Скачать ГОСТ Р 43.0.16-2019 Информационное обеспечение техники и операторской деятельности. Информация фраземнаяДата актуализации: 01.01.2021
|
| Обозначение: | ГОСТ Р 43.0.16-2019 |
| Обозначение англ: | GOST R 43.0.16-2019 |
| Статус: | введен впервые |
| Название рус.: | Информационное обеспечение техники и операторской деятельности. Информация фраземная |
| Название англ.: | Informational ensuring of equipment and operational activity. Phrasemic information |
| Дата добавления в базу: | 01.02.2020 |
| Дата актуализации: | 01.01.2021 |
| Дата введения: | 01.07.2020 |
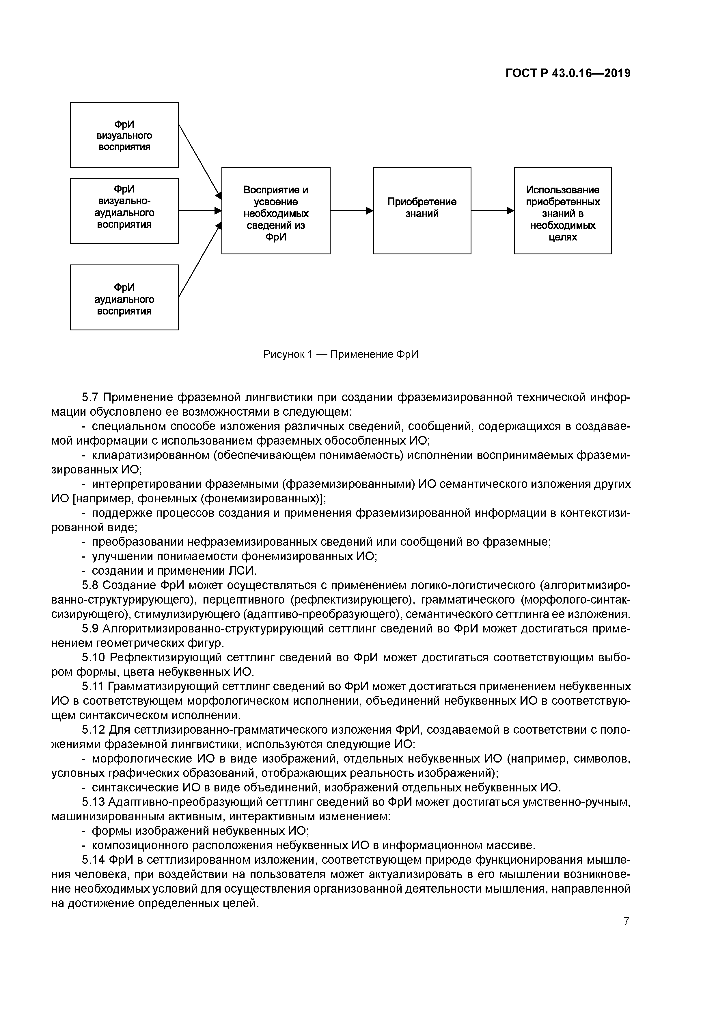
| Область применения: | Стандарт предназначен для создания фраземной информации (ФРИ) в виде, повышающем эффективность ее применения в процессе языкового функционирования мышления специалистов при проведении ими соответствующей технической деятельности с использованием фраземной информации. Стандарт устанавливает положения, относящиеся к созданию фраземной информации и применению ее специалистами с учетом возможностей своего интеллекта в проведении следующего: - фраземизированно-информационной технической деятельности, осуществляемой с соответствующей интеллектуализацией процесса ее выполнения; - создания условий для разработки ФРИ в цифро-лингвосемантизированном имажитивном исполнении, при котором фраземные сведения, выполненные с применением небуквенных информационных образований визуального восприятия репрезентируют определенные фразы звукового восприятия; - формирования с возможным использованием другой лингвосемантизированной информации у специалистов способностей к предсказанию (прогнозированию) появления и развития событий, эффективно влияющих на предотвращение возникновения аварийных и катастрофических ситуаций при осуществлении имажитивно-информационной технической деятельности. Положения стандарта могут быть использованы для применения фраземной информации языковым мышлением специалистов в интеллектуализированном осуществлении технической деятельности с созданием необходимых условий для: - лингвосемантизированного чувственного имажитивно-информационного восприятия внешней технической предметно-информационной среды (ТПИС); - осуществления лингвосемантизированной имажитивно-информационной деятельности мышления; - использования технических средств с лингвосемантизированной имажитивно-информационной поддержкой обращения с техникой; - осуществления лингвосемантизированного имажитивно-информационного взаимодействия с необходимой технической предметно-информационной средой; - создания ноон-технологизированной технической фраземной информации для ноон-технологизации с применением технической деятельности. |
| Оглавление: | 1 Область применения 2 Нормативные ссылки 3 Термины и определения 4 Сокращения 5 Общие положения 6 Основные положения |
| Разработан: | ОУ Центр НООН |
| Утверждён: | 30.07.2019 Федеральное агентство по техническому регулированию и метрологии (429-ст) |
| Издан: | Стандартинформ (2019 г. ) |
| Нормативные ссылки: |
|

























