| Обозначение: |  ГОСТ Р 55602-2025 |
| Статус: | принят |
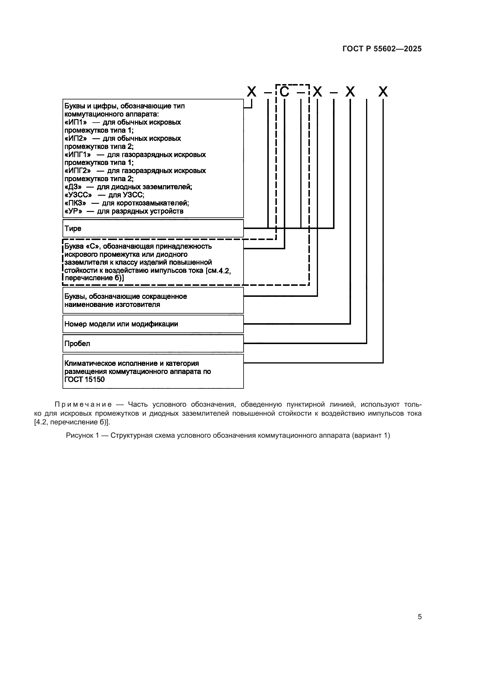
| Название рус.: | Аппараты коммутационные для цепи заземления тяговой сети и тяговых подстанций железных дорог. Общие технические условия |
| Название англ.: | Switching devices for railway traction network and power substations earthing. General specifications |
| Дата актуализации текста: | 01.01.2026 |
| Дата актуализации описания: | 01.01.2026 |
| Дата издания: | 16.09.2025 |
| Дата введения: | 01.03.2027 |
| Взамен: | ГОСТ Р 55602-2013 |
| Нормативные ссылки: | ГОСТ 2.114-2016; ГОСТ 9.302; ГОСТ 9.303; ГОСТ 9.401; ГОСТ 12.1.004; ГОСТ 12.1.007; ГОСТ 12.2.007.0-75; ГОСТ 12.2.007.3-75; ГОСТ 14.201-83; ГОСТ 15.309-98; ГОСТ 20.57.406-81; ГОСТ 27.003; ГОСТ 27.301; ГОСТ 166; ГОСТ 380; ГОСТ 427; ГОСТ 1414; ГОСТ 1516.2-97; ГОСТ 7165; ГОСТ 7502; ГОСТ 8042; ГОСТ 8711; ГОСТ 10434; ГОСТ 13837; ГОСТ 14192; ГОСТ 14254; ГОСТ 15150-69; ГОСТ 16357-83; ГОСТ 16504; ГОСТ 16962.1-89; ГОСТ 16962.2-90; ГОСТ 17441; ГОСТ 17516.1; ГОСТ 18311; ГОСТ 18620-86; ГОСТ 21107.7-75; ГОСТ 23088-80; ГОСТ 23216-78; ГОСТ 23706; ГОСТ 30331.1; ГОСТ 30668-2000; ГОСТ 32895; ГОСТ 33477-2015; ГОСТ Р 8.568; ГОСТ Р 9.316; ГОСТ Р 50779.12-2021; ГОСТ Р 51369-99; ГОСТ Р 53228; ГОСТ Р 57077; ГОСТ Р 58320-2025; ГОСТ Р 58321-2025; ГОСТ Р ИСО 9001; ГОСТ Р МЭК 60050-195 |
| Область применения: | Настоящий стандарт распространяется на коммутационные аппараты для цепи заземления тяговой сети и тяговых подстанций железных дорог, в том числе высокоскоростных: искровые промежутки, диодные заземлители опор контактной сети, устройства защиты станций стыкования (УЗСС), короткозамыкатели отсасывающей линии тяговой сети и разрядные устройства |
|