Скачать ГОСТ Р 58676-2019 Электронная конструкторская документация. Виды преобразованийДата актуализации: 01.01.2021
|
| Обозначение: | ГОСТ Р 58676-2019 |
| Обозначение англ: | GOST R 58676-2019 |
| Статус: | введен впервые |
| Название рус.: | Электронная конструкторская документация. Виды преобразований |
| Название англ.: | Electronic design documentation. Types of transformations |
| Дата добавления в базу: | 01.01.2021 |
| Дата актуализации: | 01.01.2021 |
| Дата введения: | 01.06.2020 |
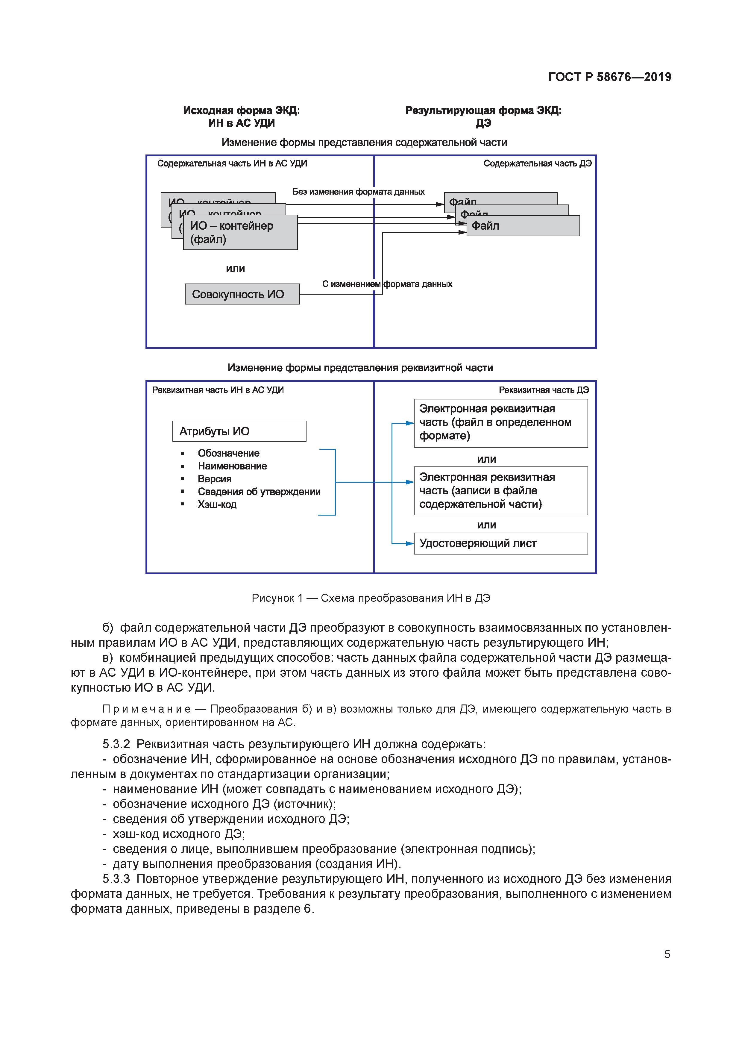
| Область применения: | Стандарт устанавливает виды преобразований электронной конструкторской документации, представленной в различных формах и форматах. Стандарт распространяется на изделия машиностроения и приборостроения, в том числе на продукцию военного и двойного назначения. |
| Оглавление: | 1 Область применения 2 Нормативные ссылки 3 Термины, определения и сокращения 3.1 Термины и определения 3.2 Сокращения 4 Основные положения 5 Изменение формы представления электронной конструкторской документации 6 Изменение формата данных содержательной части электронной конструкторской документации Приложение А (справочное) Пояснения к тексту настоящего стандарта Библиография |
| Разработан: | АО НИЦ Прикладная Логистика |
| Утверждён: | 21.11.2019 Федеральное агентство по техническому регулированию и метрологии (1213-ст) |
| Издан: | Стандартинформ (2019 г. ) |
| Нормативные ссылки: |
|














