Скачать ГОСТ Р 58801-2020 Системы и сооружения мелиоративные. Каналы осушительные. Поперечные сеченияДата актуализации: 01.01.2021
|
| Обозначение: | ГОСТ Р 58801-2020 |
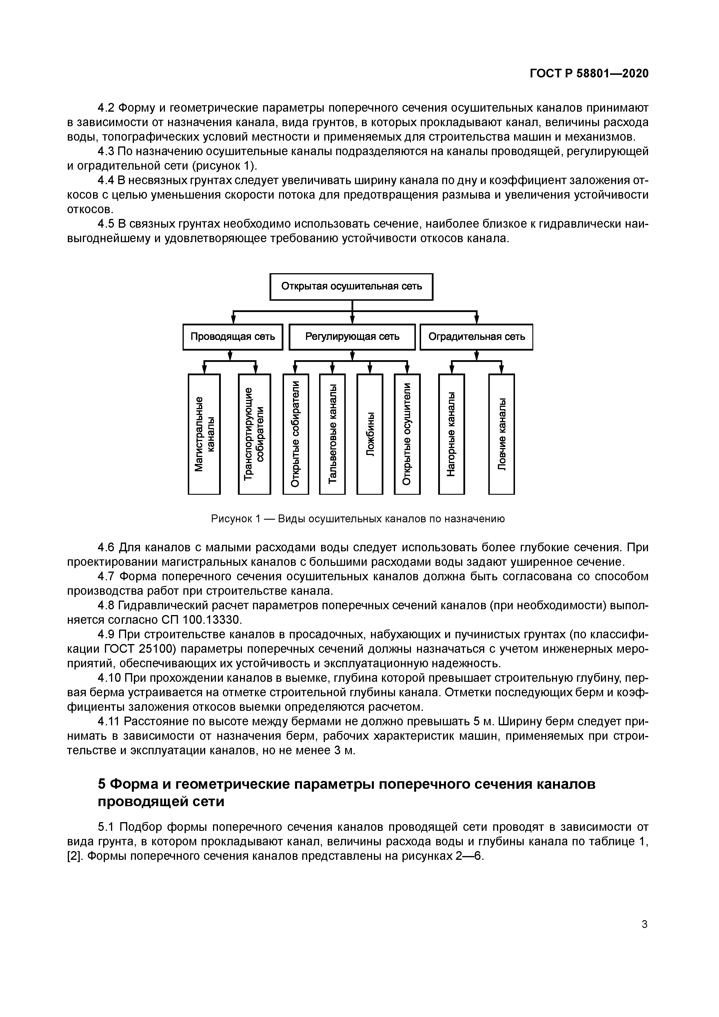
| Обозначение англ: | GOST R 58801-2020 |
| Статус: | введен впервые |
| Название рус.: | Системы и сооружения мелиоративные. Каналы осушительные. Поперечные сечения |
| Название англ.: | Reclamation systems and structures. Drainage canals. Cross sections |
| Дата добавления в базу: | 01.01.2021 |
| Дата актуализации: | 01.01.2021 |
| Дата введения: | 01.07.2020 |
| Область применения: | Стандарт устанавливает требования к формам поперечного сечения и его параметрам при проектировании новых и реконструкции существующих осушительных каналов мелиоративных систем. |
| Оглавление: | 1 Область применения 2 Нормативные ссылки 3 Термины и определения 4 Общие положения 5 Форма и геометрические параметры поперечного сечения каналов проводящей сети 6 Форма и геометрические параметры поперечного сечения каналов регулирующей сети 7 Форма и геометрические параметры поперечного сечения каналов оградительной сети Приложение А (рекомендуемое) Геометрические параметры трапецеидального поперечного сечения каналов, разрабатываемых общестроительными и специализированными мелиоративными машинами Библиография |
| Разработан: | ФГБНУ РосНИИПМ |
| Утверждён: | 04.02.2020 Федеральное агентство по техническому регулированию и метрологии (28-ст) |
| Издан: | Стандартинформ (2020 г. ) |
| Нормативные ссылки: |
|














