Скачать Инструкция по осмотру, освидетельствованию, ремонту и формированию вагонных колесных парДата актуализации: 01.01.2021
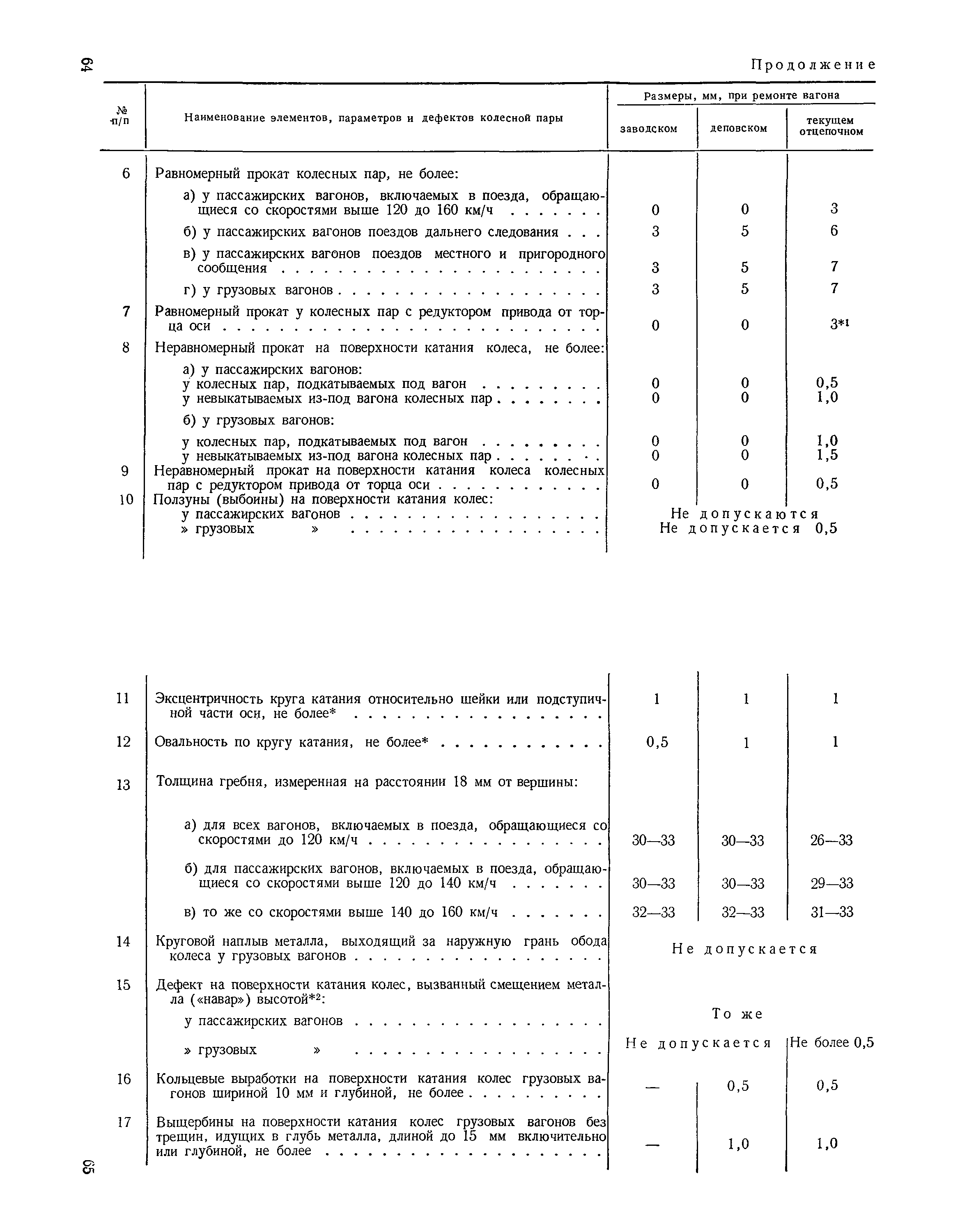
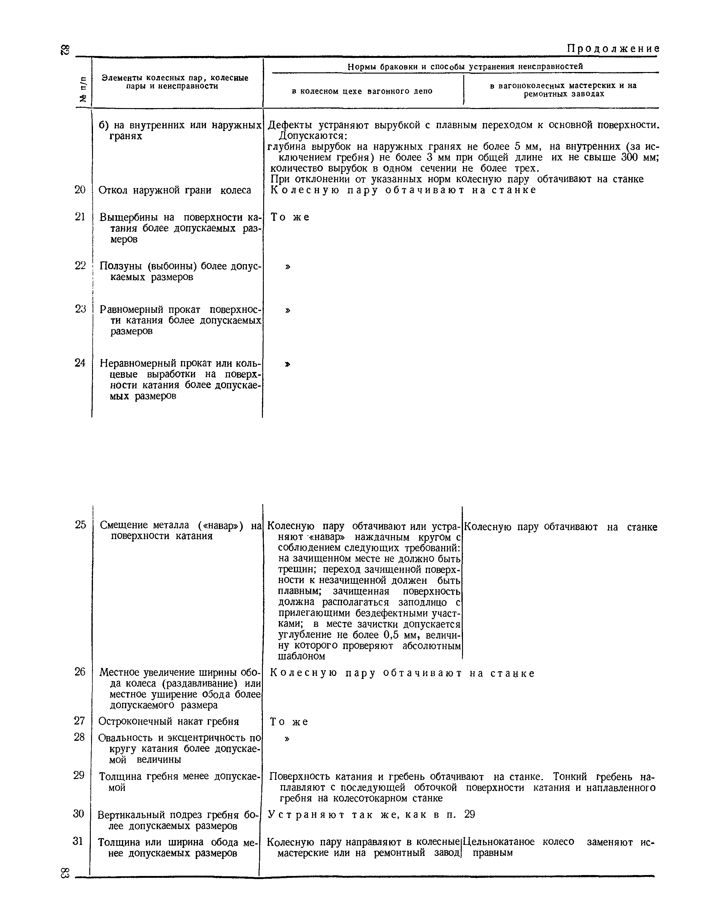
Инструкция по осмотру, освидетельствованию, ремонту и формированию вагонных колесных пар| Статус: | справочные материалы, мп, тпр | | Название рус.: | Инструкция по осмотру, освидетельствованию, ремонту и формированию вагонных колесных пар | | Дата добавления в базу: | 01.02.2020 | | Дата актуализации: | 01.01.2021 | | Область применения: | Инструкция распространяется на колесные пары вагонов железных дорог широкой колеи. Ею определяется порядок и сроки осмотра, освидетельствования и ремонта колесных пар, а также устанавливаются нормы и требования, которым они должны удовлетворять при осмотре, освидетельствовании, ремонте и формировании | | Оглавление: | 1. Общие положения 2. Основные технические данные о колесных парах и их элементах 3. Виды, сроки, порядок осмотра и освидетельствования колесных пар 4. Требования, предъявляемые к колесным парам в эксплуатации 5. Требования, предъявляемые к колесным парам при выпуске вагонов из ремонта 6. Требования, предъявляемые к колесным парам и их элементам при ремонте 7. Распрессовка колес с осей 8. Обработка подступичных частей новых и старогодных осей 9. Переточка осей III типа в оси РУ1Ш 10. Расточка новых и старогодных цельнокатаных колес 11. Запрессовка цельнокатаных колес на оси 12. Опробование на сдвиг ступиц колес 13. Обточка поверхностей катания цельнокатаных колес 14. Обработка шеек и предподступичных частей осей 15. Сварочные и наплавочные работы 16. Формирование колесных пар из новых элементов 17. Дефектоскопирование колесных пар 18. Проверка и приемка колесных пар 19. Маркирование и клеймение колесных пар и их элементов 20. Окраска колесных пар 21. Исключение колесных пар из инвентаря Приложение 1. Основные размеры вновь сформированных колесных пар Приложение 2. Основные размеры новых осей Приложение 3. Основные размеры новых цельнокатаных колес Приложение 4. Форма удостоверения Приложение 5. Классификация неисправностей вагонных колесных пар и их элементов Приложение 6. Допускаемые размеры колесных пар и их элементов при выпуске вагонов из ремонта Приложение 7. Наименьшие допускаемые диаметры осей колесных пар при выпуске вагонов из ремонта Приложение 8. Допускаемые размеры и отклонения у колесных пар и их элементов при выпуске из ремонта Приложение 9. Неисправности колесных пар и их элементов, нормы браковки и способы устранения неисправностей Приложение 10. Акт на исключение из инвентаря колесных пар | | Разработан: | Всесоюзный научно-исследовательский институт железнодорожного транспорта МПС
| | Утверждён: | 31.12.1976 Министерство путей сообщения СССР (USSR Ministry of Railroads )
| | Издан: | Издательство Транспорт (1977 г. )
|
                                                                                
|