Скачать Руководство по строительной климатологии (пособие по проектированию)Дата актуализации: 01.01.2021
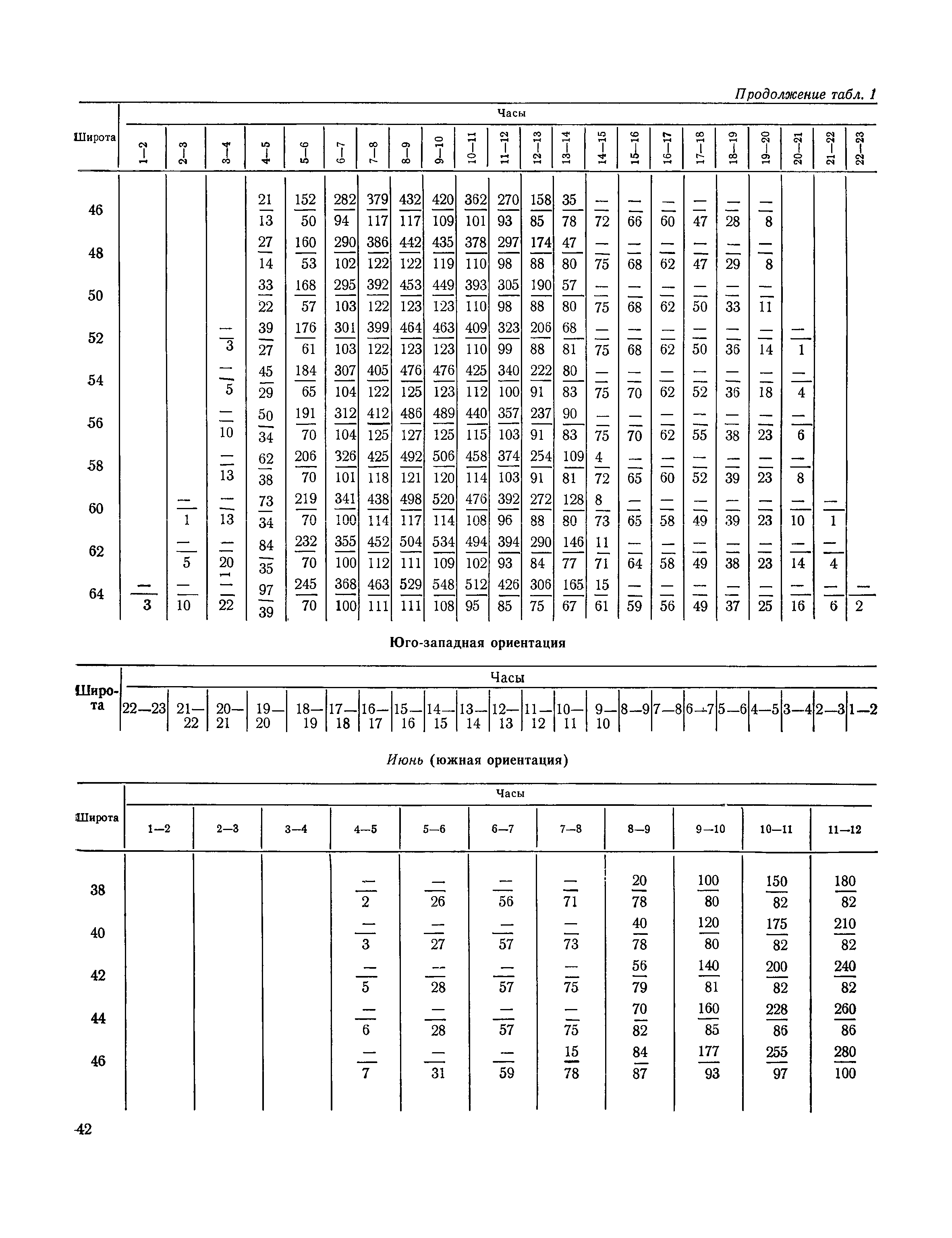
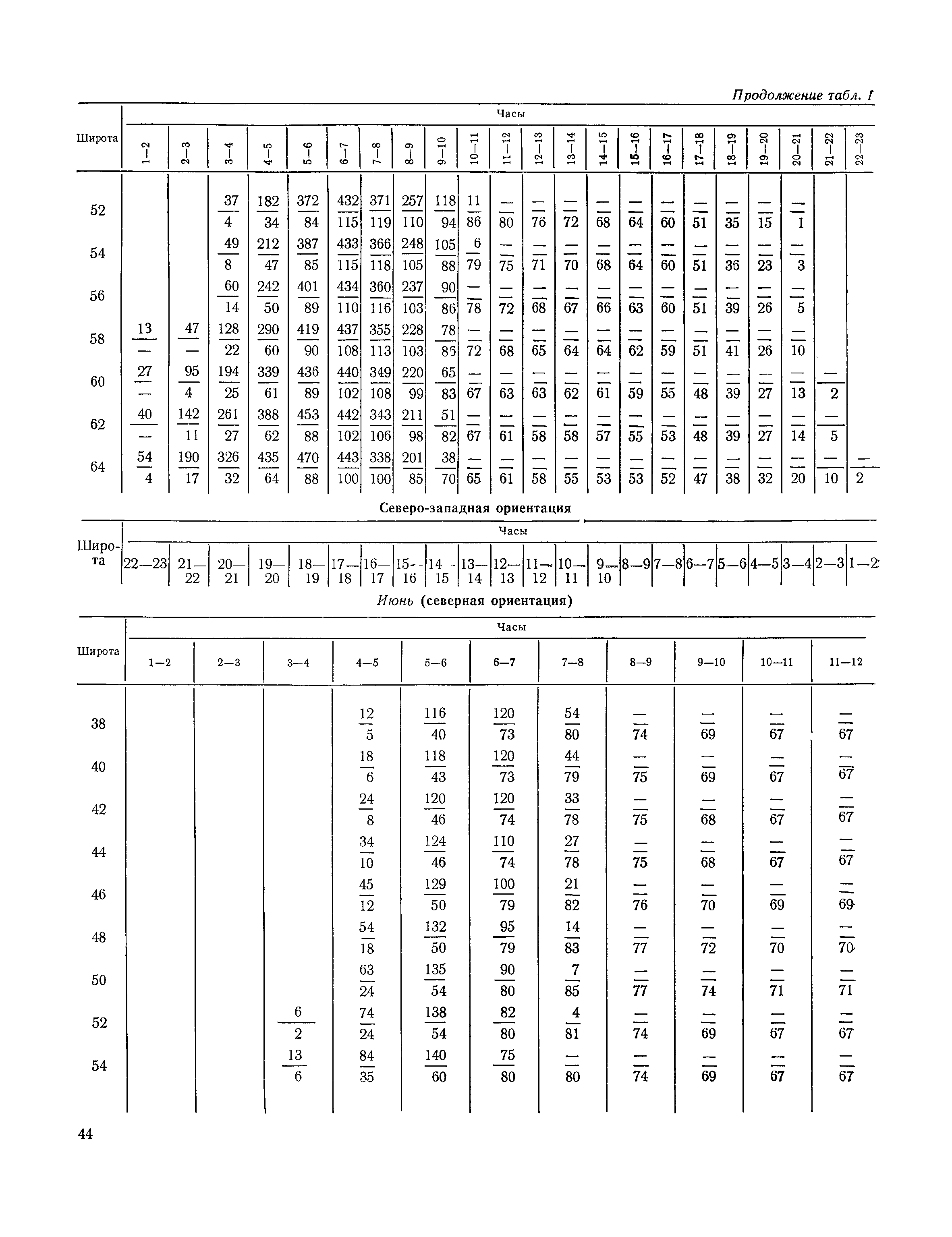
Руководство по строительной климатологии (пособие по проектированию)| Статус: | привязан к недействующему документу | | Название рус.: | Руководство по строительной климатологии (пособие по проектированию) | | Дата добавления в базу: | 01.01.2021 | | Дата актуализации: | 01.01.2021 | | Область применения: | Руководство по строительной климатологии содержит основные климатические показатели, которые могут быть использованы при разработке проектов планировки и застройки населенных мест, проектировании генеральных планов промышленных предприятий, составлении климатического паспорта городов и строительных площадок, при проектировании новых и реконструкции действующих предприятий, зданий и сооружений различного типа. Материалы Руководства используются при расчетах строительных конструкций зданий и сооружений различного назначения, при расчетах теплопотерь и теплопоступлений, a также отопления и вентиляции, при оценке режима увлажнения зданий и определении условий инсоляции и светового режима в различных климатических условиях Советского Союза. Руководство предназначено для архитекторов, инженеров строительных специальностей и научных работников | | Оглавление: | 1. Общие положения 2. Солнечная радиация А. Тепловая радиация Б. Видимая радиация В. Ультрафиолетовая радиация 3. Температура наружного воздуха 4. Атмосферные осадки, выпадающие на вертикальные поверхности ограждений 5. Скорость ветра 6. Оценка планировочных решений с учетом ветрового режима Таблица 1. Суммарная (прямая/рассеянная) радиация, поступающая на вертикальные поверхности различной ориентации при безоблачном небе в зависимости от широты и времени суток Таблица 2. Суммарная (прямая/рассеянная) радиация, поступающая на горизонтальную поверхность при безоблачном небе в зависимости от широты и времени суток Таблица 3. Суммарная солнечная радиация, поступающая на вертикальные поверхности различной ориентации при действительных условиях облачности и прозрачности атмосферы Таблица 4. Прямая, рассеянная и суммарная освещенность горизонтальных и вертикальных поверхностей в зависимости от широты и времени суток Таблица 5. Высота солнца и азимут нормали к вертикальной поверхности, отсчитанной от вертикали солнца для различных широт Таблица 6. Ультрафиолетовая (области А + В) облученность Таблица 7. Ультрафиолетовая (области В) облученность Таблица 8. Эритемная (области А + В) облученность Таблица 9. Эритемная (области В) облученность Таблица 10. Бактерицидная облученность Таблица 11. Средняя за январь температура воздуха, повторяемость, и скорость ветров различных направлений по отдельным пунктам СССР Таблица 12. Количество осадков, выпадающих под действием ветра на вертикальную поверхность наветренной ориентации по отдельным пунктам СССР Таблица 13. Средняя скорость ветра на высоте 10 м при низких температурах наружного воздуха Таблица 14. Планировочные схемы первой группы Таблица 15. Планировочные схемы второй группы | | Разработан: | НИИСФ
| | Издан: | Стройиздат (1977 г. )
| | Нормативные ссылки: | |
                                                                                                                                                                                                                                                                                                                                       
|