Скачать Письмо 50583-ДВ/09 О рекомендуемой величине индексов изменения сметной стоимости строительства в IV квартале 2019 года, в том числе величине индексов изменения сметной стоимости строительно-монтажных работ, индексов изменения сметной стоимости пусконаладочных работ, индексов изменения сметной стоимости прочих работ и затрат, индексов изменения сметной стоимости оборудованияДата актуализации: 01.01.2021
|
| Обозначение: | Письмо 50583-ДВ/09 |
| Обозначение англ: | Notice 50583-ДВ/09 |
| Статус: | информационный документ |
| Название рус.: | О рекомендуемой величине индексов изменения сметной стоимости строительства в IV квартале 2019 года, в том числе величине индексов изменения сметной стоимости строительно-монтажных работ, индексов изменения сметной стоимости пусконаладочных работ, индексов изменения сметной стоимости прочих работ и затрат, индексов изменения сметной стоимости оборудования |
| Дата добавления в базу: | 01.02.2020 |
| Дата актуализации: | 01.01.2021 |
| Дата введения: | 25.12.2019 |
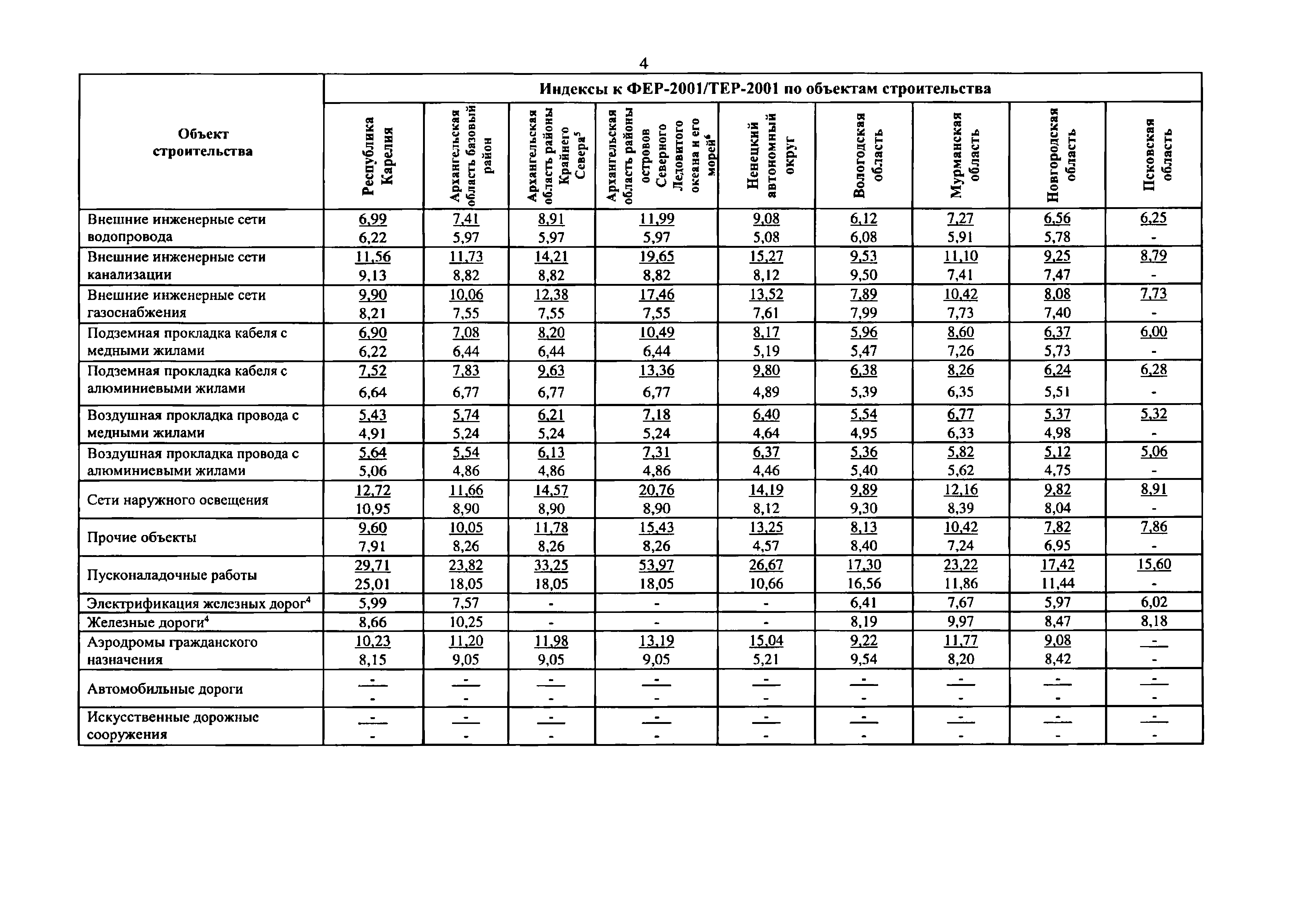
| Область применения: | Индексы разработаны к сметно-нормативной базе 2001 года в соответствии с положениями Методики расчета индексов изменения сметной стоимости строительства, утвержденной приказом Минстроя России от 5 июня 2019 г. № 326/пр, с использованием данных ФАУ "Главгосэкспертиза России", органов исполнительной власти субъектов Российской Федерации за III квартал 2019 года с учетом прогнозного показателя инфляции, установленного Минэкономразвития России |
| Оглавление: | Приложение № 1. Индексы изменения сметной стоимости строительно-монтажных и пусконаладочных работ по объектам строительства, определяемых с применением федеральных и территориальных единичных расценок, на IV квартал 2019 года Приложение № 2. Индексы изменения сметной стоимости прочих работ и затрат к уровню цен по состоянию на 01.01.2000 на IV квартал 2019 года Приложение № 3. Индексы изменения сметной стоимости оборудования на IV квартал 2019 года |
| Утверждён: | 25.12.2019 Министерство строительства и жилищно-коммунального хозяйства Российской Федерации (50583-ДВ/09) |
| Издан: | Сайт: (от 26.12.2019) |
| Нормативные ссылки: |
|




















