Скачать Приказ 2827 Об утверждении государственной поверочной схемы для средств измерений активности и объемной активности бета-активных газов (ФГУП ВНИИФТРИ)Дата актуализации: 01.01.2021
|
| Обозначение: | Приказ 2827 |
| Обозначение англ: | Directive 2827 |
| Статус: | действует |
| Название рус.: | Об утверждении государственной поверочной схемы для средств измерений активности и объемной активности бета-активных газов (ФГУП "ВНИИФТРИ") |
| Дата добавления в базу: | 01.02.2020 |
| Дата актуализации: | 01.01.2021 |
| Дата введения: | 29.12.2018 |
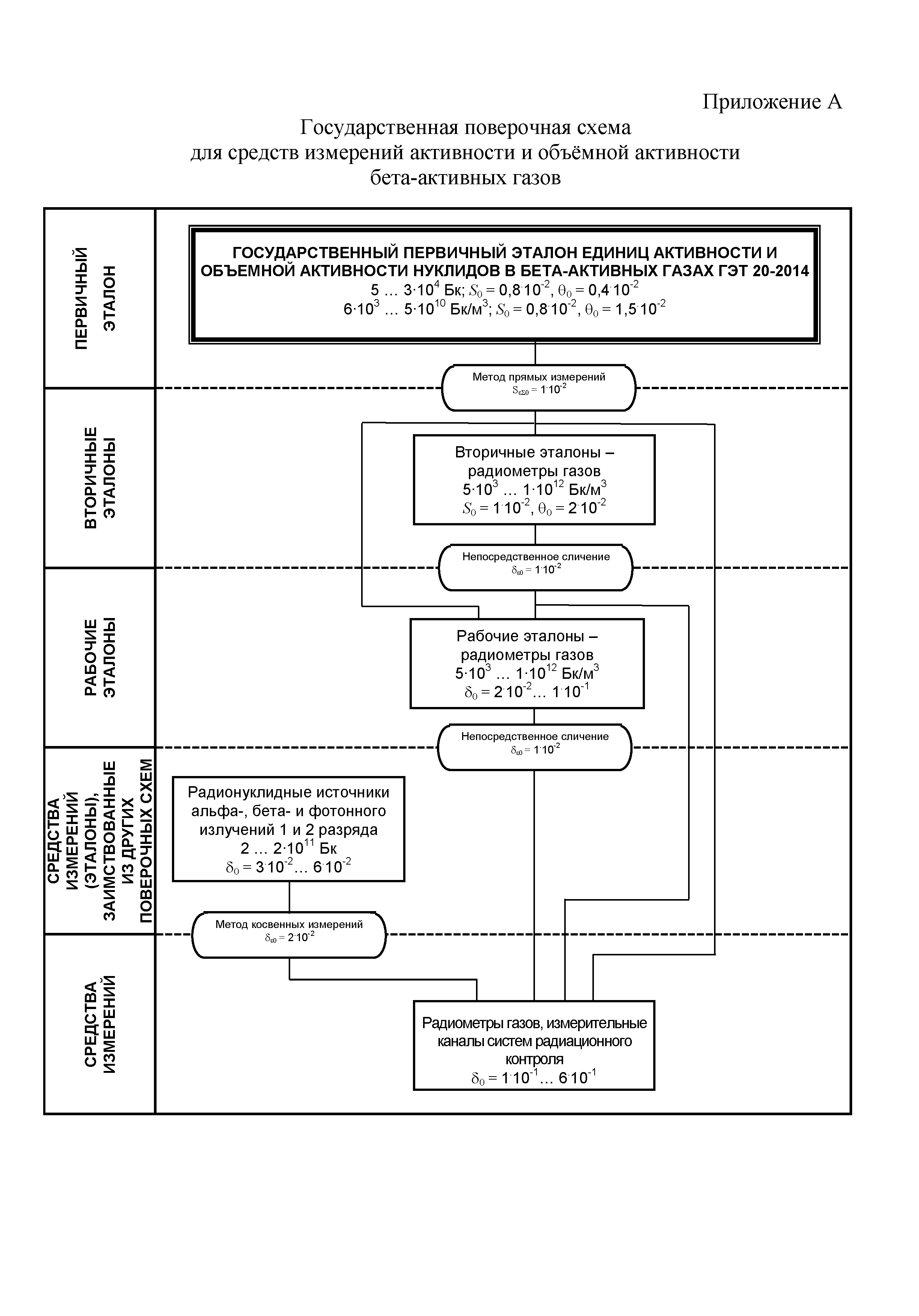
| Область применения: | Государственная поверочная схема для средств измерений активности и объемной активности бета-активных газов устанавливает порядок передачи единиц активности первичного эталона единиц активности и объемной активности нуклидов в бета-активных газах ГЭТ 20-2014 с помощью вторичных и рабочих эталонов средствам измерений с указанием погрешностей и основных методов поверки |
| Оглавление: | Государственная поверочная схема для средств измерений активности и объемной активности бета-активных газов 1. Область применения 2. Сокращения и обозначения 3. Государственные первичный эталон 4. Вторичные эталоны 5. Рабочие эталоны 6. Средства измерений (эталоны), заимствованные из других поверочных систем 7. Средства измерений Приложение А. Государственная поверочная схема для средств измерений активности и объемной активности бета-активных газов |
| Утверждён: | 29.12.2018 Федеральное агентство по техническому регулированию и метрологии (2827) |
| Издан: | Официальный сайт Федерального агентства по техническому регулированию и метрологии (РОССТАНДАРТ) () (2019 г. ) |
| Нормативные ссылки: |
|






