Скачать ГОСТ 28656-2019 Газы углеводородные сжиженные. Расчетный метод определения плотности и давления насыщенных паровДата актуализации: 01.01.2021
|
| Обозначение: | ГОСТ 28656-2019 |
| Обозначение англ: | GOST 28656-2019 |
| Статус: | взамен |
| Название рус.: | Газы углеводородные сжиженные. Расчетный метод определения плотности и давления насыщенных паров |
| Название англ.: | Liquefied hydrocarbon gases. Calculation method for determination of saturated vapour density and pressure |
| Дата добавления в базу: | 01.02.2020 |
| Дата актуализации: | 01.01.2021 |
| Дата введения: | 01.01.2020 |
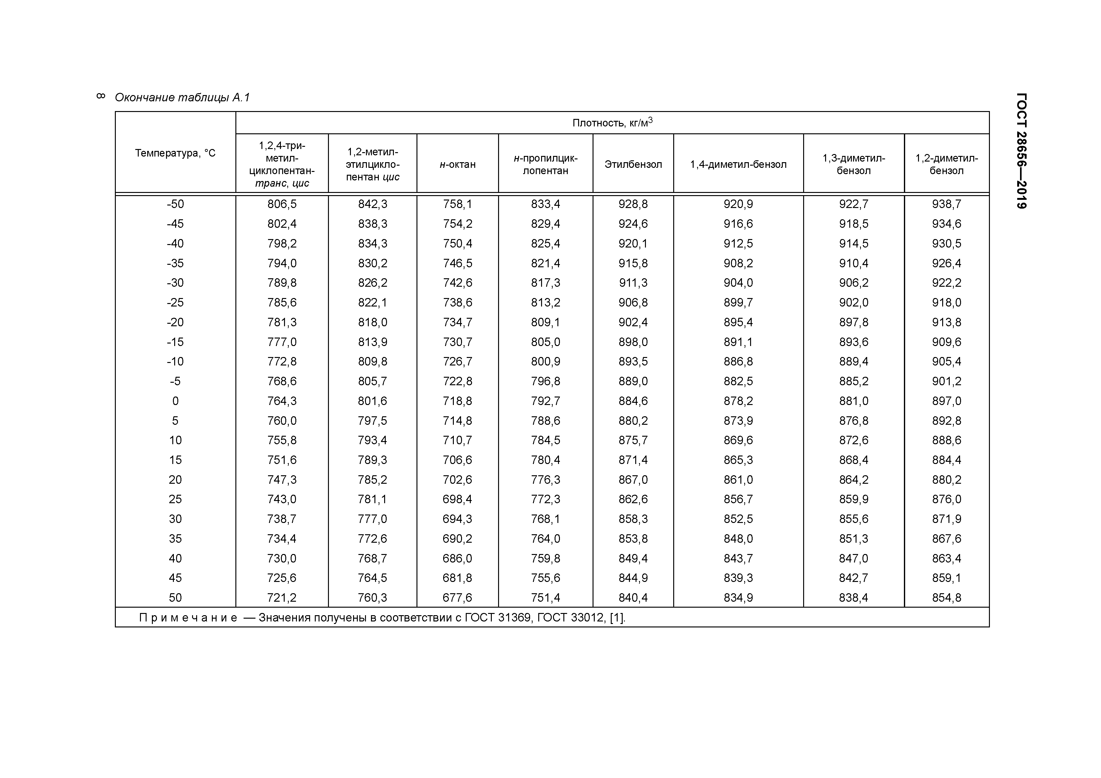
| Область применения: | Стандарт распространяется на сжиженные углеводородные газы (далее - СУГ) - пропан, пропен, бутаны, бутены и их смеси, применяемые в качестве моторного топлива для автомобильного транспорта, топлива технологического и коммунально–бытового потребления или сырья для химических процессов, и устанавливает упрощенный метод вычисления плотности и избыточного давления насыщенных паров на основе данных измерения углеводородного состава методом газовой хроматографии. Метод применяют для определения плотности СУГ в диапазоне температур от минус 50 °С до плюс 50 °С и избыточного давления насыщенных паров СУГ в интервале от 0,06 до 2,0 МПа при температурах минус 35 °С, минус 30 °С, минус 20 °С, плюс 45 °С. Стандарт предназначен для вычисления плотности и давления насыщенных паров СУГ, в которых диапазон массовой доли компонентов составляет 0,005 % до 99,80 %. |
| Оглавление: | 1 Область применения 2 Нормативные ссылки 3 Термины и определения 4 Метод определения плотности сжиженных углеводородных газов 5 Метод определения давления насыщенных паров Приложение А (обязательное) Значения плотности углеводородов в жидком состоянии Приложение Б (обязательное) Значения молярных масс индивидуальных компонентов Приложение В (рекомендуемое) Пример расчета плотности Приложение Г (обязательное) Значения летучести (фугитивности) компонентов сжиженных углеводородных газов Приложение Д (рекомендуемое) Пример расчета давления насыщенных паров при температуре плюс 45 °С методом последовательного приближения Приложение Е (рекомендуемое) Примеры расчета давления насыщенных паров Библиография |
| Разработан: | АО ВНИИУС |
| Утверждён: | 30.01.2019 Межгосударственный Совет по стандартизации, метрологии и сертификации (Inter-Governmental Council on Standardization, Metrology, and Certification 115-П) 03.04.2019 Росстандарт (119-ст) |
| Список изменений: |
|
| Заменяет собой: | |
| Нормативные ссылки: |
|






















