| Обозначение: |  ГОСТ IEC 60968-2021 |
| Статус: | принят |
| Название рус.: | Лампы со встроенными пускорегулирующими аппаратами для общего освещения. Требования безопасности |
| Название англ.: | Self-ballasted fluorescent lamps for general lighting services. Safety requirements |
| Дата актуализации текста: | 01.01.2026 |
| Дата актуализации описания: | 01.01.2026 |
| Дата регистрации: | 30.04.2021 |
| Дата издания: | 09.09.2025 |
| Дата введения: | 01.10.2026 |
| Взамен: | ГОСТ 31999-2012 |
| Аутентичен стандартам: | IEC 60968(2015) |
| Нормативные ссылки: | ISO 4046-4:2016;IEC 60061-1;IEC 60061-3;IEC 60360;IEC 60598-1;IEC 60695-2-10;IEC 60695-2-11(2021);IEC 60901;IEC 61199;IEC 61347-1(2024) |
| Область применения: | Настоящий стандарт устанавливает требования безопасности и взаимозаменяемости, а также условия и методы испытания на соответствие трубчатых люминесцентных и других газорязрядных ламп со встроенными средствами для управления зажиганием и стабильной работы. Эти лампы предназначены для бытового и аналогичного общего освещения с нормируемым напряжением от 50 до 250 В, с номинальной частотой 50 или 60 Гц и цоколем, соответствующим IEC 60061-1. Для системы «цоколь — патрон», не упомянутой в настоящем стандарте, будет применяться соответствующая информация об испытаниях на безопасность, предоставленная изготовителем. Испытания на соответствие требованиям настоящего стандарта являются испытаниями типа. Рекомендации по испытанию изделия в целом или групповым испытаниям приведены в приложении А. Настоящий стандарт устанавливает требования фотобиологической безопасности согласно IEC 62471 и IEC TR 62471-2. Опасности синего света и инфракрасного излучения ниже уровня, требующего указания |
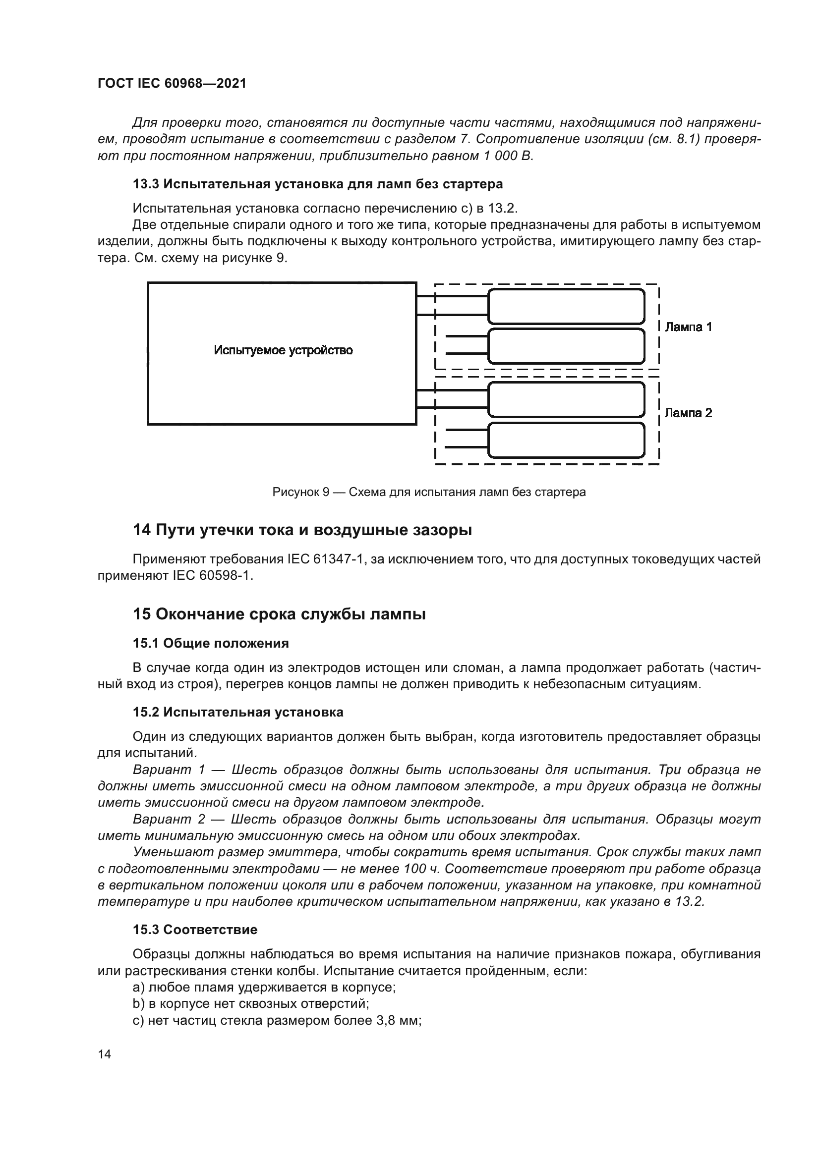
|