Скачать Федеральные авиационные правила Требования к тренажерным устройствам имитации полета, применяемым в целях подготовки и контроля профессиональных навыков членов летных экипажей гражданских воздушных судов

Дата актуализации: 01.01.2021

Федеральные авиационные правила "Требования к тренажерным устройствам имитации полета, применяемым в целях подготовки и контроля профессиональных навыков членов летных экипажей гражданских воздушных судов"

Статус:действует
Название рус.:Федеральные авиационные правила "Требования к тренажерным устройствам имитации полета, применяемым в целях подготовки и контроля профессиональных навыков членов летных экипажей гражданских воздушных судов"
Дата добавления в базу:01.01.2021
Дата актуализации:01.01.2021
Дата введения:29.05.2020
Область применения:Правила устанавливают требования к тренажерным устройствам имитации полета, используемым в целях подготовки и контроля профессиональных навыков членов летных экипажей гражданских воздушных судов
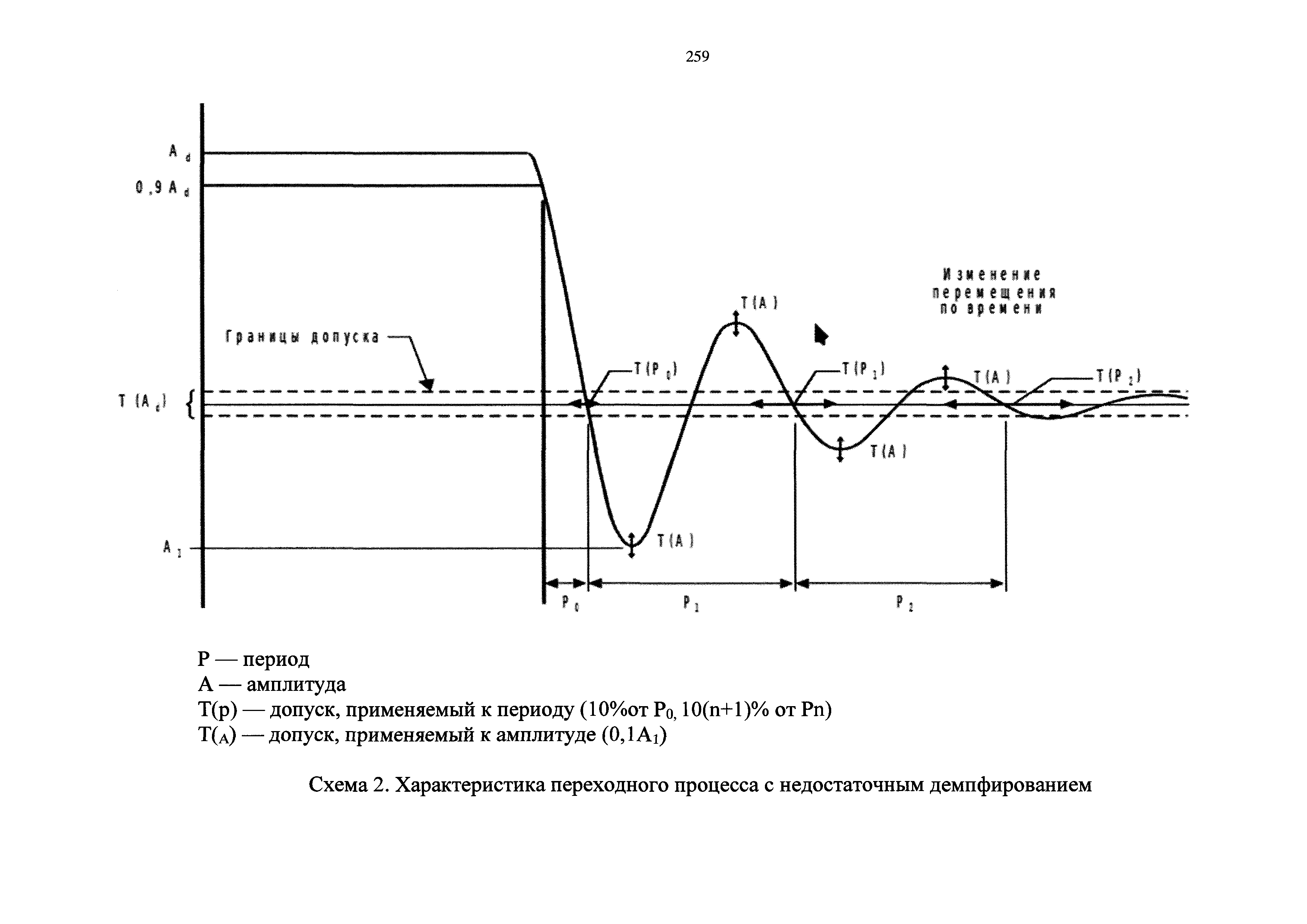
Оглавление:Приложение № 1. Уровни имитации условий полета и работы систем воздушного судна
Приложение № 2. Требования к тренажерам
Приложение № 3. Перечень сокращений
Утверждён:12.07.2019 Министерство транспорта Российской Федерации (Russian Federation Ministry of Transportation 229)
Издан: Официальный интернет-портал правовой информации (www.pravo.gov.ru) (от 28.02.2020. Номер опубликования: 0001202002280019)
Нормативные ссылки: