Скачать ГОСТ 34465.3-2019 Краны грузоподъемные. Органы управления. Расположение и характеристики. Часть 3. Краны башенныеДата актуализации: 01.01.2021
|
| Обозначение: | ГОСТ 34465.3-2019 |
| Обозначение англ: | GOST 34465.3-2019 |
| Статус: | введен впервые |
| Название рус.: | Краны грузоподъемные. Органы управления. Расположение и характеристики. Часть 3. Краны башенные |
| Название англ.: | Cranes. Controls. Layout and characteristics. Part 3. Tower cranes |
| Дата добавления в базу: | 01.02.2020 |
| Дата актуализации: | 01.01.2021 |
| Дата введения: | 01.06.2020 |
| Область применения: | Стандарт устанавливает схемы расположения и требования к органам управления башенных кранов по ГОСТ 33709.1 в дополнение к требованиям ГОСТ 34465.1. Стандарт распространяется на все виды башенных кранов в соответствии с ГОСТ 33709.3. Стандарт применим ко всем новым кранам, изготовленным по истечении одного года после его утверждения. Он не имеет целью требовать замены или модернизации существующего оборудования, однако при модернизации оборудования следует руководствоваться требованиями стандарта. Если их выполнение влечет за собой существенные изменения конструкции, то возможность и необходимость приведения оборудования в соответствие с этими требованиями должен определять изготовитель (проектировщик), а при его отсутствии — эксперт, последующие изменения должны быть выполнены владельцем (пользователем) в течение одного года. |
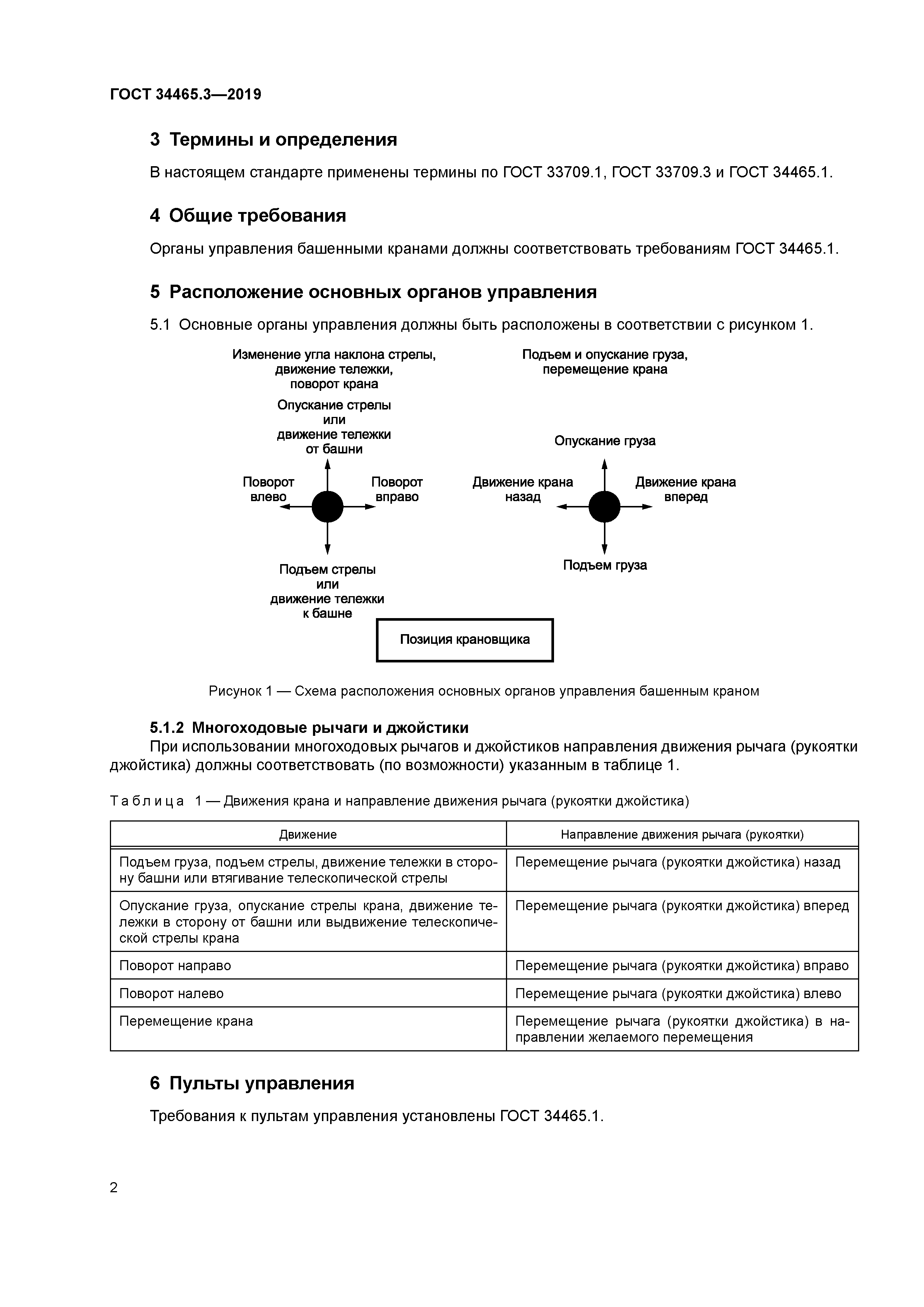
| Оглавление: | 1 Область применения 2 Нормативные ссылки 3 Термины и определения 4 Общие требования 5 Расположение основных органов управления 6 Пульты управления |
| Разработан: | АО РАТТЕ |
| Утверждён: | 30.09.2019 Межгосударственный Совет по стандартизации, метрологии и сертификации (Inter-Governmental Council on Standardization, Metrology, and Certification 122-П) 09.10.2019 Федеральное агентство по техническому регулированию и метрологии (932-ст) |
| Издан: | Стандартинформ (2019 г. ) |
| Нормативные ссылки: |
|






