Скачать ГОСТ Р МЭК 63115-1-2020 Аккумуляторы и аккумуляторные батареи, содержащие щелочной или другие некислотные электролиты. Герметичные никель-металлгидридные аккумуляторы и модули для промышленного использования. Часть 1. Требования к маркировке и обозначению. Методы испытаний для определения рабочих характеристикДата актуализации: 01.01.2021
|
| Обозначение: | ГОСТ Р МЭК 63115-1-2020 |
| Обозначение англ: | GOST R IEC 63115-1-2020 |
| Статус: | принят |
| Название рус.: | Аккумуляторы и аккумуляторные батареи, содержащие щелочной или другие некислотные электролиты. Герметичные никель-металлгидридные аккумуляторы и модули для промышленного использования. Часть 1. Требования к маркировке и обозначению. Методы испытаний для определения рабочих характеристик |
| Название англ.: | Secondary cells and batteries containing alkaline or other non-acid electrolytes. Secondary sealed nickel-metal hydride cells and batteries for use in industrial applications. Part 1. Labeling and designation requirements. Performance test methods |
| Дата добавления в базу: | 01.01.2021 |
| Дата актуализации: | 01.01.2021 |
| Дата введения: | 01.03.2021 |
| Область применения: | Стандарт распространяется на герметичные никель-металлгидридные аккумуляторы и батареи, используемые в промышленности, включая стационарные, и устанавливает требования к маркировке, обозначению, включая правила построения обозначений в зависимости от архитектуры построения батарейных систем, и методы испытаний для определения рабочих характеристик. При наличии стандарта МЭК, устанавливающего требования к конкретным аккумуляторам и методам их испытаний, требования которого не соответствуют требованиям стандарта, следует применять стандарт, распространяющийся на конкретные аккумуляторы (например, МЭК 62675). Стандарт распространяется на аккумуляторы и батареи, применяемые: - стационарно в телекоммуникационном оборудовании, источниках бесперебойного питания (ИБП), системах накопления электрической энергии, оборудовании переключения распределительных сетей, источниках аварийного питания и другом аналогичном оборудовании; - в движущихся объектах: автопогрузчиках, тележках для гольфа, транспортных средствах с автоматическим управлением, железнодорожном и морском транспорте, за исключением дорожных транспортных средств. Стандарт распространяется на аккумуляторы и батареи для различных промышленных применений и устанавливает общие минимальные требования. |
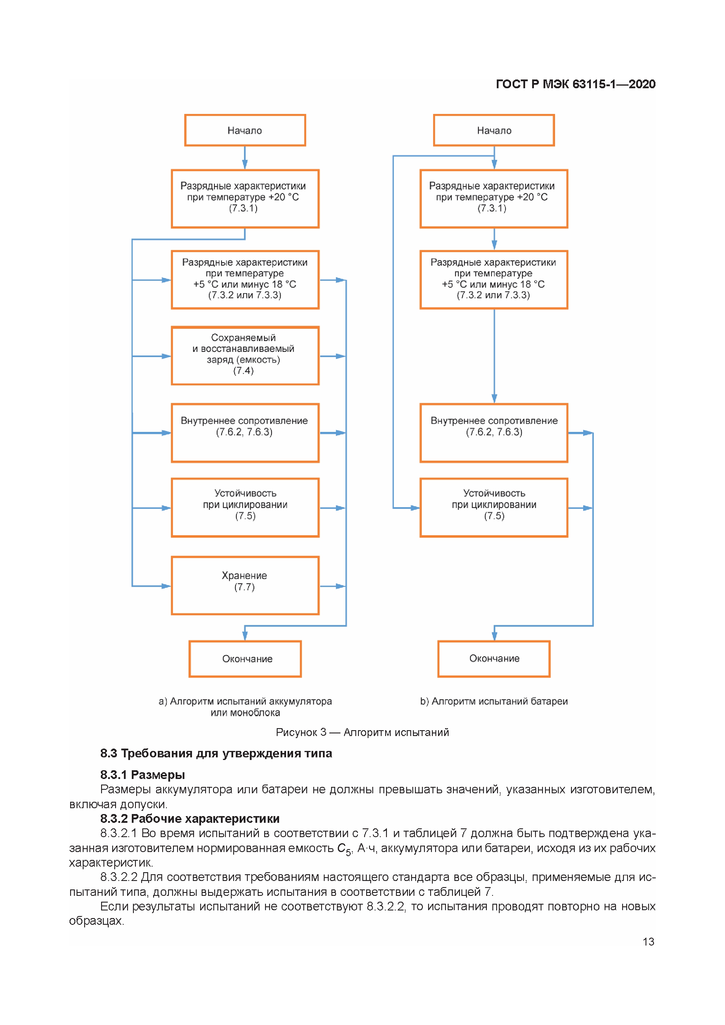
| Оглавление: | 1 Область применения 2 Нормативные ссылки 3 Термины и определения 4 Допуски измерения параметров 5 Маркировка и обозначение 5.1 Маркировка 5.2 Обозначение аккумулятора и моноблока 5.3 Обозначение модуля, батарейного блока и батарейной системы 6 Измерения размеров 6.1 Цилиндрический аккумулятор 6.2 Призматический аккумулятор и моноблок 6.3 Модуль, батарейный блок и батарейная система 7 Методы испытаний для определения рабочих характеристик 7.1 Общие положения 7.2 Проведение заряда образца 7.3 Разрядные характеристики образца 7.4 Сохраняемый и восстанавливаемый заряд (емкость) 7.5 Устойчивость при циклировании 7.6 Внутреннее сопротивление 7.7 Хранение 8 Условия испытаний типа 8.1 Общие положения 8.2 Размер выборки 8.3 Требования для утверждения типа Приложение А (справочное) Информация об архитектуре построения батареи Приложение ДА (справочное) Сведения о соответствии ссылочных международных стандартов национальным стандартам Библиография |
| Разработан: | Ассоциация РУСБАТ |
| Утверждён: | 04.08.2020 Федеральное агентство по техническому регулированию и метрологии (452-ст) |
| Нормативные ссылки: |
|






















