Скачать ГОСТ Р ИСО 20140-5-2019 Системы промышленной автоматизации и интеграция. Оценка энергетической эффективности и прочих факторов производственных систем, воздействующих на окружающую среду. Часть 5. Данные оценки экологической эффективностиДата актуализации: 01.01.2021
|
| Обозначение: | ГОСТ Р ИСО 20140-5-2019 |
| Обозначение англ: | GOST R ISO 20140-5-2019 |
| Статус: | введен впервые |
| Название рус.: | Системы промышленной автоматизации и интеграция. Оценка энергетической эффективности и прочих факторов производственных систем, воздействующих на окружающую среду. Часть 5. Данные оценки экологической эффективности |
| Название англ.: | Automation systems and integration. Evaluating energy efficiency and other factors of manufacturing systems that influence the environment. Part 5. Environmental performance evaluation data |
| Дата добавления в базу: | 01.02.2020 |
| Дата актуализации: | 01.01.2021 |
| Дата введения: | 01.01.2020 |
| Область применения: | В стандарте определены типы ЕРЕ-данных и их атрибуты, используемые для оценки экологической эффективности производственных систем и основанные на общих принципах, установленных в ИСО 20140-1. Кроме того, в нем содержатся рекомендации по отображению (мэппингу) данных по оценке экологической эффективности на информационные модели производственных систем, определенные в комплексе стандартов МЭК 62264. Стандарт может применяться к процессам дискретного, непрерывного и серийного производства. Стандарт может применяться на всех типах производственных предприятий и их частях (производственное оборудование, сконфигурированное на основе рабочей единицы, рабочего центра, рабочей области или промышленного предприятия). Стандарт не распространяется: - на оценку жизненного цикла продукции; - результаты ЕРЕ-оценок, которые специфичны для той или иной отрасли промышленности, производителя или оборудования; - аспекты сбора данных; - аспекты передачи данных. |
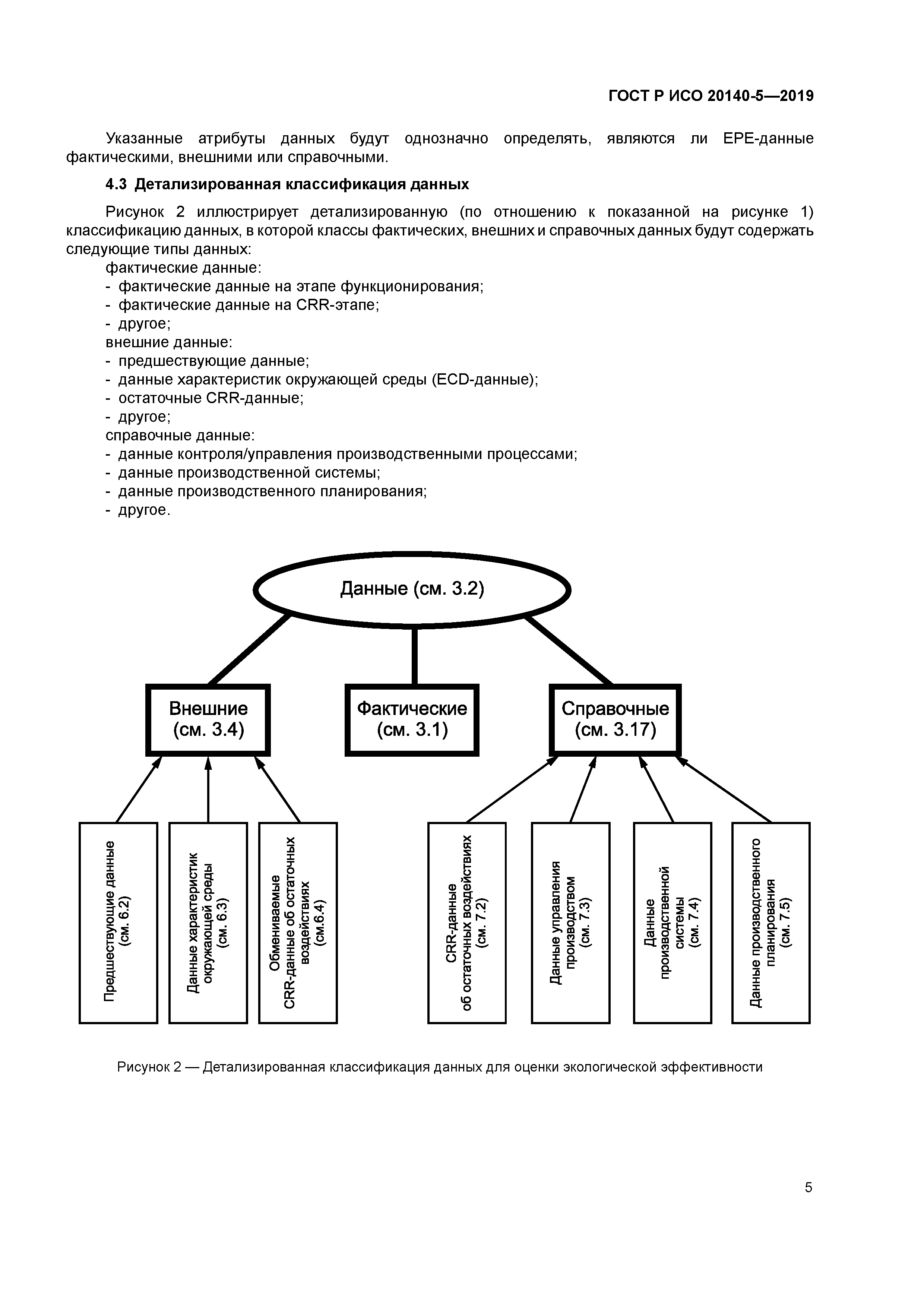
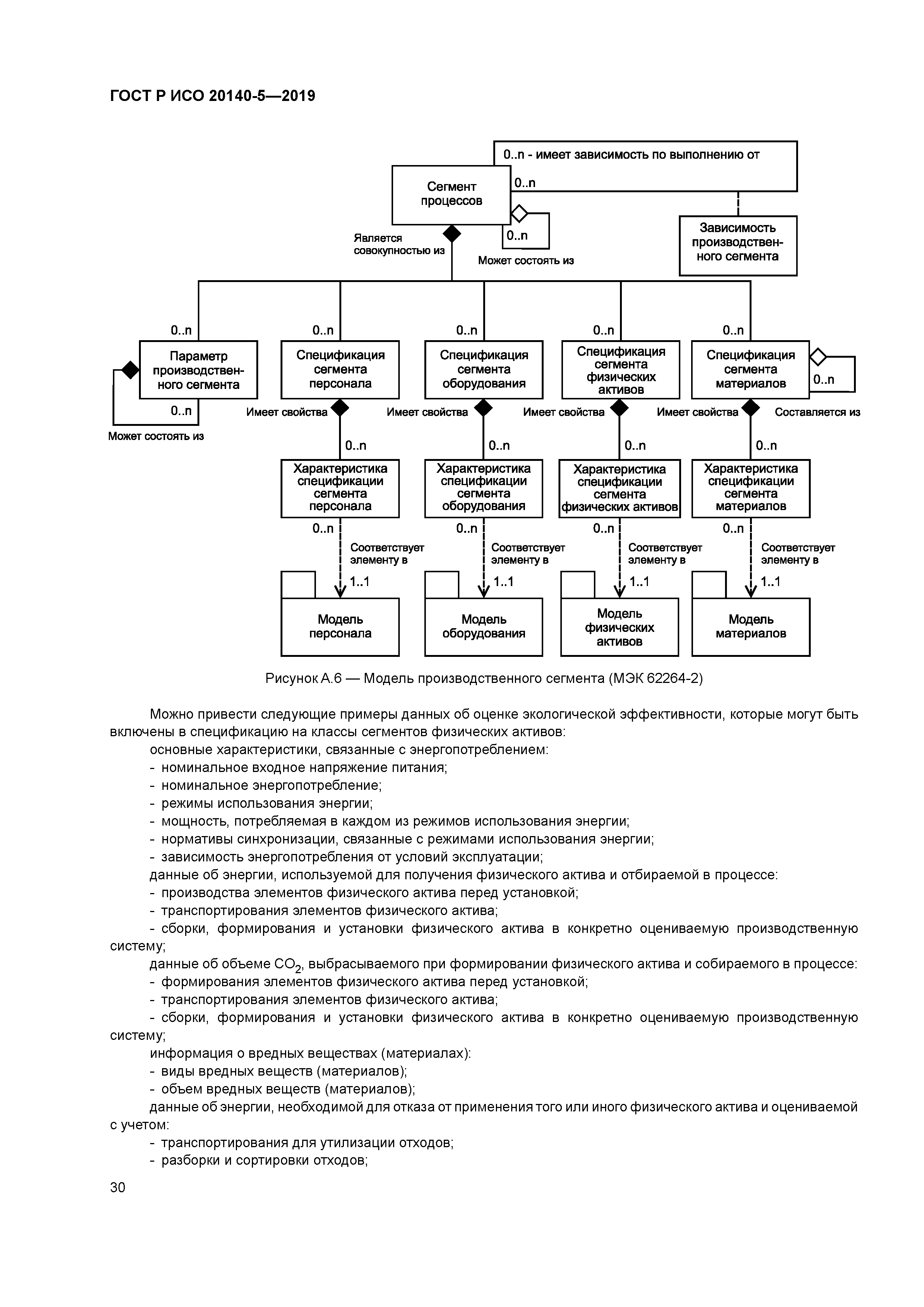
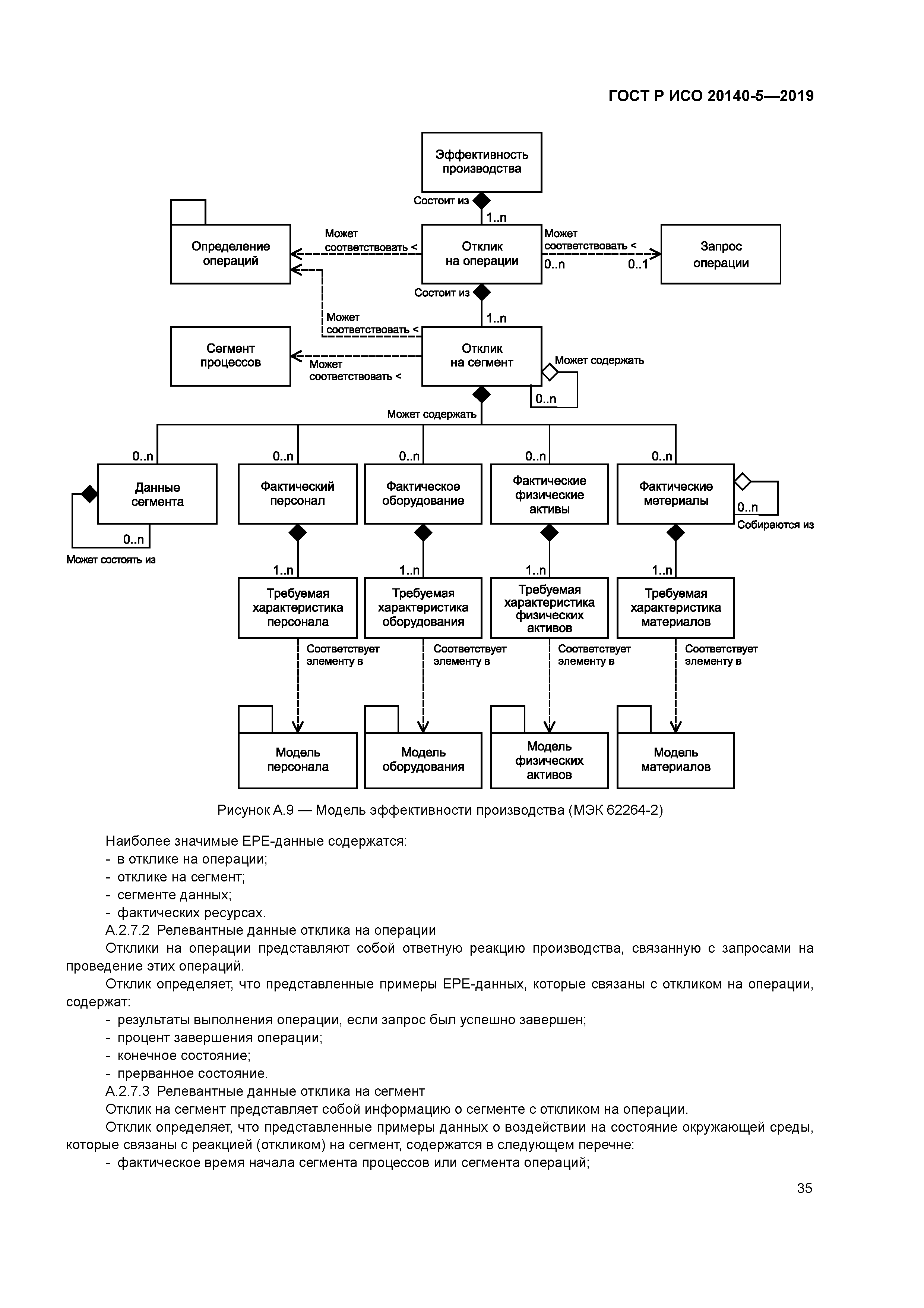
| Оглавление: | 1 Область применения 2 Нормативные ссылки 3 Термины и определения 4 Источники данных для оценки экологической эффективности 4.1 Контекстная информация в данных по оценке экологической эффективности 4.2 Классификация данных по времени их получения и источникам информации 4.3 Детализированная классификация данных 5 Фактические данные 5.1 Общие сведения 5.2 Источники фактических данных 5.3 Фактические данные, получаемые на этапе функционирования 5.4 Фактические данные, получаемые на CRR-этапе 6 Внешние данные 6.1 Общие сведения 6.2 Предшествующие данные 6.3 Данные характеристик окружающей среды 6.4 Обмениваемые CRR-данные об остаточных воздействиях 7 Справочные данные 7.1 Общие сведения 7.2 CRR-данные об остаточных воздействиях 7.3 Данные управления производством 7.4 Данные производственной системы 7.5 Данные производственного планирования 8 Отображение данных об оценке экологической эффективности 8.1 Общие сведения 8.2 Классификация данных, относящихся к энергетическому менеджменту 8.3 Различия между фактическими данными уровней 2 и 3 и уровней 3 и 4 Приложение A (справочное) Отображение ЕРЕ-данных Приложение B (справочное) Общая объектная модель МЭК 62264-2 Приложение C (справочное) Структура записи КРI-показателей в соответствии с ИСО 22400-2 Приложение D (справочное) Пример применения: измерение детализированного и общего фактического энергопотребления Приложение E (справочное) Предварительно предоставляемые данные о веществах (материалах). Региональные нормативы и международные стандарты Приложение F (справочное) Выбросы парниковых газов в рамках жизненного цикла использования различных источников энергии Приложение G (справочное) Атрибуты, используемые в моделях энергетических данных Приложение ДА (справочное) Сведения о соответствии ссылочных международных стандартов национальным стандартам Библиография |
| Разработан: | ООО НИИ Интерэкомс |
| Утверждён: | 12.09.2019 Федеральное агентство по техническому регулированию и метрологии (671-ст) |
| Издан: | Стандартинформ (2019 г. ) |
| Нормативные ссылки: |





























































