Скачать ГОСТ Р 58501-2019 Информатизация здоровья. Обмен данными с персональными медицинскими приборами. Часть 10425. Специализация прибора: глюкометр непрерывного действия (CGM)Дата актуализации: 01.01.2021
|
| Обозначение: | ГОСТ Р 58501-2019 |
| Обозначение англ: | GOST R 58501-2019 |
| Статус: | введен впервые |
| Название рус.: | Информатизация здоровья. Обмен данными с персональными медицинскими приборами. Часть 10425. Специализация прибора: глюкометр непрерывного действия (CGM) |
| Название англ.: | Health informatics. Personal health device communication. Part 10425. Device specialization: continuous glucose monitor (CGM) |
| Дата добавления в базу: | 01.02.2020 |
| Дата актуализации: | 01.01.2021 |
| Дата введения: | 01.05.2020 |
| Область применения: | Стандарт устанавливает нормативное определение обмена данными между глюкометрами непрерывного действия (CGM) и менеджерами (например, сотовыми телефонами, персональными компьютерами, бытовыми медицинскими приборами, телевизионными приставками), при котором обеспечивается интероперабельность с автоматическим конфигурированием. В стандарте используются соответствующие части существующих стандартов, включая терминологию и информационные модели ISO/IEEE 11073. В нем указывается использование специфичных кодов терминов, форматов и вариантов поведения в телемедицинской среде, ограничивающих необязательность основных инфраструктур в пользу интероперабельности. В стандарте определена общая основа коммуникационной функциональности устройств CGM. В этом контексте CGM относится к регулярному (как правило, через 5 мин) измерению уровня глюкозы в организме с помощью датчика, постоянно закрепленного на теле. Стандарт удовлетворяет потребность в открытом для публики, независимом стандарте контроля обмена информацией между персональными медицинскими приборами (ПМП) и вычислительными устройствами (например, сотовыми телефонами, персональными компьютерами, бытовыми медицинскими приборами, телевизионными приставками). Интероперабельность является ключевым фактором роста потенциального рынка этих устройств и позволяет людям быть более информированными участниками процесса управления своим здоровьем. |
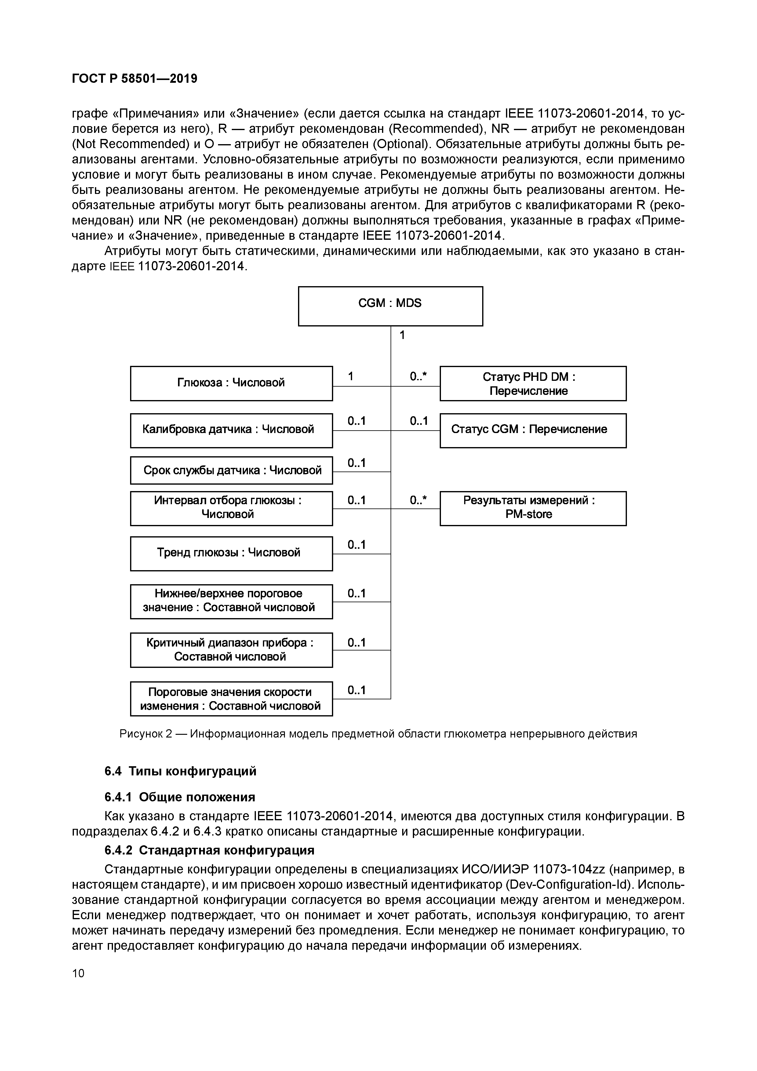
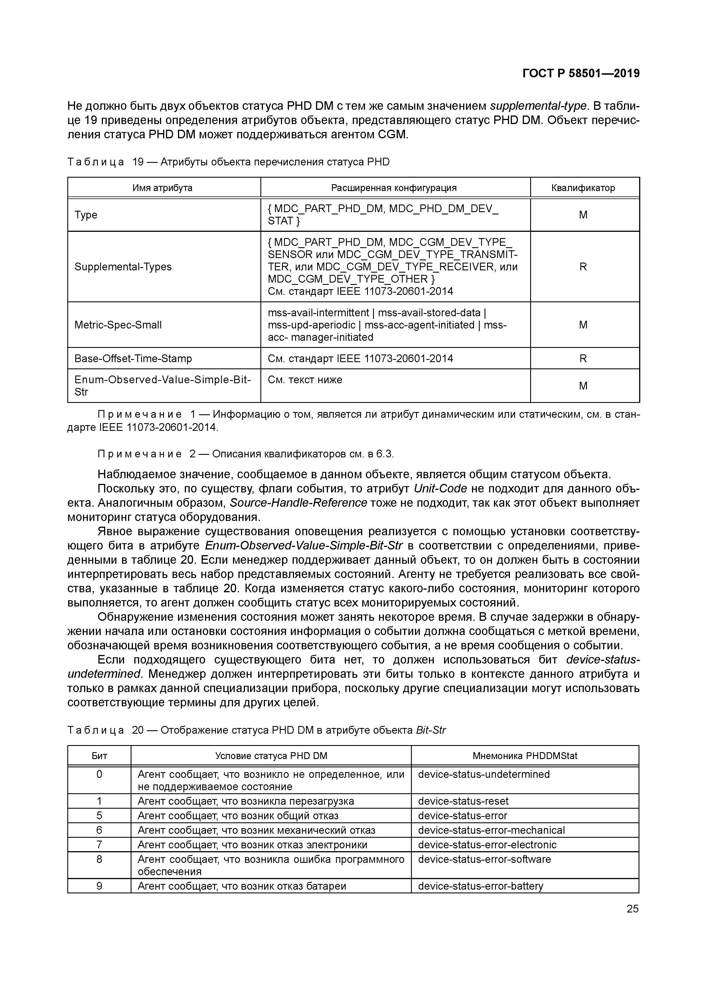
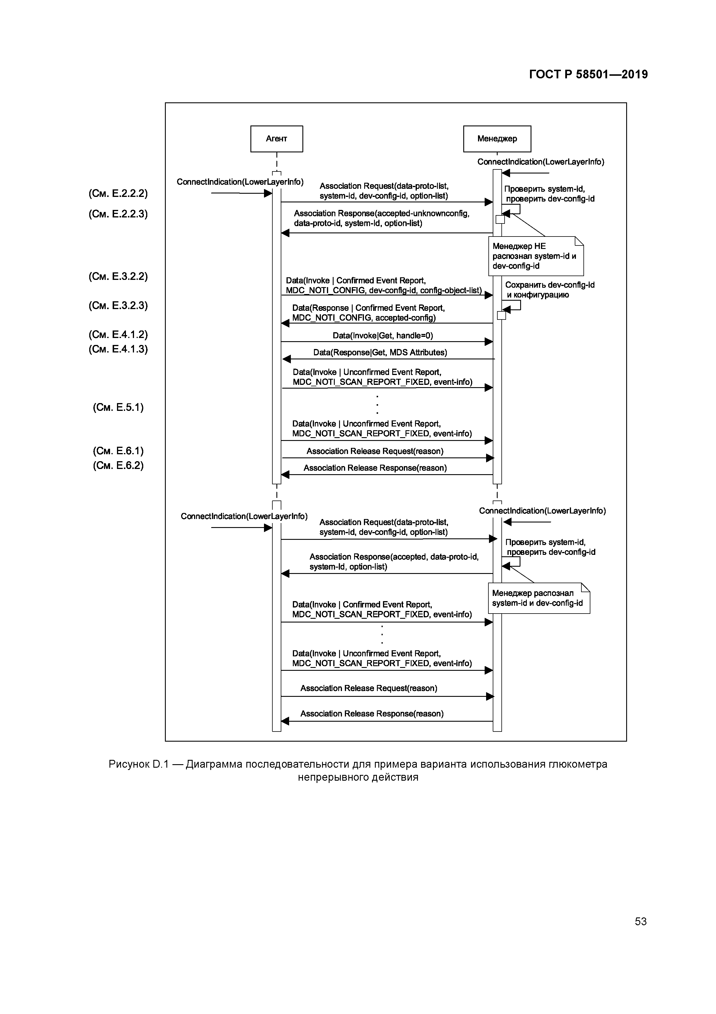
| Оглавление: | 1 Обзор 1.1 Область применения 1.2 Назначение 1.3 Контекст 2 Нормативные ссылки 3 Термины, определения и сокращения 3.1 Термины и определения 3.2 Сокращения 4 Введение в стандарты комплекса IEEE 11073TM по персональным медицинским приборам 4.1 Общие положения 4.2 Введение в структуры моделирования IEEE 11073-20601 4.3 Соответствие другим стандартам 5 Понятия и модальности мониторинга глюкозы 5.1 Общие положения 5.2 Типы приборов 5.3 Взаимосвязь агента CGM с менеджером 5.4 Собранные данные 5.5 Хранимые данные 6 Информационная модель предметной области непрерывного мониторинга глюкозы 6.1 Обзор 6.2 Расширения класса 6.3 Диаграмма экземпляров объектов 6.4 Типы конфигураций 6.5 Профили 6.6 Объект системы медицинского прибора (MDS) 6.7 Числовые объекты 6.8 Объекты массива считываний в реальном времени 6.9 Объекты перечислений 6.10 Объекты PM-store 6.11 Объекты класса Scanner 6.12 Объекты расширения класса 6.13 Правила расширения информационной модели CGM 7 Сервисная модель глюкометра непрерывного действия 7.1 Общие положения 7.2 Сервисы доступа к объекту 7.3 Сервисы отчетов о событиях доступа к объекту 8 Коммуникационная модель глюкометра непрерывного действия 8.1 Обзор 8.2 Характеристики коммуникации 8.3 Процедура ассоциации 8.4 Процедура конфигурирования 8.5 Процедура выполнения 8.6 Синхронизация времени 9 Тестовые ассоциации 9.1 Поведение в стандартной конфигурации 9.2 Поведение в расширенных конфигурациях 10 Соответствие 10.1 Применимость 10.2 Спецификация соответствия 10.3 Уровни соответствия 10.4 Заявления о соответствии реализации Приложение A (справочное) Библиография Приложение B (обязательное) Дополнительные определения ACH.1 Приложение C (обязательное) Присвоение идентификаторов Приложение D (справочное) Примеры последовательности сообщений Приложение E (справочное) Примеры блока данных протокола Приложение ДА (справочное) Сведения о соответствии ссылочных международных стандартов национальным и межгосударственным стандартам |
| Разработан: | ФГУП СТАНДАРТИНФОРМ |
| Утверждён: | 29.08.2019 Федеральное агентство по техническому регулированию и метрологии (571-ст) |
| Издан: | Стандартинформ (2019 г. ) |













































































