Скачать ГОСТ Р 58439.1-2019 Организация информации об объектах капитального строительства. Информационный менеджмент в строительстве с использованием технологии информационного моделирования. Часть 1. Понятия и принципыДата актуализации: 01.01.2021
|
| Обозначение: | ГОСТ Р 58439.1-2019 |
| Обозначение англ: | GOST R 58439.1-2019 |
| Статус: | отменен |
| Название рус.: | Организация информации об объектах капитального строительства. Информационный менеджмент в строительстве с использованием технологии информационного моделирования. Часть 1. Понятия и принципы |
| Название англ.: | Organization of information about capital construction facilities. Information management using in construction information modelling technology. Part 1. Concepts and principles |
| Дата добавления в базу: | 01.02.2020 |
| Дата актуализации: | 01.01.2021 |
| Дата введения: | 01.09.2019 |
| Дата окончания срока действия: | 06.02.2020 |
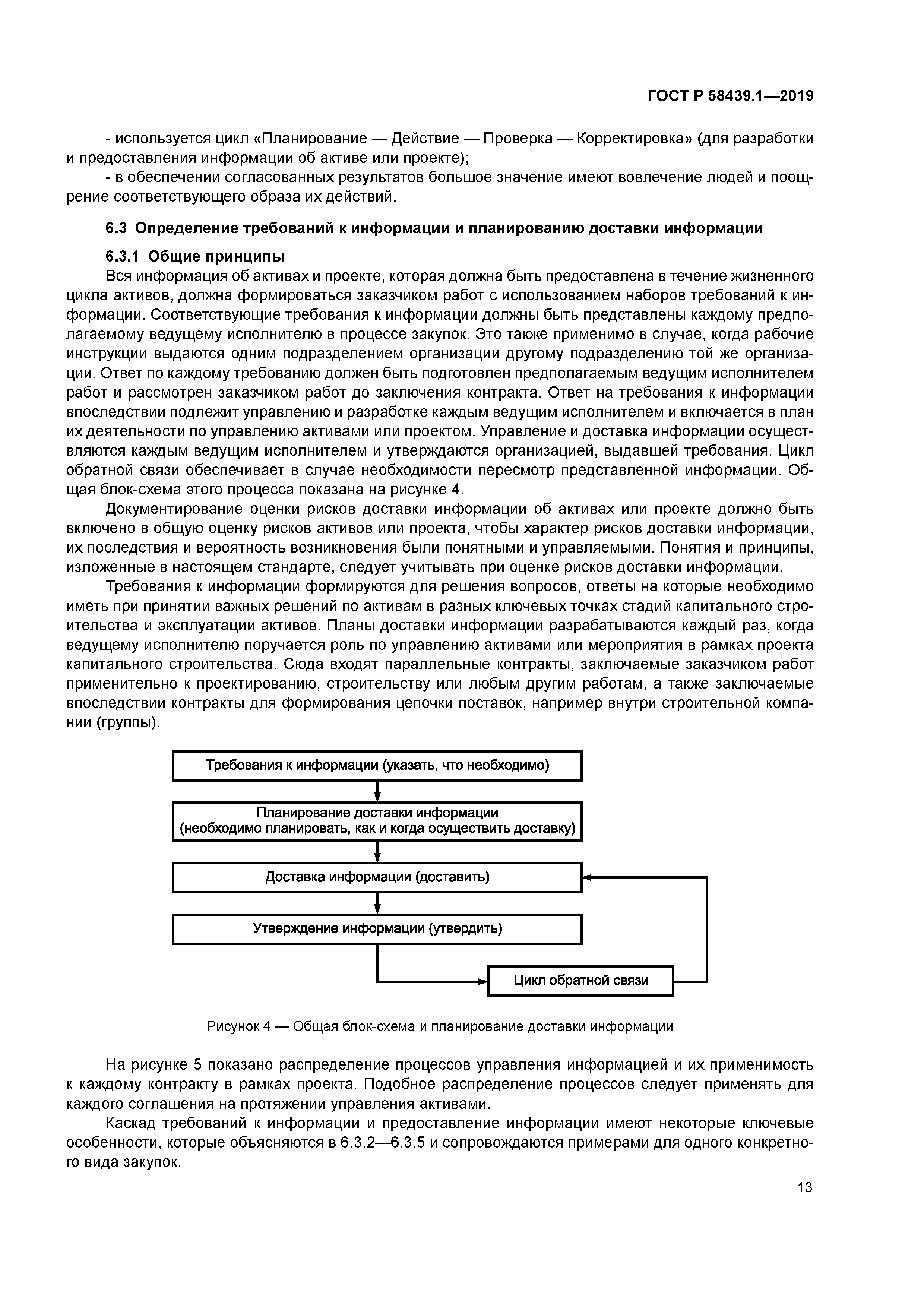
| Область применения: | Стандарт содержит общие понятия и принципы, регламентирующие процессы управления информацией, характерные информационному моделированию для уровня зрелости 2, а также уровней 1 и 3 (см. рисунок 1). Стандарт содержит требования по созданию структуры управления информацией, включающей обмен, запись, поддержку версионности данных и организацию деятельности всех участников (акторов). Стандарт применим ко всему жизненному циклу объекта капитального строительства, включая обоснование инвестиций, инженерные изыскания, проектирование, строительство (в том числе консервацию), эксплуатацию (в том числе текущие ремонты), реконструкцию, капитальный ремонт, снос здания или сооружения. |
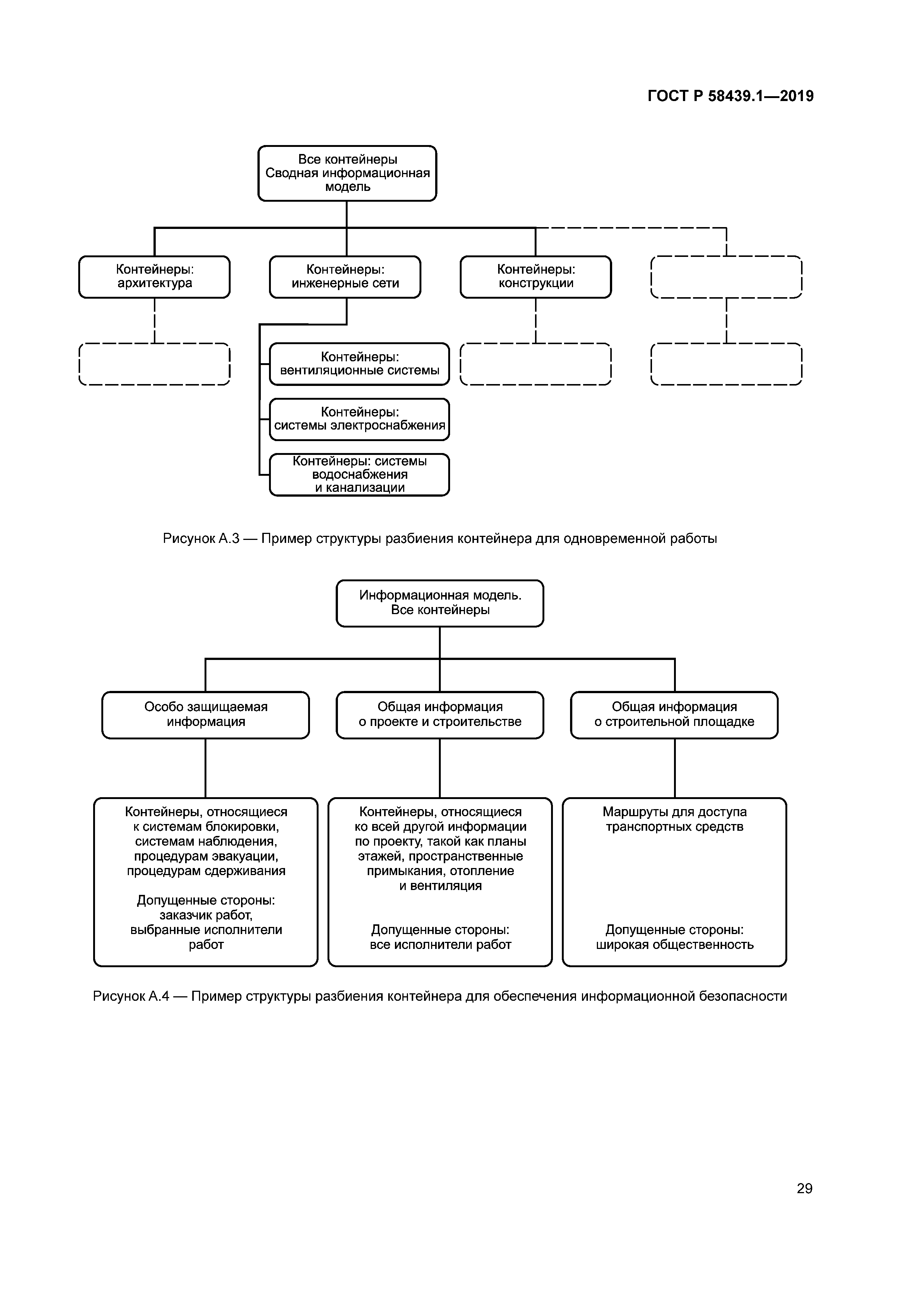
| Оглавление: | 1 Область применения 2 Нормативные ссылки 3 Термины, определения и сокращения 4 Информация о проекте и активах, аспектах и совместной работе 4.1 Принципы 4.2 Взаимосвязь между управлением информацией и совместной работой 4.3 Аспекты управления информацией 5 Определение требований к информации и создаваемым информационным моделям 5.1 Принципы 5.2 Корпоративные требования к информации 5.3 Требования к информации об активах 5.4 Требования к информации по проекту 5.5 Требования к обмену информацией 5.6 Информационная модель актива 5.7 Информационная модель проекта 6 Процесс доставки информации 6.1 Принципы 6.2 Соотношение с жизненным циклом актива 6.3 Определение требований к информации и планированию доставки информации 7 Функции управления информацией по проекту и активам 7.1 Принципы 7.2 Функции управления информацией об активах 7.3 Функции управления информацией по проекту 7.4 Функции управления информацией по задаче 8 Совместная работа на основе информационных контейнеров 9 Квалификация и возможности группы исполнителей 9.1 Принципы 9.2 Состав критериев для оценки квалификации и возможностей 10 Планирование доставки информации 10.1 Принципы 10.2 Сроки доставки информации 10.3 Матрица ответственности 10.4 Определение стратегии объединения и структуры разбиения информационных контейнеров 11 Управление совместным производством информации 11.1 Принципы 11.2 Уровень потребности в информации 11.3 Качество информации 12 Реализация среды общих данных и рабочего процесса 12.1 Принципы 12.2 Статус "В работе" 12.3 Переход "проверка/рассмотрение/утверждение" 12.4 Статус "Общий доступ" 12.5 Переход "рассмотрение/разрешение" 12.6 Статус "Опубликовано" 12.7 Статус "Архив" 13 Итоговые положения информационного моделирования в строительстве согласно настоящему стандарту и ГОСТ Р 58439.2 Приложение А (справочное) Примеры стратегии объединения и структуры разбиения контейнеров Библиография |
| Разработан: | АО НИЦ Строительство - ЦНИИСК им. В.А. Кучеренко |
| Утверждён: | 02.07.2019 Федеральное агентство по техническому регулированию и метрологии (347-ст) |
| Издан: | Стандартинформ (2019 г. ) |
| Нормативные ссылки: |
|



































