Скачать ГОСТ IEC 62821-1-2021 Кабели электрические. Кабели с изоляцией и оболочкой из термопластичного компаунда, не содержащего галогенов, с низким дымовыделением на номинальное напряжение до 450/750 В включительно. Часть 1. Общие требованияДата актуализации: 01.01.2026 ГОСТ IEC 62821-1-2021
Кабели электрические. Кабели с изоляцией и оболочкой из термопластичного компаунда, не содержащего галогенов, с низким дымовыделением на номинальное напряжение до 450/750 В включительно. Часть 1. Общие требования
| Обозначение: |  ГОСТ IEC 62821-1-2021 |
| Статус: | принят |
| Название рус.: | Кабели электрические. Кабели с изоляцией и оболочкой из термопластичного компаунда, не содержащего галогенов, с низким дымовыделением на номинальное напряжение до 450/750 В включительно. Часть 1. Общие требования | | Название англ.: | Electric cables. Halogen-free, low smoke, thermoplastic insulated and sheathed cables of rated voltages up to and including 450/750 V. Part 1. General requirements | | Дата актуализации текста: | 01.01.2026 | | Дата актуализации описания: | 01.01.2026 | | Дата регистрации: | 14.07.2021 | | Дата издания: | 11.09.2025 | | Дата введения: | 01.10.2026 | | Аутентичен стандартам: | IEC 62821-1(2015) | | Нормативные ссылки: | IEC 60050 (all parts);IEC 63294(2021);IEC 60228;IEC 60332-1-2;IEC 60684-2;IEC 60754-1;IEC 60754-2;IEC 60811-401;IEC 60811-501;IEC 60811-502;IEC 60811-504;IEC 60811-505;IEC 60811-508;IEC 61034-2;IEC 63294(2021);IEC 62821-3 | | Область применения: | Настоящий стандарт распространяется на гибкие кабели, предназначенные для подключения электроприборов, с изоляцией и оболочкой из термопластичного компаунда, не содержащего галогенов, с низким выделением дыма и едких газов при воздействии огня, на номинальное напряжение U0/U до 450/750 В включительно, применяемые в силовых установках с номинальным напряжением, не превышающим 450/750 В переменного тока. Методы испытаний, указанные в настоящем стандарте, а также в IEC 62821-3, представлены в IEC 60227-2, IEC 60332-1-2, IEC 60684-2, IEC 60754-1 и IEC 60754-2, а также в соответствующих частях IEC 60811, IEC 61034-2 и IEC 62821-2 | |
                          
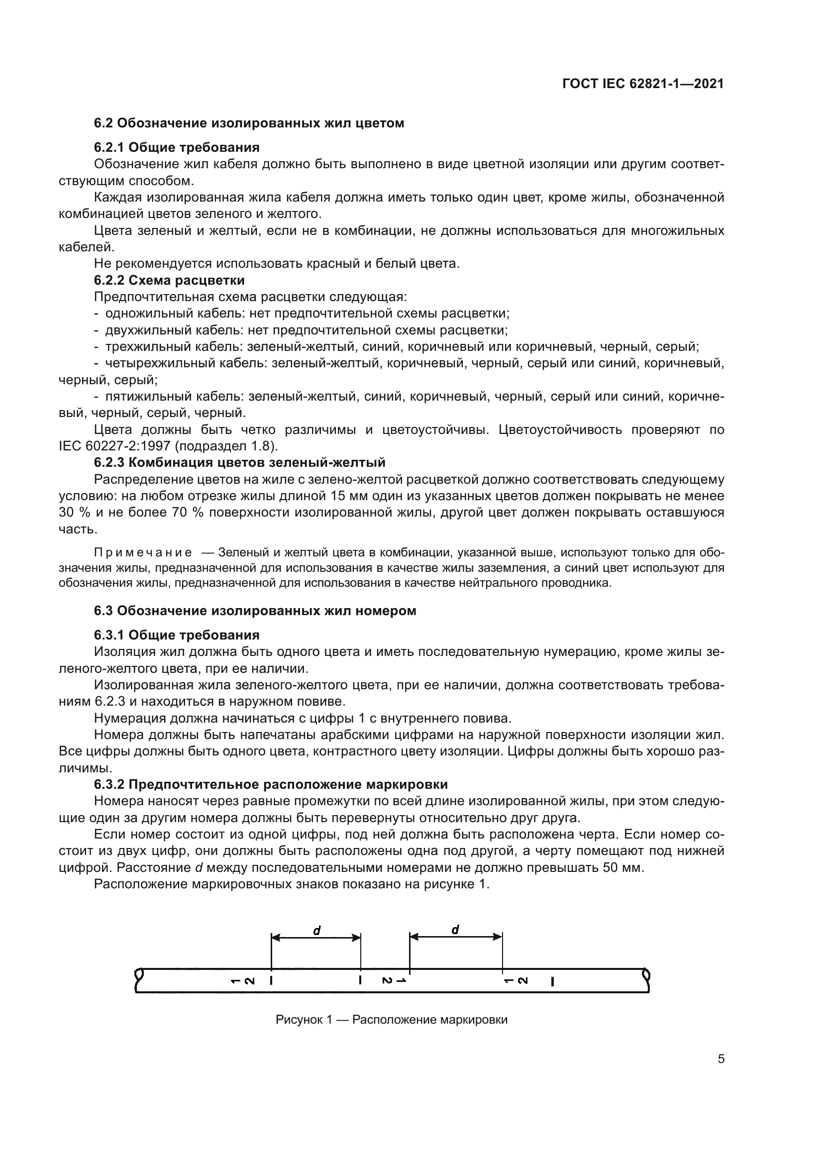
|