Скачать Письмо 51579-ДВ/09 О рекомендуемой величине индексов изменения сметной стоимости строительства в IV квартале 2019 года, в том числе величине индексов изменения сметной стоимости строительно-монтажных работ, индексов изменения сметной стоимости пусконаладочных работДата актуализации: 01.01.2021
|
| Обозначение: | Письмо 51579-ДВ/09 |
| Обозначение англ: | Notice 51579-ДВ/09 |
| Статус: | информационный документ |
| Название рус.: | О рекомендуемой величине индексов изменения сметной стоимости строительства в IV квартале 2019 года, в том числе величине индексов изменения сметной стоимости строительно-монтажных работ, индексов изменения сметной стоимости пусконаладочных работ |
| Дата добавления в базу: | 01.01.2021 |
| Дата актуализации: | 01.01.2021 |
| Дата введения: | 31.12.2019 |
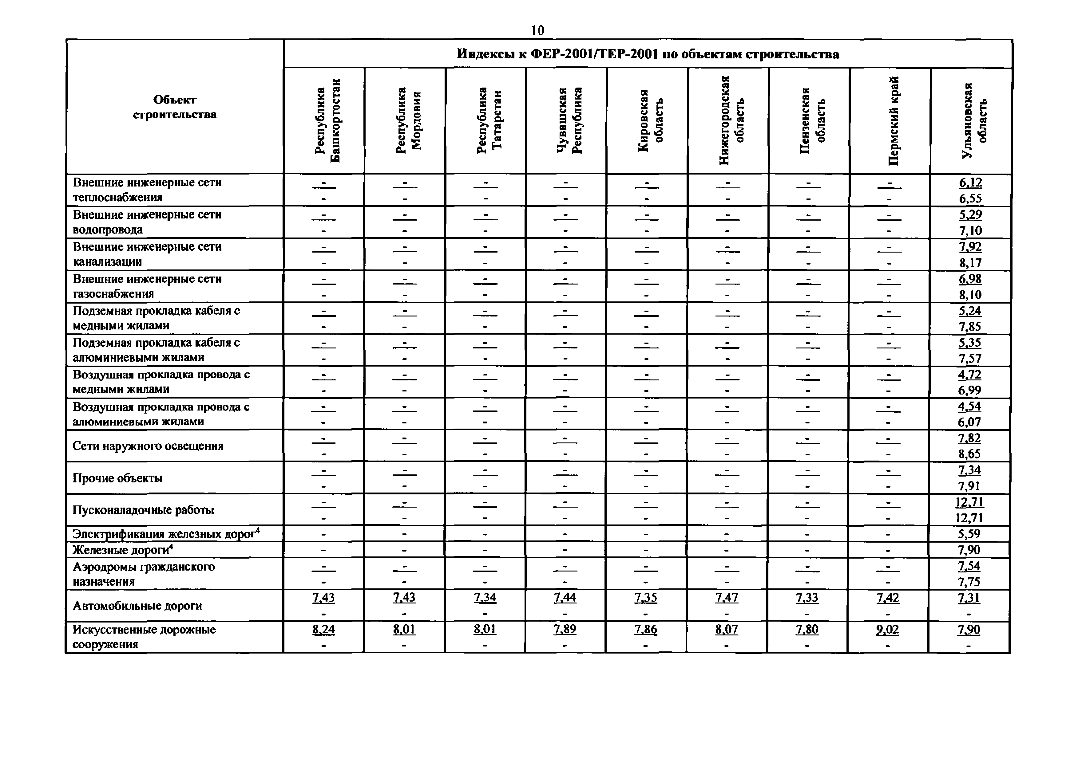
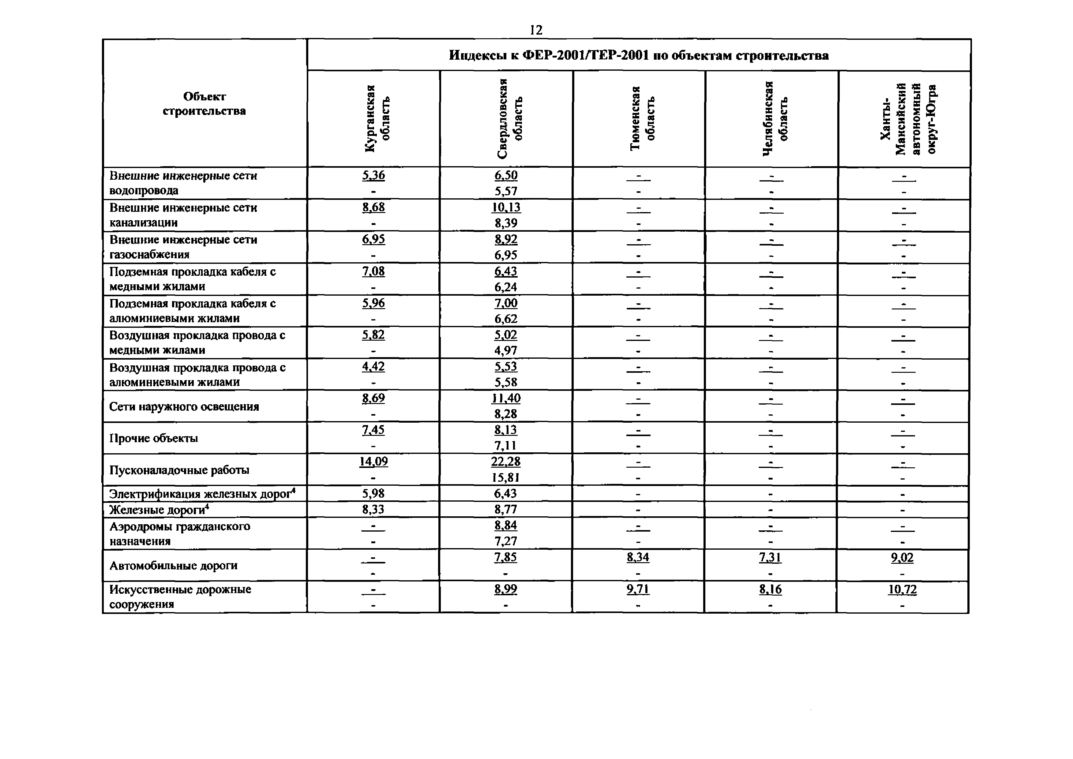
| Область применения: | Индексы разработаны к сметно-нормативной базе 2001 года в соответствии с положениями Методики расчета индексов изменения сметной стоимости строительства, утвержденной приказом Минстроя России от 5 июня 2019 г. № 326/пр, с использованием данных ФАУ "Главгосэкспертиза России", органов исполнительной власти субъектов Российской Федерации за III квартал 2019 года с учетом прогнозного показателя инфляции, установленного Минэкономразвития России |
| Оглавление: | Приложение № 1. Индексы изменения сметной стоимости строительно-монтажных и пусконаладочных работ по объектам строительства, определяемых с применением федеральных и территориальных единичных расценок, на IV квартал 2019 года Приложение № 2. Индексы изменения сметной стоимости строительно-монтажных работ, определяемых с применением отраслевой сметно-нормативной базы на IV квартал 2019 года Приложение № 3. Индексы изменения сметной стоимости строительно-монтажных работ на объектах магистрального трубопроводного транспорта нефти и нефтепродуктов (линейная часть, резервуарные парки) и сооружений, участвующих в технологическом процессе транспорта нефти и нефтепродуктов (площадочные объекты), на территории субъектов РФ на IV квартал 2019 года |
| Утверждён: | 31.12.2019 Министерство строительства и жилищно-коммунального хозяйства Российской Федерации (51579-ДВ/09) |
| Издан: | Сайт: (от 31.12.2019) |
| Нормативные ссылки: |
|





















