Скачать Прейскурант 24-07 Оптовые цены на оборудование центрального отопления и горячего водоснабжения и оборудование санитарно-техническое и водоразборную арматуруДата актуализации: 01.01.2021
|
| Обозначение: | Прейскурант 24-07 |
| Обозначение англ: | 24-07 |
| Статус: | утратил силу |
| Название рус.: | Оптовые цены на оборудование центрального отопления и горячего водоснабжения и оборудование санитарно-техническое и водоразборную арматуру |
| Дата добавления в базу: | 01.02.2020 |
| Дата актуализации: | 01.01.2021 |
| Дата введения: | 01.01.1982 |
| Дата окончания срока действия: | 01.01.1990 |
| Область применения: | Оптовые цены прейскуранта и нормативы чистой продукции распространяются на продукцию, производимую предприятиями системы министерств и ведомств СССР, а также предприятиями главных управлений по строительству и главных управлений по производству строительных материалов Московского и Ленинградского облисполкомов и горисполкомов (городов республиканского подчинения) Советов народных депутатов. Оптовые цены прейскуранта применяются при расчетах поставщиков со всеми покупателями указанной в прейскуранте продукции, за исключением продукции, поставляемой торговым организациям, расчеты по которой производятся по розничным ценам за вычетом торговых скидок. |
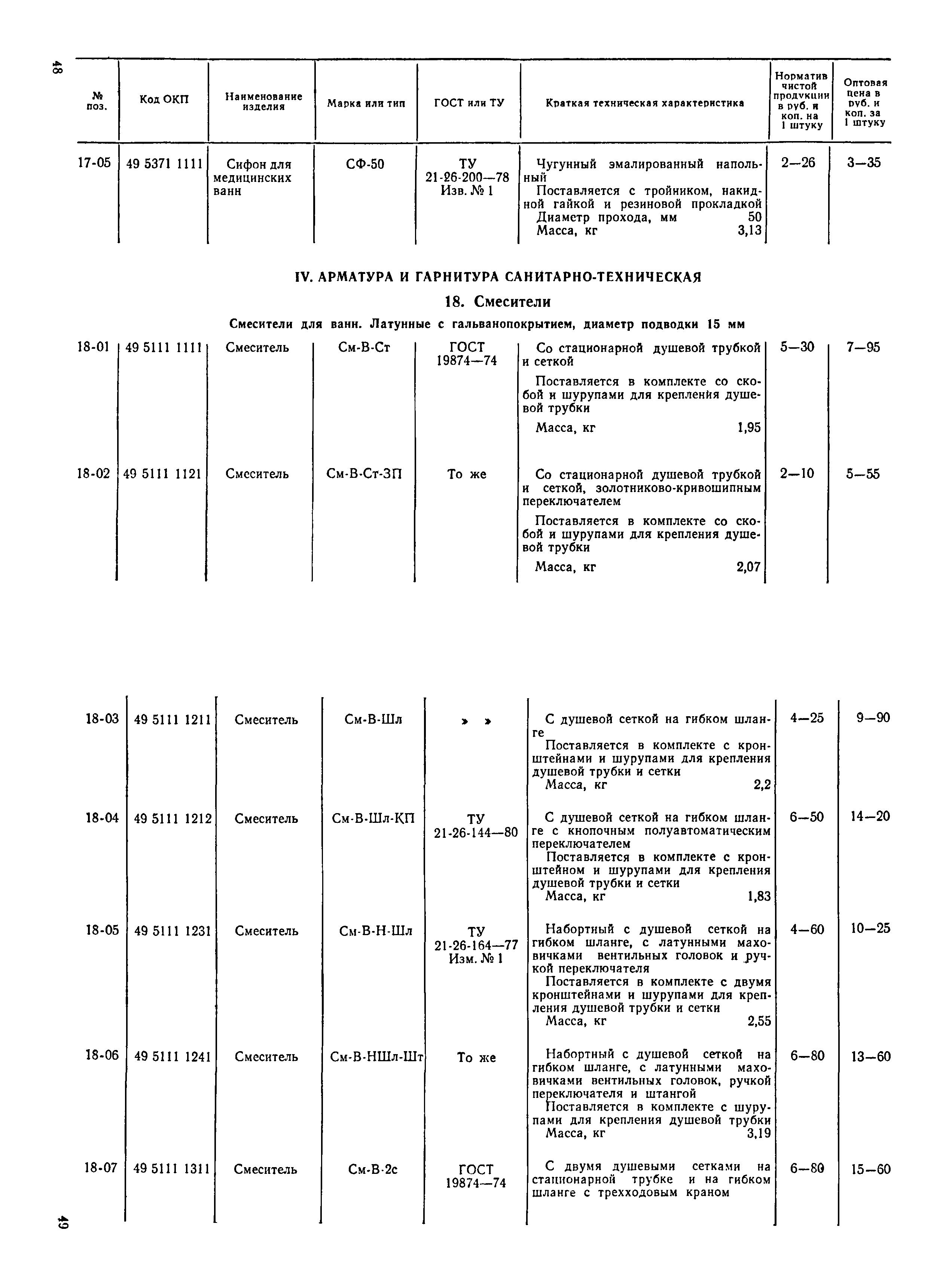
| Оглавление: | Общие указания I. Средства крепления, комплектующие к санитарно-техническому оборудованию II. Оборудование и приборы для отопления и горячего водоснабжения III. Оборудование санитарно-техническое из металлов IV. Арматура и гарнитура санитарно-техническая V. Разные изделия Алфавитный указатель Указатель продукции |
| Разработан: | НИИ санитарной техники Минпромстройматериалов СССР |
| Утверждён: | 02.02.1981 Госкомцен СССР (92) |
| Издан: | Прейскурантиздат (1981 г. ) |
| Нормативные ссылки: |
|




























































