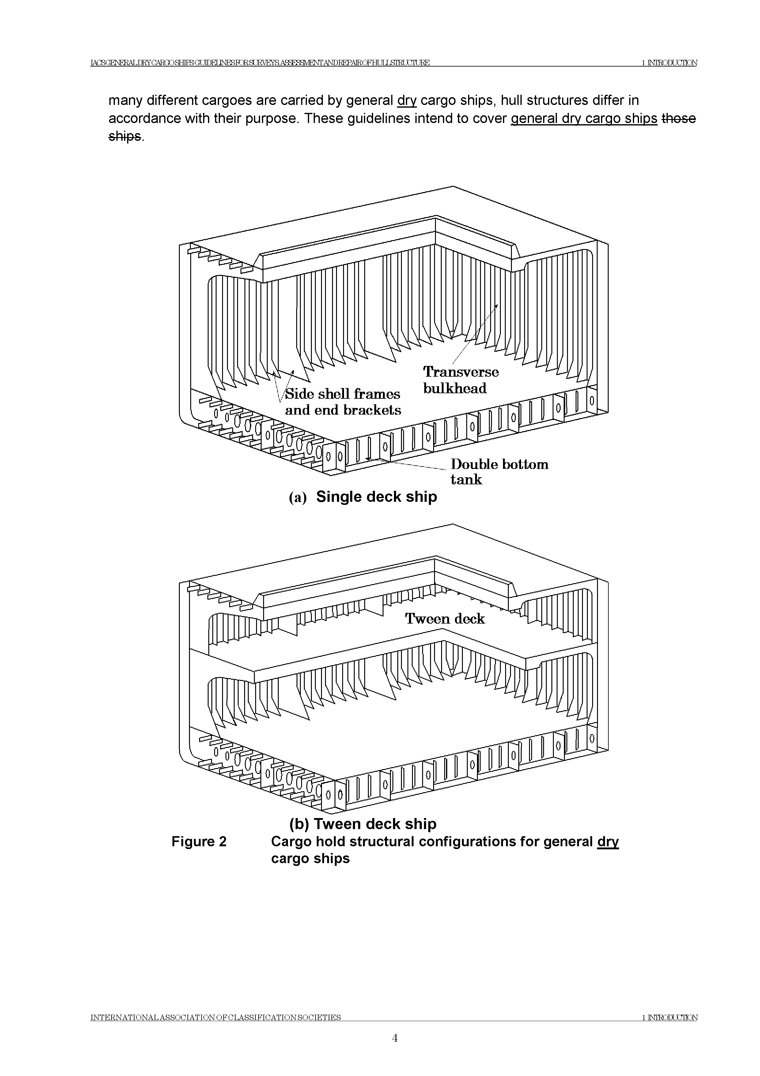
Скачать НД 2-020101-121-R-E СухогрузыДата актуализации: 01.01.2021
|
| Обозначение: | НД 2-020101-121-R-E |
| Обозначение англ: | ND 2-020101-121-R-E |
| Статус: | не действует |
| Название рус.: | Сухогрузы |
| Название англ.: | IACS |
| Дата добавления в базу: | 01.02.2020 |
| Дата актуализации: | 01.01.2021 |
| Разработан: | Российский морской регистр судоходства |
| Утверждён: | Российский морской регистр судоходства |
| Издан: | Российский морской регистр судоходства (2019 г. ) |
| Заменяет собой: |































































































































































































































































































































































































































































































































































































































