Скачать ГОСТ Р 43.0.21-2020 Информационное обеспечение техники и операторской деятельности. Сознание и самосознаниеДата актуализации: 01.01.2021
|
| Обозначение: | ГОСТ Р 43.0.21-2020 |
| Обозначение англ: | GOST R 43.0.21-2020 |
| Статус: | принят |
| Название рус.: | Информационное обеспечение техники и операторской деятельности. Сознание и самосознание |
| Название англ.: | Informational ensuring of equipment and operational activity. Consciousness and self-awareness |
| Дата добавления в базу: | 01.01.2021 |
| Дата актуализации: | 01.01.2021 |
| Дата введения: | 01.02.2021 |
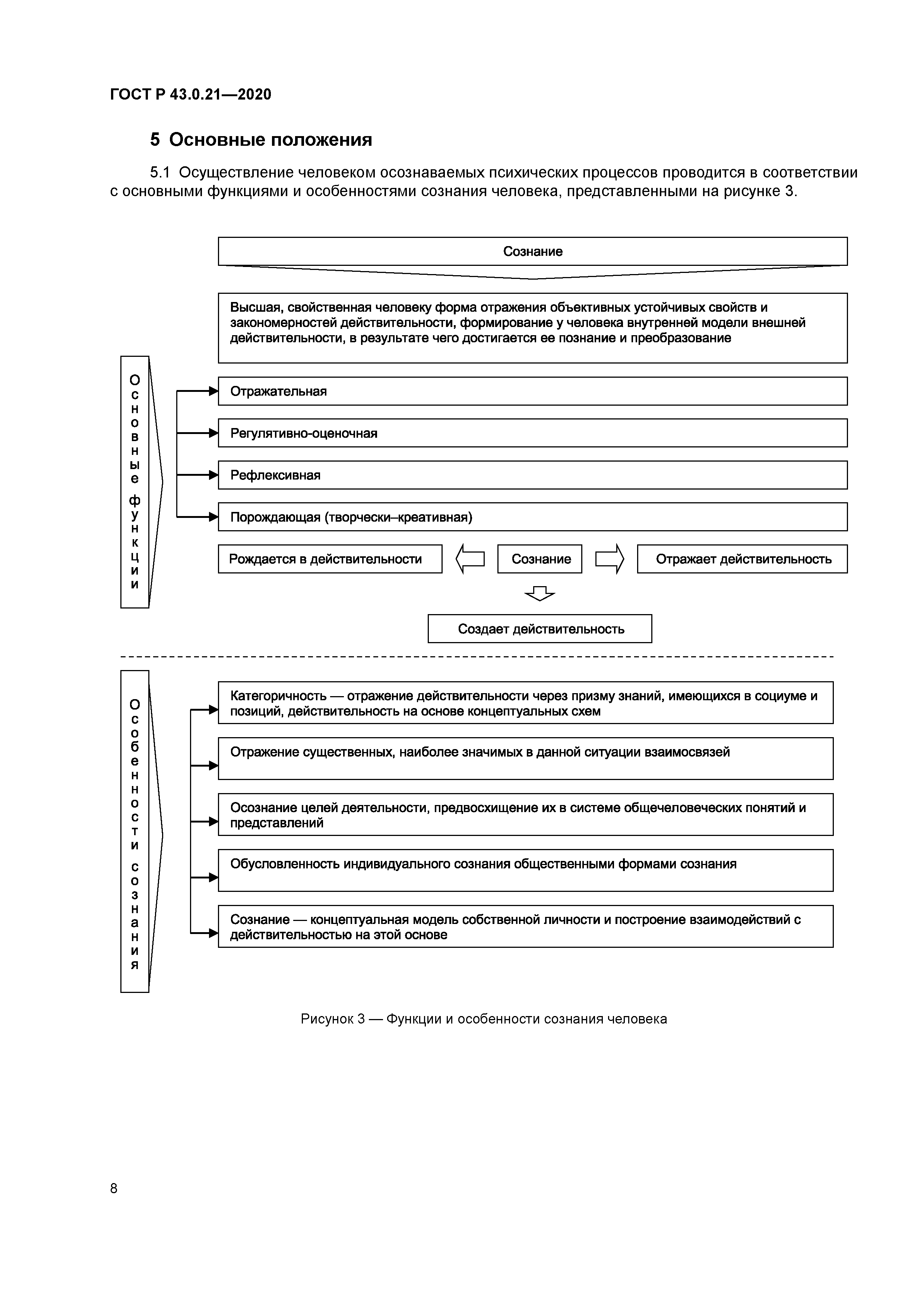
| Область применения: | Стандарт устанавливает общие и основные положения, относящиеся к сознанию, самосознанию и бессознательному в психических процессах при использовании информации человеком (специалистом). Положения стандарта, относящиеся к сознанию, самосознанию и бессознательному в психических процессах при использовании информации человеком (специалистом), могут быть применены для интеллектуализированного проведения им технической деятельности с созданием необходимых условий: - для лингвистизированного чувственного восприятия внешней технической предметно-информационной средой; - осуществления ноон-технологизации лингвистизированной технической деятельности мышления с применением ноон-технологизированной технической информации; - лингвистизированного использования технических средств поддержки обращения с техникой; - осуществления лингвистизированного информационного взаимодействия с необходимой технической предметно-информационной средой; - развития области знаний, относящейся к информационной психологии; - совершенствования и развития лингвосемантизированного человекоинформационного функционирования техносферы для осуществления образовательной, трудовой, творческой деятельности с повышенной эффективностью. Положения стандарта, относящиеся к сознанию, самосознанию и бессознательному в психических процессах при использовании информации человеком (специалистом), могут быть применены при проведении им технической деятельности. Положения стандарта могут быть использованы в подготовке специалистов для безопасного с предвидением, эффективного и продуктивного выполнения технической деятельности при интеллектуализированном, в том числе цифроинтеллектуализированном проведении этой деятельности специалистами, владеющими языковым (лингвосемантизированным) использованием информации, а также обладающими способностями к самостоятельному и критическому преобразованию воспринимаемой информации, в том числе знаний с пониманием сущности отраженных в воображении предметов и явлений. |
| Оглавление: | 1 Область применения 2 Нормативные ссылки 3 Термины и определения 4 Общие положения 5 Основные положения |
| Разработан: | ОУ Центр НООН |
| Утверждён: | 24.07.2020 Федеральное агентство по техническому регулированию и метрологии (403-ст) |
| Нормативные ссылки: |
|















