Скачать ГОСТ Р 113.42.01-2019 Наилучшие доступные технологии. Интенсивное разведение сельскохозяйственной птицы. Рекомендации по производственному экологическому контролю

Дата актуализации: 01.01.2021

ГОСТ Р 113.42.01-2019

Наилучшие доступные технологии. Интенсивное разведение сельскохозяйственной птицы. Рекомендации по производственному экологическому контролю

Обозначение: ГОСТ Р 113.42.01-2019
Обозначение англ: GOST R 113.42.01-2019
Статус:введен впервые
Название рус.:Наилучшие доступные технологии. Интенсивное разведение сельскохозяйственной птицы. Рекомендации по производственному экологическому контролю
Название англ.:Best available techniques. Intensive rearing of poultry. Recommendations for production ecological control
Дата добавления в базу:01.02.2020
Дата актуализации:01.01.2021
Дата введения:01.12.2019
Область применения:Стандарт устанавливает порядок организации и проведения производственного экологического контроля (ПЭК) за соблюдением природоохранного законодательства и выполнением природоохранных мероприятий, а также предусматривает обязанности субъектов хозяйственной деятельности (предприятий, занимающихся интенсивным разведением сельскохозяйственной птицы) по выполнению установленных требований. Стандарт предназначен для субъектов хозяйственной деятельности (предприятий, занимающихся интенсивным разведением сельскохозяйственной птицы), поднадзорных как федеральным, так и региональным органам исполнительной власти, а также для органов и учреждений, осуществляющих государственный экологический надзор. Производственный экологический контроль осуществляется в целях обеспечения соблюдения природоохранных нормативов в процессе интенсивного разведения сельскохозяйственной птицы, мероприятий по охране окружающей среды, рациональному использованию и восстановлению природных ресурсов, а также в целях соблюдения требований в области охраны окружающей среды, установленных законодательством Российской Федерации. Стандарт распространяется: - на материалы, реагенты, препараты, используемые при интенсивном разведении сельскохозяйственной птицы; - источники образования отходов, в том числе производства, цеха, участки, технологические процессы и отдельные технологические стадии; - источники выбросов загрязняющих веществ в атмосферный воздух; - источники сбросов загрязняющих веществ в окружающую среду; - источники сбросов загрязняющих веществ в системы канализации и сети водоотведения; - источники возникновения вредных воздействий физических факторов и полей; - системы очистки сточных вод, системы очистки отходящих газов; - системы повторного и оборотного водоснабжения; - объекты размещения, обезвреживания и утилизации отходов; - объекты окружающей среды (включая биологические компоненты экосистем), расположенные в пределах предприятия, занимающегося интенсивным разведением сельскохозяйственной птицы, санитарно-защитной зоны, зоны влияния объекта.
Оглавление:1 Область применения
2 Нормативные ссылки
3 Термины и определения
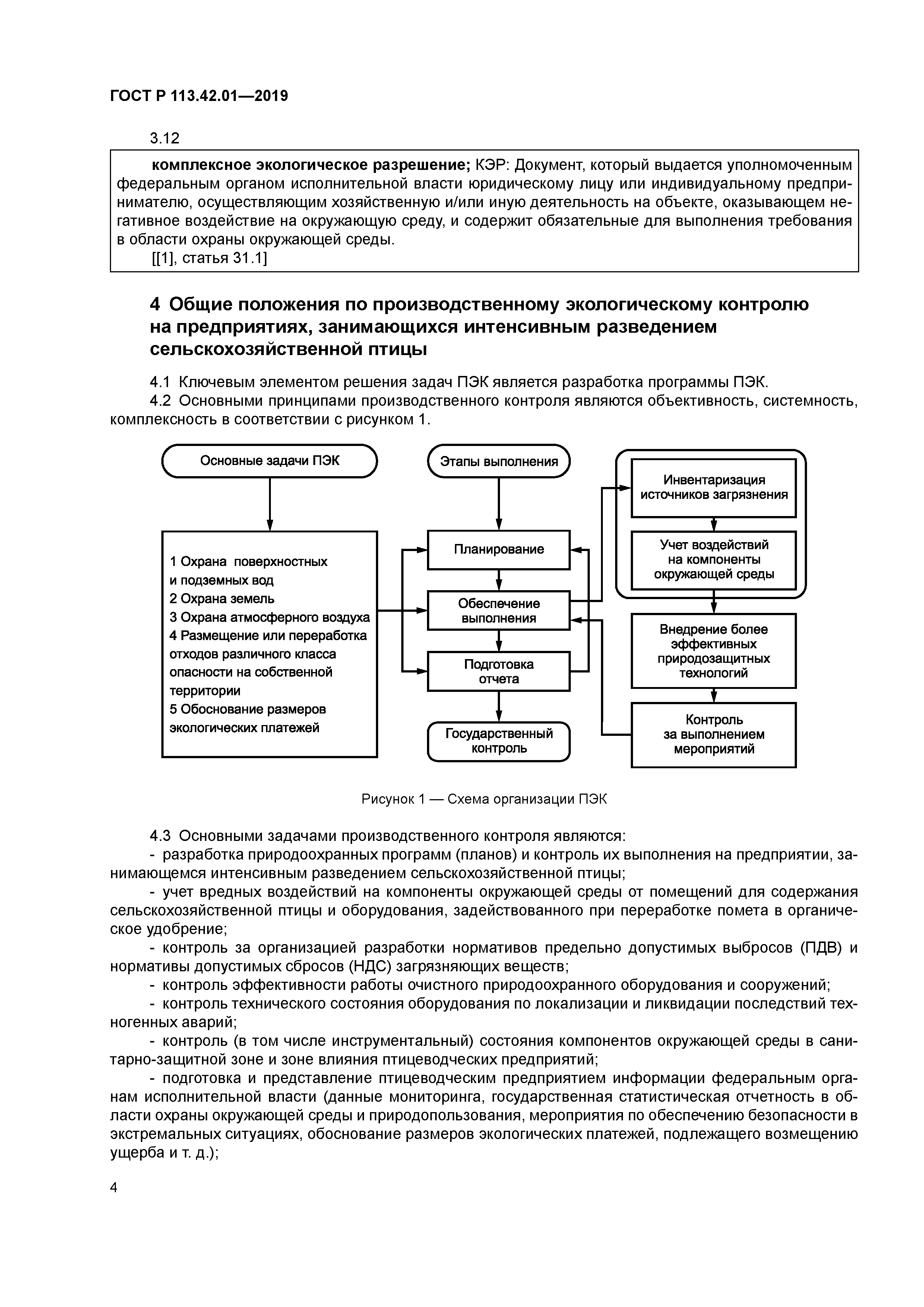
4 Общие положения по производственному экологическому контролю на предприятиях, занимающихся интенсивным разведением сельскохозяйственной птицы
5 Порядок организации и проведения производственного экологического контроля на предприятиях, занимающихся интенсивным разведением сельскохозяйственной птицы
6 Основные этапы производственного экологического контроля на предприятиях, занимающихся интенсивным разведением сельскохозяйственной птицы
7 Организационная схема производственного экологического контроля
Приложение А (справочное) План организации производственного экологического контроля при обращении с отходами (пометом), которые являются сырьем для получения органического удобрения
Библиография
Разработан: ФГАУ НИИ ЦЭПП
ИАЭП - филиал ФГБНУ ФНАЦ ВИМ
Утверждён:23.07.2019 Федеральное агентство по техническому регулированию и метрологии (411-ст)
Издан: Стандартинформ (2019 г. )
Нормативные ссылки:
ГОСТ Р 113.42.01-2019ГОСТ Р 113.42.01-2019ГОСТ Р 113.42.01-2019ГОСТ Р 113.42.01-2019ГОСТ Р 113.42.01-2019ГОСТ Р 113.42.01-2019ГОСТ Р 113.42.01-2019ГОСТ Р 113.42.01-2019ГОСТ Р 113.42.01-2019ГОСТ Р 113.42.01-2019ГОСТ Р 113.42.01-2019ГОСТ Р 113.42.01-2019ГОСТ Р 113.42.01-2019ГОСТ Р 113.42.01-2019ГОСТ Р 113.42.01-2019ГОСТ Р 113.42.01-2019ГОСТ Р 113.42.01-2019ГОСТ Р 113.42.01-2019ГОСТ Р 113.42.01-2019ГОСТ Р 113.42.01-2019ГОСТ Р 113.42.01-2019ГОСТ Р 113.42.01-2019ГОСТ Р 113.42.01-2019ГОСТ Р 113.42.01-2019