Скачать ГОСТ Р 43.0.20-2019 Информационное обеспечение техники операторской деятельности. ДеятельностьДата актуализации: 01.01.2021
|
| Обозначение: | ГОСТ Р 43.0.20-2019 |
| Обозначение англ: | GOST R 43.0.20-2019 |
| Статус: | введен впервые |
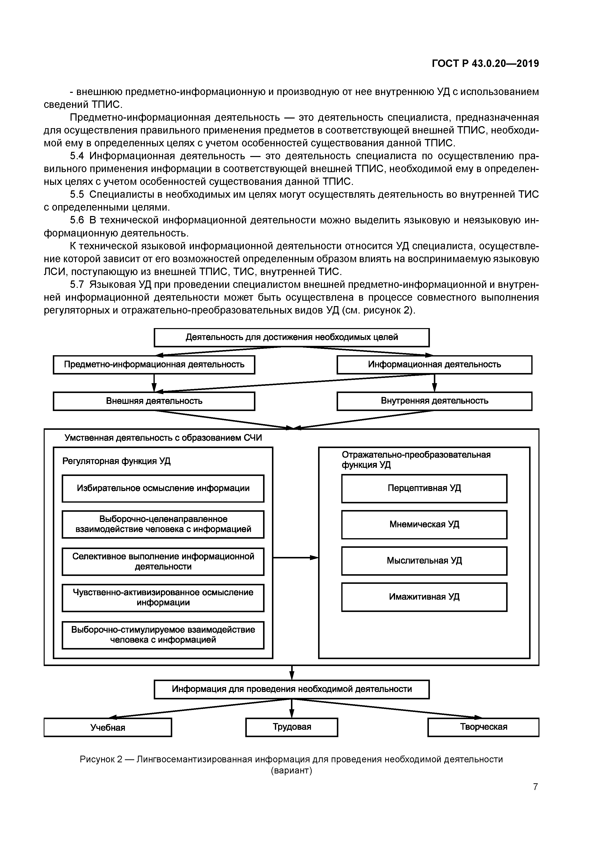
| Название рус.: | Информационное обеспечение техники операторской деятельности. Деятельность |
| Название англ.: | Informational ensuring of equipment and operational activity. Activity |
| Дата добавления в базу: | 01.02.2020 |
| Дата актуализации: | 01.01.2021 |
| Дата введения: | 01.03.2020 |
| Область применения: | Стандарт с учетом сведений из области знаний нооники устанавливает общие, основные положения, относящиеся к выполнению информационной, предметно-информационной технической деятельности, осуществляемой специалистом с использованием технической лингвосемантизированной информации (ЛСИ) различного назначения и исполнения при проведении им необходимых немашинизированных, машинизированных (цифровизированных) умственных взаимодействий специалиста с соответствующей воспринимаемой ЛСИ, осуществляемых при возникновении информационнообменных процессов (ИОП), с осознанным или неосознанным образованием систем "человек—информация" (СЧИ) определенного временного существования, влияющих на результативное выполнение технической деятельности. Положения стандарта могут быть использованы в целях интеллектуализированного проведения специалистом технической информационной, предметно-информационной деятельности с применением соответствующей технической ЛСИ, позволяющие создавать необходимые условия: - для лингвистизированного чувственного восприятия внешней технической предметно-информационной среды (ТПИС); - осуществления ноон-технологизации лингвистизированной технической деятельности с применением ноон-технологизированной технической информации; - лингвистизированного использования технических средств поддержки обращения с техникой; - осуществления лингвистизированного информационного взаимодействия с необходимой ТПИС; - развития области знаний, относящейся к информационной психологии; - совершенствования и развития лингвосемантизированного человекоинформационного функционирования техносферы для осуществления образовательной, трудовой и творческой деятельности с повышенной эффективностью. |
| Оглавление: | 1 Область применения 2 Нормативные ссылки 3 Термины и определения 4 Сокращения 5 Общие положения 6 Основные положения |
| Разработан: | ОУ Центр НООН |
| Утверждён: | 27.08.2019 Федеральное агентство по техническому регулированию и метрологии (535-ст) |
| Издан: | Стандартинформ (2019 г. ) |
| Нормативные ссылки: |
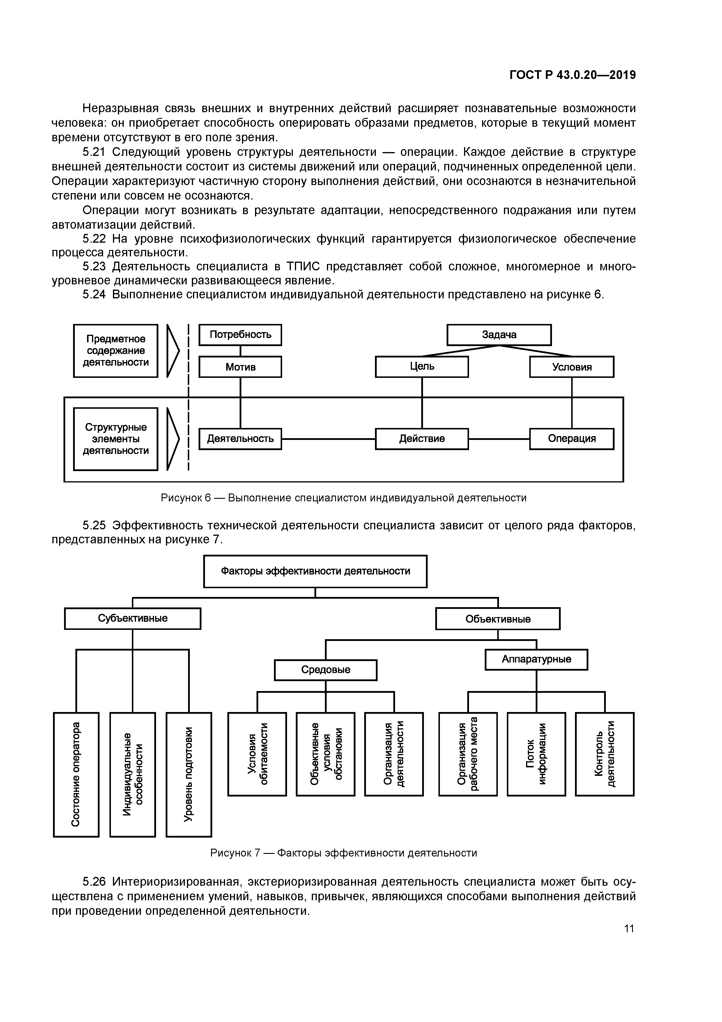
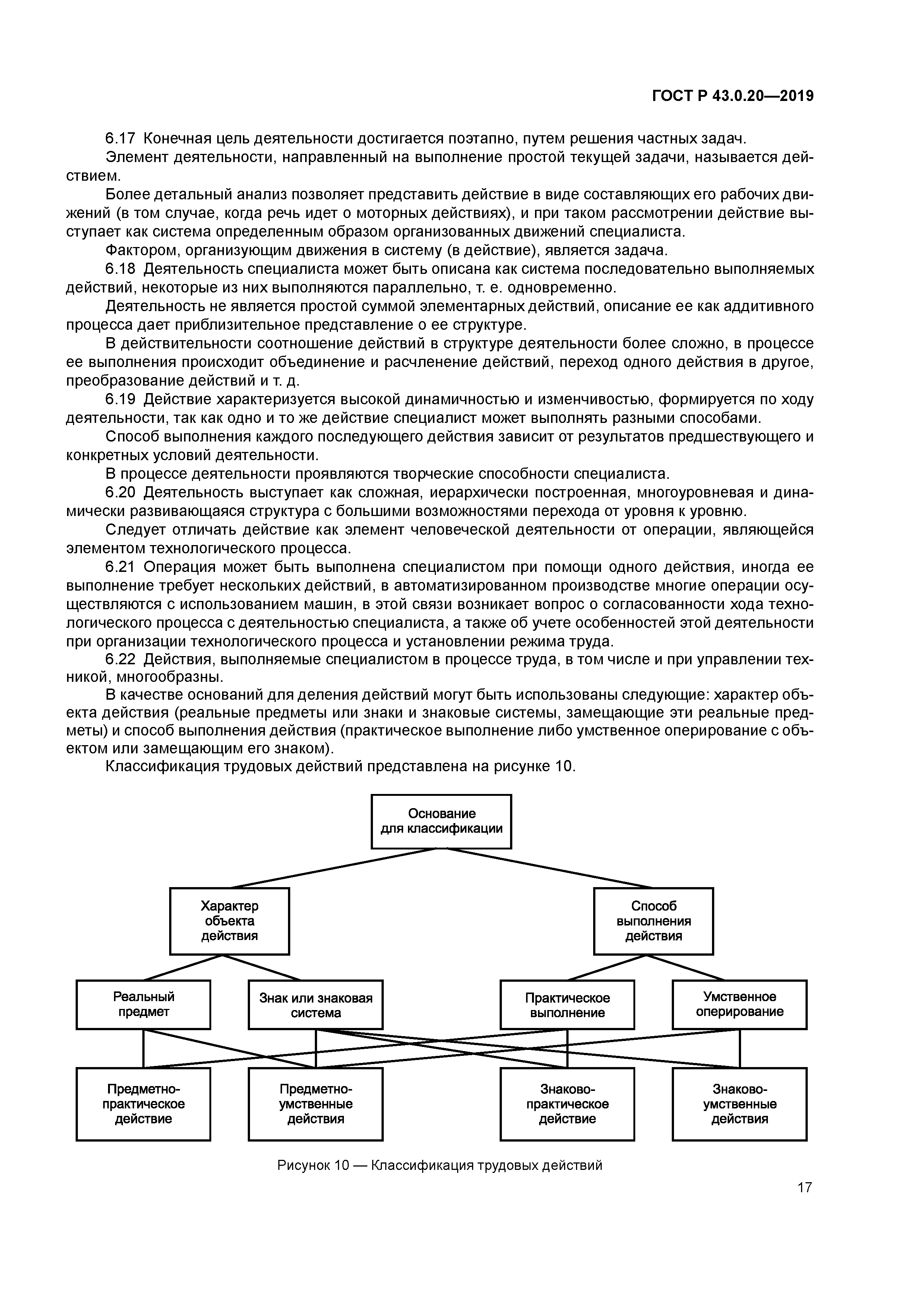
|























