Скачать ГОСТ Р ИСО 20140-3-2019 Системы промышленной автоматизации и интеграция. Оценка энергетической эффективности и прочих факторов производственных систем, воздействующих на окружающую среду. Часть 3. Процесс агрегации данных оценки экологической эффективностиДата актуализации: 01.01.2021
|
| Обозначение: | ГОСТ Р ИСО 20140-3-2019 |
| Обозначение англ: | GOST R ISO 20140-3-2019 |
| Статус: | введен впервые |
| Название рус.: | Системы промышленной автоматизации и интеграция. Оценка энергетической эффективности и прочих факторов производственных систем, воздействующих на окружающую среду. Часть 3. Процесс агрегации данных оценки экологической эффективности |
| Название англ.: | Automation systems and integration. Evaluating energy efficiency and other factors of manufacturing systems that influence the environment. Part 3. Environmental performance evaluation data aggregation process |
| Дата добавления в базу: | 01.02.2020 |
| Дата актуализации: | 01.01.2021 |
| Дата введения: | 01.01.2020 |
| Область применения: | Стандарт устанавливает процесс агрегации данных оценки экологической эффективности (ЕРЕ-данных) в соответствии с процедурой оценки экологической эффективности, установленной в ИСО 20140-2, для наборов данных оценки экологической эффективности, подготовленных в соответствии с ИСО 20140-5. Стандарт не конкретизирует вышеуказанный процесс агрегации в привязке к конкретной реализации производственной системы. |
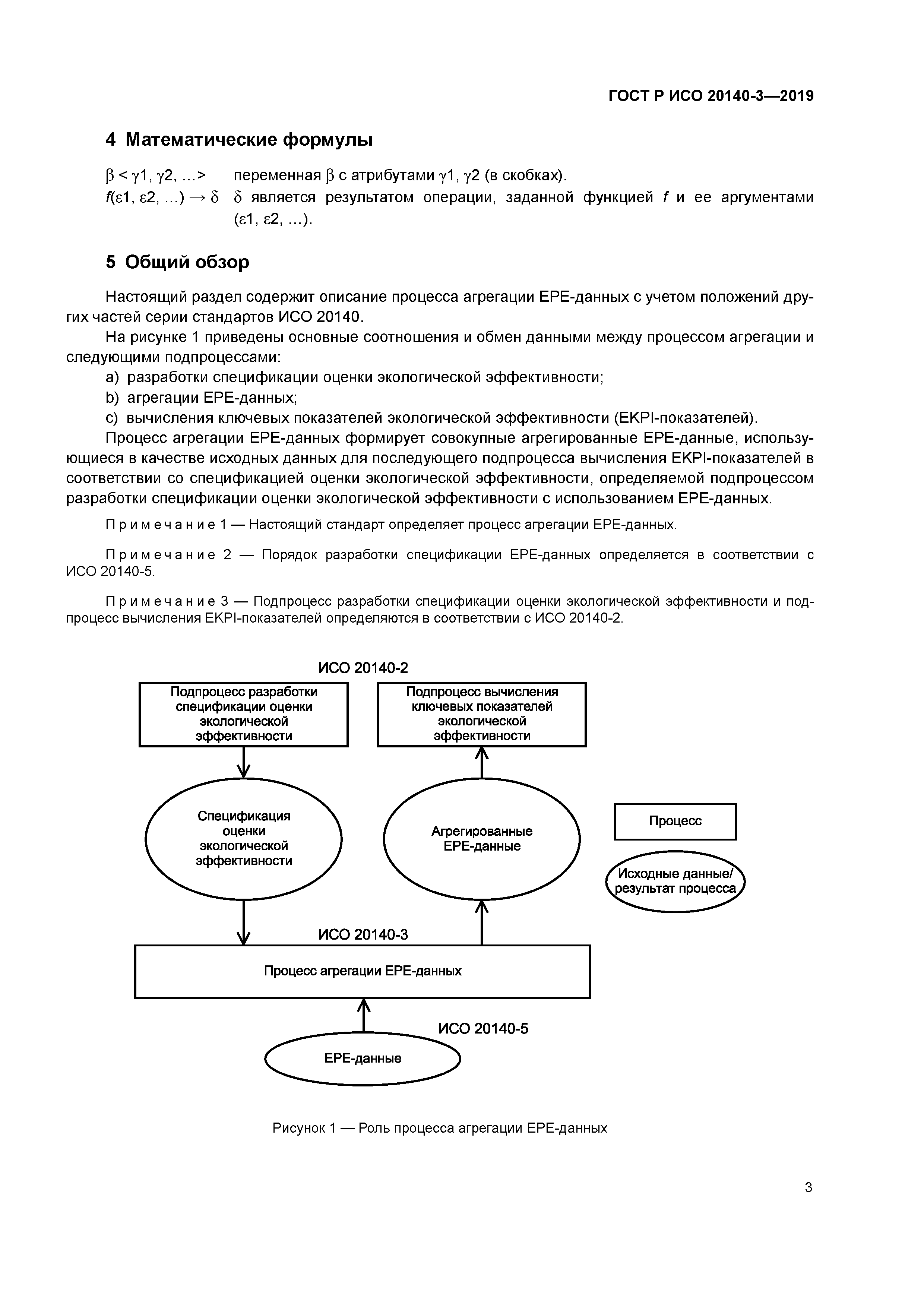
| Оглавление: | 1 Область применения 2 Нормативные ссылки 3 Термины и определения 4 Математические формулы 5 Общий обзор 6 Исходные данные процесса агрегации ЕРЕ-данных 7 Структура и функции подпроцессов 8 Спецификации подпроцессов 8.1 Подпроцесс декомпозиции 8.2 Подпроцесс преобразования 8.3 Подпроцесс суммирования (объединения) 8.4 Интерфейс подпроцесса выделения части воздействия/постановки в соответствие Приложение ДА (справочное) Сведения о соответствии ссылочных международных стандартов национальным и межгосударственным стандартам Библиография |
| Разработан: | ООО НИИ Интерэкомс |
| Утверждён: | 12.09.2019 Федеральное агентство по техническому регулированию и метрологии (670-ст) |
| Издан: | Стандартинформ (2019 г. ) |
| Нормативные ссылки: |















