Скачать ГОСТ Р 58539-2019 Информационные технологии. Концепция интероперабельности на основе метамоделей. Часть 1. Основные положенияДата актуализации: 01.01.2021
|
| Обозначение: | ГОСТ Р 58539-2019 |
| Обозначение англ: | GOST R 58539-2019 |
| Статус: | введен впервые |
| Название рус.: | Информационные технологии. Концепция интероперабельности на основе метамоделей. Часть 1. Основные положения |
| Название англ.: | Information technology. Metamodel framework for interoperability (MFI). Part 1. Framework and classes |
| Дата добавления в базу: | 01.02.2020 |
| Дата актуализации: | 01.01.2021 |
| Дата введения: | 01.01.2020 |
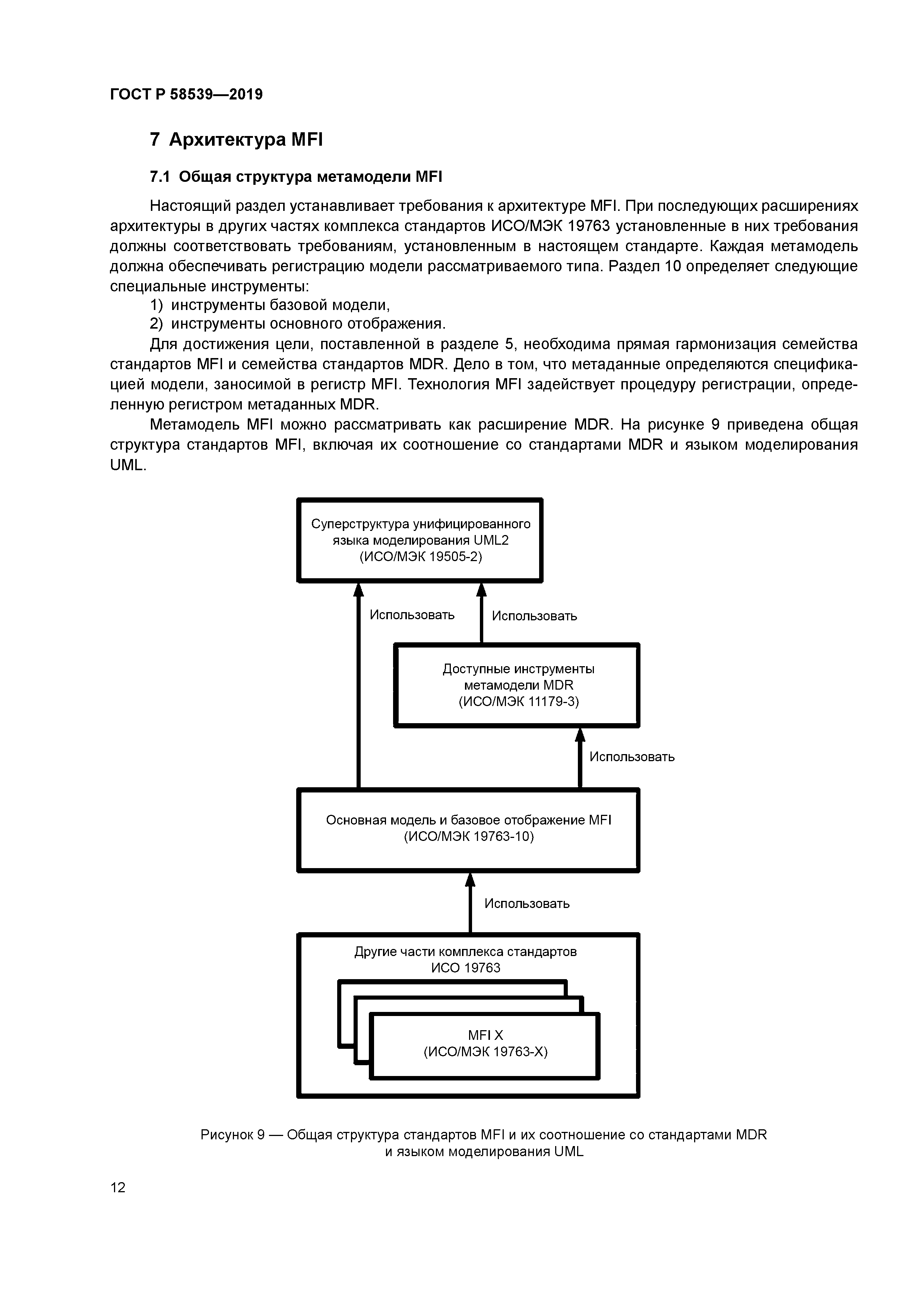
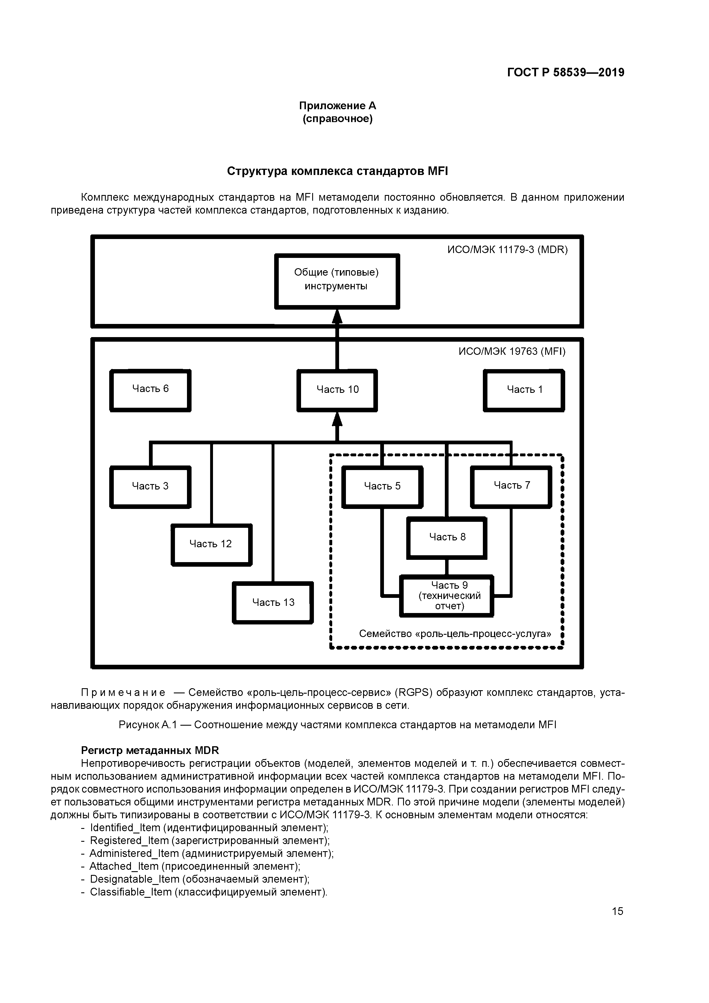
| Область применения: | Основные требования В стандарте определены цели применения, основные понятия, общая архитектура и базовые требования к метамоделям MFI. Технология MFI устанавливает набор нормативных метамоделей, обеспечивающих занесение различных типов моделей в регистр. для представления метамодели используется унифицированный язык моделирования UML. Стандарт является первым стандартом комплекса стандартов ИСО/МЭК 19763 и содержит краткое описание всех частей комплекса. Комплекс стандартов ИСО/МЭК 19763 состоит из следующих частей: - базовая модель и инструменты отображения моделей (часть 10); - метамодель регистрации онтологии (часть 3); - метамодель регистрации модели процесса (часть 5); - метамодель регистрации модели информационного сервиса (часть 7); - метамодель регистрации модели роли и цели (часть 8); - технический отчет о выборе (по запросу) модели на основе RGPS "роль-цель-процесс-сервис" (часть 9); - метамодель регистрации информационной модели (часть 12); - метамодель регистрации формы представления документа (часть 13); - метамодель сводки регистра (часть 6). Указанные части более детально рассматриваются в приложении А. Исключения Технология MFI не определяет физической структуры регистра, содержащего информацию о моделях. Метамодели MFI определяют стандартные представления для регистрации экземпляров моделей в регистре. При этом соответствующие документы экземпляров моделей могут храниться в репозитории моделей. |
| Оглавление: | 1 Область применения 1.1 Основные требования 1.2 Исключения 2 Требования соответствия 3 Нормативные ссылки 4 Термины, определения и сокращения 4.1 Термины и определения 4.2 Сокращения 5 Назначение и цели технологии MFI 5.1 Назначение метамоделей MFI54 5.2 Повышение интероперабельности и возможности интеграции 5.2.1 Введение 5.2.2 Системная интероперабельность 5.2.3 Семантическая интероперабельность 5.3 Интероперабельность регистров 5.4 Обнаружение модели в сети 6 Занесение модели в регистр 6.1 Идея применения метамодели MFI 6.2 Процедура занесения модели в регистр 7 Архитектура MFI 7.1 Общая структура метамодели MFI 7.2 Типовые инструменты создания метамодели MFI Приложение А (справочное) Структура комплекса стандартов MFI Приложение В (справочное) Перспективы гармонизации стандартов MFI и стандартов MDR Приложение ДА (справочное) Сведения о соответствии ссылочных международных стандартов национальным стандартам Библиография |
| Разработан: | ООО НИИ Интерэкомс АО ВНИИС |
| Утверждён: | 19.09.2019 Федеральное агентство по техническому регулированию и метрологии (719-ст) |
| Издан: | Стандартинформ (2019 г. ) |
| Нормативные ссылки: |























