов Росгидромета по состоянию на 01.01.2018 Приложение В (обязательное) Форма и правила оформления листа утверждения проекта документа утверждаемого и согласовываемого собственноручными подписями, выполненного на двух листах Приложение Г (обязательное) Форма и правила оформления титульного листа Приложение Д (обязательное) Форма и правила оформления предисловия Приложение Е (обязательное) Форма листа регистрации Приложение Ж (обязательное) Форма и правила оформления первой страницы нормативного документа Росгидромета и изменения Приложение И (обязательное) Форма поправки нормативного документа Росгидромета Библиография | | Разработан: | ФГБУ НПО Тайфун
| | Утверждён: | 05.06.2018 Росгидромет (Rosgidromet )
| | Принят: | 05.06.2018 Управление наблюдательной сети и гидрометобеспечения (УНСГ) Росгидромета 30.05.2018 Управление мониторинга загрязнения окружающей среды, полярных и морских работ (УМЗА) Росгидромета 01.06.2018 Управление специальных научных программ (УСПН) Росгидромета
| | Издан: | ООО Красногорский полиграфический комбинат (2018 г. )
| | Заменяет собой: | | | Нормативные ссылки: |   СТ СЭВ 1565-79 «Нормативно-техническая документация в строительстве. Буквенные обозначения»  ГОСТ 2.105-95 «Единая система конструкторской документации. Общие требования к текстовым документам»  ГОСТ 2.113-75 «Единая система конструкторской документации. Групповые и базовые конструкторские документы» ГОСТ 2.201-80 «Единая система конструкторской документации. Обозначение изделий и конструкторских документов»  ГОСТ 19.101-77 «Единая система программной документации. Виды программ и программных документов»  ГОСТ 34.201-89 «Информационная технология. Комплекс стандартов на автоматизированные системы. Виды, комплектность и обозначение документов при создании автоматизированных систем»  Р 50.1.034-2001 «Коды, используемые в обозначении стандартов отраслей федеральными органами исполнительной власти»  РМГ 50-2002 «Рекомендации по применению ссылок на стандарты в документации и по указанию обозначений стандартов в маркировке»  ГОСТ 18620-86 «Изделия электротехнические. Маркировка»  ГОСТ 1.1-2002 «Межгосударственная система стандартизации. Термины и определения»  ГОСТ 8.417-2002 «Государственная система обеспечения единства измерений. Единицы величин»  ГОСТ 23090-78 «Аппаратура радиоэлектронная. Правила составления и текст пояснительных надписей и команд» ГОСТ 8.430-88 «Государственная система обеспечения единства измерений. Обозначения единиц физических величин для печатающих устройств с ограниченным набором знаков» ГОСТ ИСО 8601-2001 «Система стандартов по информации, библиотечному и издательскому делу. Представление дат и времени. Общие требования»  ГОСТ 7.60-2003 «Система стандартов по информации, библиотечному и издательскому делу. Издания. Основные виды. Термины и определения»  ГОСТ Р 1.4-2004 «Стандартизация в Российской Федерации. Стандарты организаций. Общие положения»  ГОСТ Р 1.12-2004 «Стандартизация в Российской Федерации. Термины и определения»  ОК 015-94 «Общероссийский классификатор единиц измерения»  ГОСТ 7.11-2004 «Система стандартов по информации, библиотечному и издательскому делу. Библиографическая запись. Сокращение слов и словосочетаний на иностранных европейских языках»  ПР 50.1.024-2005 «Основные положения и порядок проведения работ по разработке, ведению и применению общероссийских классификаторов»  Р 50-77-88 «Рекомендации. Единая система конструкторской документации. Правила выполнения диаграмм»  ГОСТ 2.104-2006 «Единая система конструкторской документации. Основные надписи»  ГОСТ 2.316-2008 «Единая система конструкторской документации. Правила нанесения надписей, технических требований и таблиц на графических документах. Общие положения»  ГОСТ 3.1102-2011 «Единая система технологической документации. Стадии разработки и виды документов. Общие положения» ГОСТ Р 7.0.12-2011 «Система стандартов по информации, библиотечному и издательскому делу. Библиографическая запись. Сокращение слов и словосочетаний на русском языке. Общие требования и правила»  ГОСТ Р 1.5-2012 «Стандартизация в Российской Федерации. Стандарты национальные. Правила построения, изложения, оформления и обозначения» ГОСТ 2.102-2013 «Единая система конструкторской документации. Виды и комплектность конструкторских документов»  РМГ 29-2013 «Государственная система обеспечения единства измерений. Метрология. Основные термины и определения»  МИ 2630-2000 «Рекомендация. ГСИ. Метрология. Физические величины и их единицы»  ГОСТ IEC 60027-1-2015 «Обозначения буквенные, применяемые в электротехнике. Часть 1. Основные положения»  РД 52.18.617-2015 «Организация и порядок проведения нормоконтроля»  РД 52.18.328-2015 «Условные наименования приборов гидрометеорологического назначения» ГОСТ Р 7.0.97-2016 «Система стандартов по информации, библиотечному и издательскому делу. Организационно-распорядительная документация. Требования к оформлению документов» РД 52.14.642-2003 «Текстовые документы. Общие требования к построению, изложению, оформлению, содержанию и обозначению» «Перечень работ федерального назначения в области гидрометеорологии и смежных с ней областях, выполняемых Федеральной службой России по гидрометеорологии и мониторингу окружающей среды» ГОСТ 7.32-2017 «Система стандартов по информации, библиотечному и издательскому делу. Отчет о научно-исследовательской работе. Структура и правила оформления» РД 52.18.28-2014 «Правила разработки, утверждения, обновления и отмены нормативных документов Росгидромета» РДТ 01-2008 «Нормативные документы типовые. Порядок разработки, утверждения, обновления и отмены»  ГОСТ Р 8.563-2009 «Государственная система обеспечения единства измерений. Методики (методы) измерений»  ГОСТ Р 1.0-2012 «Стандартизация в Российской Федерации. Основные положения» ГОСТ Р 1.2-2016 «Стандартизация в Российской Федерации. Стандарты национальные Российской Федерации. Правила разработки, утверждения, обновления, внесения поправок, приостановки действия и отмены» РД 52.04.614-2000 «Наставление гидрометеорологическим станциям и постам. Выпуск 3. Часть II. Обработка материалов метеорологических наблюдений» РД 52.14.10-95 «Порядок создания автоматизированных информационно-измерительных систем мониторинга состояния и загрязнения окружающей среды»  ГОСТ Р 22.1.02-95 «Безопасность в чрезвычайных ситуациях. Мониторинг и прогнозирование. Термины и определения»  ГОСТ 1.5-2001 «Межгосударственная система стандартизации. Стандарты межгосударственные, правила и рекомендации по межгосударственной стандартизации. Общие требования к построению, изложению, оформлению, содержанию и обозначению»
|
                                                                                  
|