Скачать ГОСТ Р ИСО 10303-242-2019 Системы автоматизации производства и их интеграция. Представление данных об изделии и обмен этими данными. Часть 242. Прикладной протокол. Управляемое проектирование на основе модели 3DДата актуализации: 01.01.2021
|
| Обозначение: | ГОСТ Р ИСО 10303-242-2019 |
| Обозначение англ: | GOST R ISO 10303-242-2019 |
| Статус: | введен впервые |
| Название рус.: | Системы автоматизации производства и их интеграция. Представление данных об изделии и обмен этими данными. Часть 242. Прикладной протокол. Управляемое проектирование на основе модели 3D |
| Название англ.: | Industrial automation systems and integration. Product data representation and exchange. Part 242. Application protocol. Managed model-based 3D engineering |
| Дата добавления в базу: | 01.02.2020 |
| Дата актуализации: | 01.01.2021 |
| Дата введения: | 01.01.2020 |
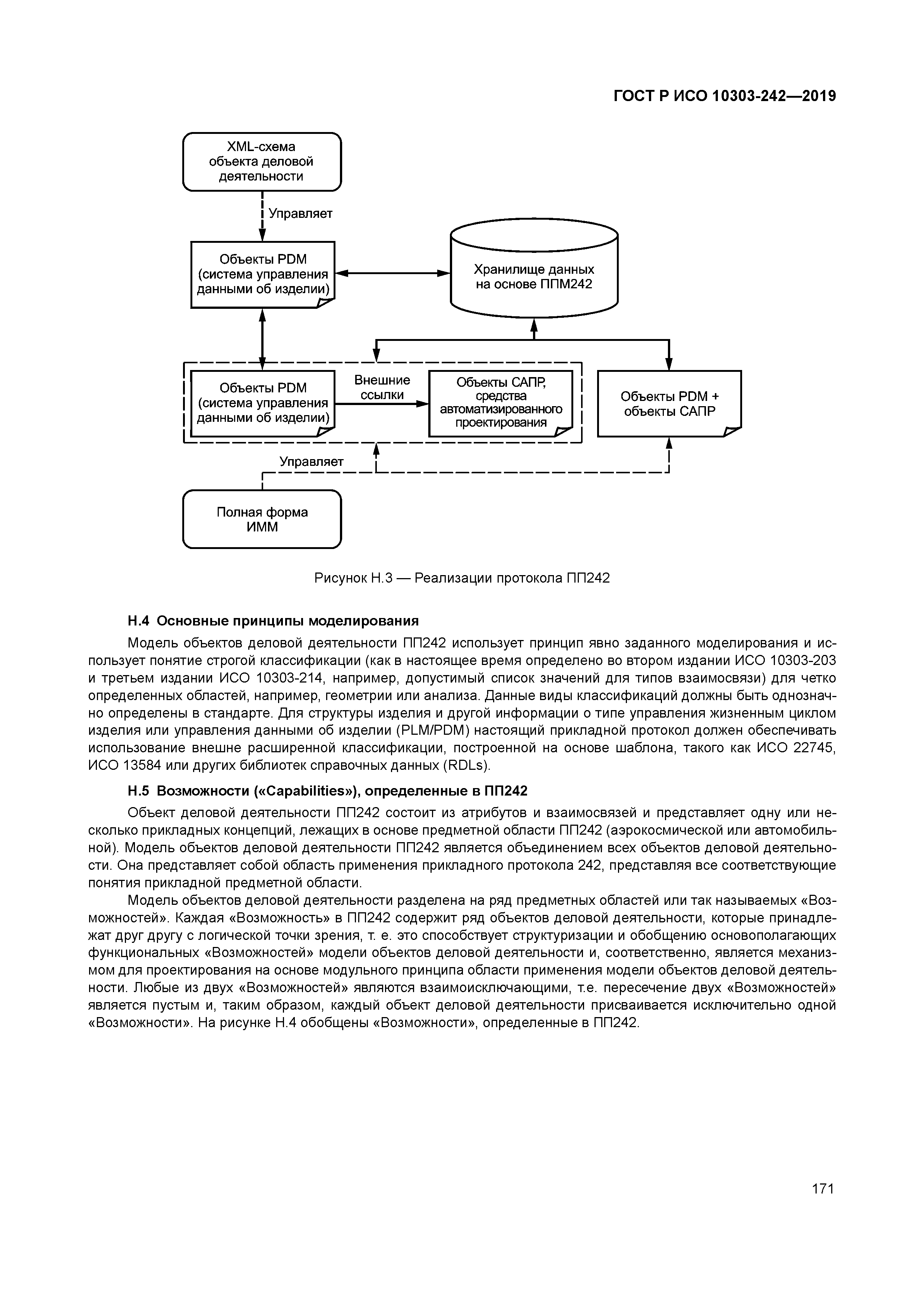
| Область применения: | В стандарте специфицировано использование объединенных информационных ресурсов для обеспечения области действия и удовлетворения потребностей в информации при рабочем проектировании механических деталей и сборочных единиц. |
| Оглавление: | 1 Область применения 2 Нормативные ссылки 3 Термины, определения и сокращения 3.1 Термины и определения 3.2 Сокращения 4 Потребности в информации 4.1 Концепции деловой деятельности и терминология 4.2 Модель потребностей в информации 4.3 Модель объектов деловой деятельности 5 Интерпретированная модель модуля 6 Требования к соответствию 6.1 Классы соответствия Приложение A (обязательное) Листинги Приложение B (обязательное) Сокращенные наименования объектов ИММ Приложение C (обязательное) Требования, являющиеся особенностями методов реализации Приложение D (обязательное) Проформа заявления о соответствии реализации прикладному протоколу Приложение E (обязательное) Регистрация информационных объектов Приложение F (справочное) Прикладная функциональная модель Приложение G (справочное) Машинно-интерпретируемые листинги Приложение H (справочное) Технические вопросы Приложение ДА (справочное) Сведения о соответствии ссылочных международных стандартов и документов национальным стандартам Библиография |
| Разработан: | АО ВНИИС |
| Утверждён: | 17.09.2019 Федеральное агентство по техническому регулированию и метрологии (688-ст) |
| Издан: | Стандартинформ (2019 г. ) |
| Список изменений: |
|
| Нормативные ссылки: |
|






















































































































































































Текстовое изменение № 1 от 01.01.2020