Скачать ГОСТ Р 58542-2019 Интегрированные системы менеджмента. Руководство по практическому применениюДата актуализации: 01.01.2021
|
| Обозначение: | ГОСТ Р 58542-2019 |
| Обозначение англ: | GOST R 58542-2019 |
| Статус: | введен впервые |
| Название рус.: | Интегрированные системы менеджмента. Руководство по практическому применению |
| Название англ.: | Integrated management systems. Practical guide |
| Дата добавления в базу: | 01.02.2020 |
| Дата актуализации: | 01.01.2021 |
| Дата введения: | 01.01.2020 |
| Область применения: | Стандарт содержит общие рекомендации по внедрению IMS-системы на предприятиях всех отраслей, вне зависимости от их типа и размера. Стандарт оставляет свободу организациям для последующего рассмотрения конкретных аспектов (например, вопросов охраны труда, эргономики или управления рисками), которые, возможно, еще не формализованы или даже не были проанализированы в организации, но которые теперь могут рассматриваться с использованием предлагаемого в настоящем стандарте подхода. Принципы непрерывного совершенствования и оценки рисков в рамках настоящего стандарта применяются повсеместно, последнее означает, что любая предпринятая мера будет предназначаться для одновременного совершенствования в нескольких областях (например, качества продукции, охраны окружающей среды, обеспечения безопасности и т. Д.). Стандарт также может оказать практическую помощь бизнес-сообществу в принятии решений, не ограничивая при этом его свободу выбора в части инструментов и средств менеджмента. |
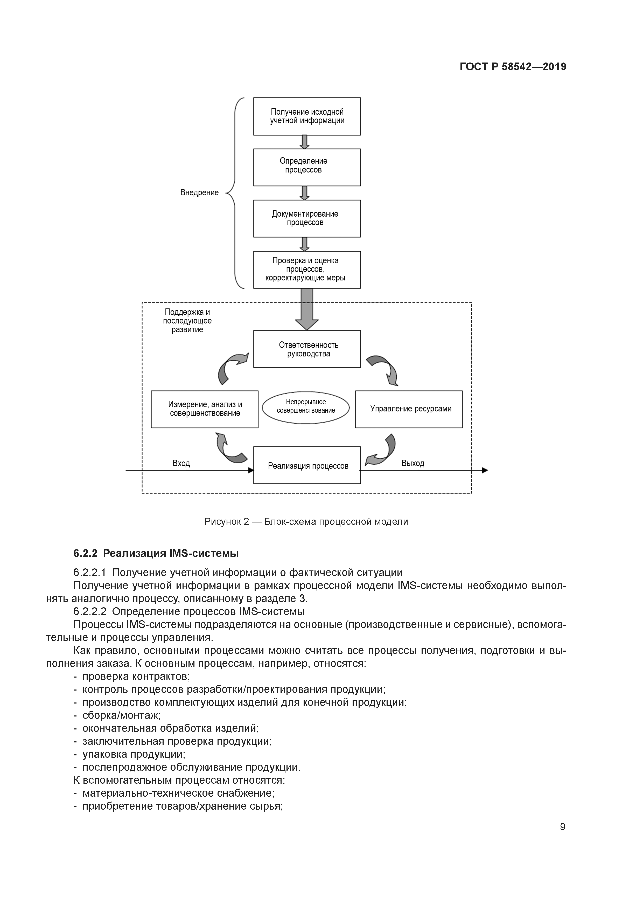
| Оглавление: | 1 Область применения 2 Нормативные ссылки 3 Определение структуры IMS-системы 4 Подготовка исходных данных 5 Реализация IMS-системы 5.1 Корпоративный имидж 5.2 Ориентирование бизнес-процессов 5.3 Документирование рабочих процедур 5.4 Информирование сотрудников компании 6 Средства реализации IMS-системы 6.1 Реализация IMS-системы на основе PDCA-модели 6.2 Реализация IMS-системы на основе процессной модели Приложение А (справочное) Примеры практического применения интегрированных систем менеджмента |
| Разработан: | ООО НИИ Интерэкомс АО ВНИИС |
| Утверждён: | 20.09.2019 Федеральное агентство по техническому регулированию и метрологии (730-ст) |
| Издан: | Стандартинформ (2019 г. ) |
| Нормативные ссылки: |
|



















