| Обозначение: |  ГОСТ Р 72217-2025 |
| Статус: | принят |
| Название рус.: | Цифровая промышленность. Унифицированная архитектура OPC. Часть 10. Программы |
| Название англ.: | Digital industry. OPC Unified Architecture. Part 10. Programs |
| Дата актуализации текста: | 01.01.2026 |
| Дата актуализации описания: | 01.01.2026 |
| Дата издания: | 26.11.2025 |
| Дата введения: | 30.01.2026 |
| Нормативные ссылки: | ГОСТ Р 71808; ГОСТ Р 71809; ГОСТ Р 71810; ГОСТ Р 72214 |
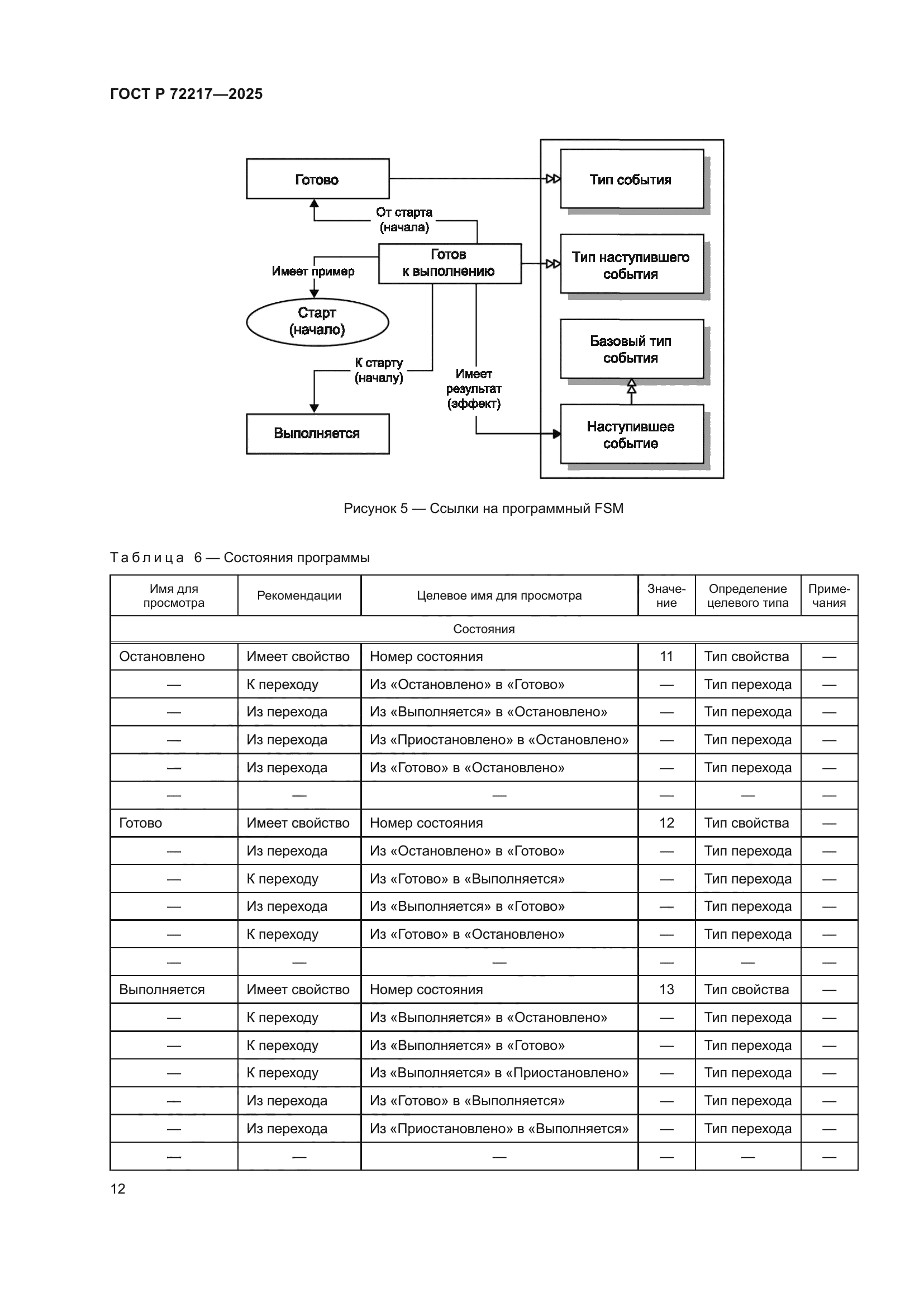
| Область применения: | Настоящий стандарт определяет информационную модель для описания и управления программами в соответствии с унифицированной архитектуры открытой платформы взаимодействия OPC. В стандарте приведены термины и определения, относящиеся к программным задачам, выполняемым серверами и устройствами путем реализации программного кода. Настоящий стандарт является десятой частью серии стандартов под общим наименованием «Цифровая промышленность. Унифицированная архитектура OPC» и его необходимо применять совместно с другими частями указанной серии. Стандарт входит в систему стандартов в цифровой промышленности |
|