Скачать ГОСТ Р 58771-2019 Менеджмент риска. Технологии оценки рискаДата актуализации: 01.01.2021
|
| Обозначение: | ГОСТ Р 58771-2019 |
| Обозначение англ: | GOST R 58771-2019 |
| Статус: | взамен |
| Название рус.: | Менеджмент риска. Технологии оценки риска |
| Название англ.: | Risk management. Risk assessment technologies |
| Дата добавления в базу: | 01.01.2021 |
| Дата актуализации: | 01.01.2021 |
| Дата введения: | 01.03.2020 |
| Область применения: | Стандарт является руководством по выбору и применению технологий оценки риска в широком спектре задач. Технологии используются для оказания помощи и содействия в принятии решений в случаях неопределенности, предоставления информации о конкретных рисках и в рамках процесса управления рисками. |
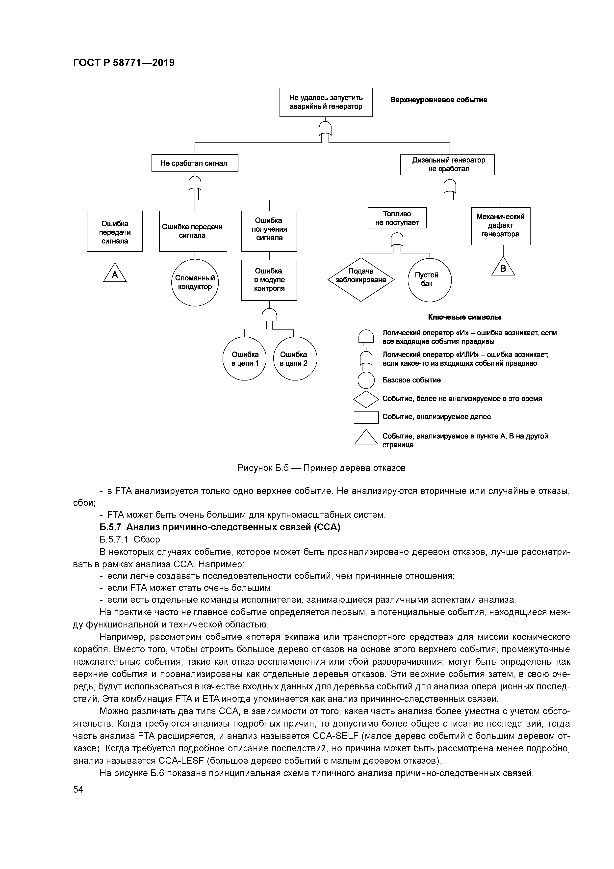
| Оглавление: | 1 Область применения 2 Нормативные ссылки 3 Термины и определения 4 Основные понятия 4.1 Неопределенность 4.2 Характеристики риска 5 Использование и преимущества технологий оценки риска 5.1 Использование технологий оценки риска 5.2 Преимущества использования технологий оценки риска 6 Выполнение оценки рисков 6.1 Планирование оценки 6.2 Управление информацией и разработка моделей 6.3 Применение технологий оценки риска 6.4 Мониторинг и пересмотр 6.5 Применение результатов для поддержки решений 6.6 Документирование, отчетность и передача информации 7 Выбор технологий оценки рисков 7.1 Общие сведения 7.2 Выбор технологий Приложение А (справочное) Классификация технологий А.1 Введение в категоризацию технологий А.2 Применение категоризации технологий Приложение Б (справочное) Описание технологий Б.1 Технологии выявления мнения причастных сторон и экспертов Б.2 Технологии идентификации Б.3 Анализ источников и доминантных факторов риска Б.4 Технологии анализа средств контроля Б.5 Технологии понимания последствий, вероятности и риска Б.6 Технологии анализа зависимостей и взаимодействий Б.7 Технологии выбора между вариантами Б.8 Технологии оценки значимости риска Б.9 Технологии отчетности и документирования рисков |
| Разработан: | Некоммерческое партнерство Русское Общество Управления Рисками (НП РусРиск ) |
| Утверждён: | 17.12.2019 Федеральное агентство по техническому регулированию и метрологии (1405-ст) |
| Издан: | Стандартинформ (2020 г. ) |
| Заменяет собой: | |
| Нормативные ссылки: |

























































































